Студопедия

КАТЕГОРИИ:


Архитектура-(3434)Астрономия-(809)Биология-(7483)Биотехнологии-(1457)Военное дело-(14632)Высокие технологии-(1363)География-(913)Геология-(1438)Государство-(451)Демография-(1065)Дом-(47672)Журналистика и СМИ-(912)Изобретательство-(14524)Иностранные языки-(4268)Информатика-(17799)Искусство-(1338)История-(13644)Компьютеры-(11121)Косметика-(55)Кулинария-(373)Культура-(8427)Лингвистика-(374)Литература-(1642)Маркетинг-(23702)Математика-(16968)Машиностроение-(1700)Медицина-(12668)Менеджмент-(24684)Механика-(15423)Науковедение-(506)Образование-(11852)Охрана труда-(3308)Педагогика-(5571)Полиграфия-(1312)Политика-(7869)Право-(5454)Приборостроение-(1369)Программирование-(2801)Производство-(97182)Промышленность-(8706)Психология-(18388)Религия-(3217)Связь-(10668)Сельское хозяйство-(299)Социология-(6455)Спорт-(42831)Строительство-(4793)Торговля-(5050)Транспорт-(2929)Туризм-(1568)Физика-(3942)Философия-(17015)Финансы-(26596)Химия-(22929)Экология-(12095)Экономика-(9961)Электроника-(8441)Электротехника-(4623)Энергетика-(12629)Юриспруденция-(1492)Ядерная техника-(1748)

Последовательности




ВВЕДЕНИЕ В МАТЕМАТИЧЕСКИЙ АНАЛИЗ И ДИФФЕРЕНЦИАЛЬНОЕ ИСЧИСЛЕНИЕ ФУНКЦИИ ОДНОЙ ПЕРЕМЕННОЙ

Краткий курс лекций

УЧЕБНО-МЕТОДИЧЕСКИЙ КОМПЛЕКС

 

 

УФА - 2011

МАТЕРИАЛЫ ДЛЯ ИЗУЧЕНИЯ

 

Определение. Говорят, что задана последовательность чисел , если каждому натуральному числу поставлено в соответствие некоторое вещественное число .

Число называется первым членом последовательности, - вторым, и т.д., число называют общим членом последовательности.

Примеры последовательностей:

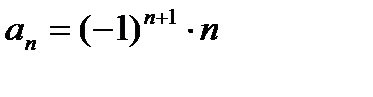
{-1,1,-1,1…} общий член

 

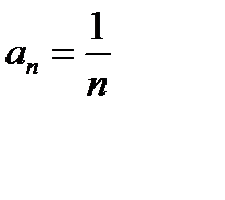
{1,1/2,1/3…} общий член

 

{1,1,1…} общий член

 

Иногда последовательности задают, указывая несколько первых членов, и считают, что закон образования остальных членов ясен. Например, последовательность {1,-2,3,-4,5-6…} можно задать, указав формулу общего члена:

Упражнения

Укажите формулу общего члена последовательности.

1.{5/2, 10/3, 12/4, 17/5,......}

 

2.{1, 3/4, 4/6, 5/8,......}

 

3.{1/2, 3/4, 9/8, 27/16,...}

 

Определение. Числовая последовательность {an} называется неубывающей, если для любых чисел > выполняется неравенство

 

 

Аналогично, последовательность называется невозрастающей, если для любых > выполняется неравенство:

Если же выполняeтся строгoе неравенствo

или

то последовательность называется возрастающей, или соответственно убывающей.

 

Оба введенных понятия объединяют одним словом – монотонность

Последовательность монотонна, если она возрастает или убывает.

 

Частными случаями последовательностей являются арифметическая и геометрическая прогрессии. Напомним их определение.

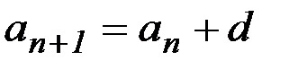
Определение. Последовательность, определяемая первым членом и соотношением , где -постоянное число, называется арифметической прогрессией.

Число d называется разностью арифметической прогрессии. n-ый член арифметической прогрессии можно вычислить с помощью формулы

an = a1 +d(n-1).

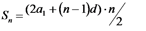
Сумма первых n членов арифметической прогрессии Sn равна:

или

 

Упражнения. Составить формулу общего члена арифметической прогрессии и вычислить сумму первых n членов .

1. 1,2,3,4,5,…

2. 1,-3,-7,-11,…

3. 7,9,11,13,…

Определение. Последовательность, определяемая первым членом и соотношением , где -постоянное число, называется геометрической прогрессией. Число q называется знаменателем геометрической прогрессии. Формула общего члена геометрической прогрессии:


Сумма первых n членов Sn:

 

Упражнение. Составить формулу общего члена геометрической прогрессии и вычислить сумму первых n членов .

1. 1,2,4,8,16,…

2. 2,-6,18,-54,…

3. 1,1/2,1/4,1/8,…

4. 1,-1,1,-1,…

 




Поделиться с друзьями:


Дата добавления: 2014-12-23; Просмотров: 416; Нарушение авторских прав?; Мы поможем в написании вашей работы!


Нам важно ваше мнение! Был ли полезен опубликованный материал? Да | Нет



studopedia.su - Студопедия (2013 - 2026) год. Все материалы представленные на сайте исключительно с целью ознакомления читателями и не преследуют коммерческих целей или нарушение авторских прав! Последнее добавление




Генерация страницы за: 0.01 сек.