Студопедия

КАТЕГОРИИ:


Архитектура-(3434)Астрономия-(809)Биология-(7483)Биотехнологии-(1457)Военное дело-(14632)Высокие технологии-(1363)География-(913)Геология-(1438)Государство-(451)Демография-(1065)Дом-(47672)Журналистика и СМИ-(912)Изобретательство-(14524)Иностранные языки-(4268)Информатика-(17799)Искусство-(1338)История-(13644)Компьютеры-(11121)Косметика-(55)Кулинария-(373)Культура-(8427)Лингвистика-(374)Литература-(1642)Маркетинг-(23702)Математика-(16968)Машиностроение-(1700)Медицина-(12668)Менеджмент-(24684)Механика-(15423)Науковедение-(506)Образование-(11852)Охрана труда-(3308)Педагогика-(5571)Полиграфия-(1312)Политика-(7869)Право-(5454)Приборостроение-(1369)Программирование-(2801)Производство-(97182)Промышленность-(8706)Психология-(18388)Религия-(3217)Связь-(10668)Сельское хозяйство-(299)Социология-(6455)Спорт-(42831)Строительство-(4793)Торговля-(5050)Транспорт-(2929)Туризм-(1568)Физика-(3942)Философия-(17015)Финансы-(26596)Химия-(22929)Экология-(12095)Экономика-(9961)Электроника-(8441)Электротехника-(4623)Энергетика-(12629)Юриспруденция-(1492)Ядерная техника-(1748)

Сводные индексы




Сложные явления, для которых рассчитывается сводный индекс, отличаются той особенностью, что элементы, их составляющие, неоднородны и, как правило, несоизмеримы друг с другом. Поэтому сопоставление простых сумм этих элементов невозможно. Сопоставимость может быть достигнута различными способами:

1. сложные явления могут быть разбиты на такие простые элементы, которые в известной степени являются однородными;

2. сравнение по стоимости, без разбиения на отдельные элементы.

Цель теории индексов – изучение способов получения относительных величин, используемых для расчета общего изменения ряда разнородных явлений.

По охвату объекта различают индексы, характеризующие соотношение показателей по какому-нибудь отдельному элементу, и индексы, характеризующие соотношение показателей по сложной массе явлений, отдельные элементы которой не поддаются суммированию в силу того, что они разноименные и часто имеют разную единицу измерения.

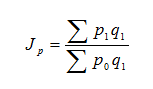
Показатель, характеризующий соотношение явлений состоящих из разнородных элементов носит название общего (сводного) индекса и обозначается как - J. При этом, как правило, подстрочно дается значок, который указывает для оценки какой величины рассчитывается индекс. Например, общий индекс цен записывается следующим образом:

При вычислении общих индексов несоизмеримые элементы следует привести к соизмеримому виду. Приведение разнородных элементов к соизмеримому виду осуществляется с помощью специальных сомножителей, называемых весами-соизмерителями. Так, например, от натуральной формы продуктов переходят к денежной используя в качестве весов-соизмерителей цены или себестоимость.

Показатель, изменение которого изучается, называется индексируемой величиной. При этом, для того чтобы измерить изменение индексируемой величины, следует исключить влияние на величину индекса изменение веса, т.е. веса нужно брать на одном и том же уровне.

Если индексируемой величиной является качественный признак, то вес принимается на уровне текущего периода. Если же индексируемой величиной является количественный признак, то вес принимается на уровне базисного периода. Сводные индексы в агрегатной форме позволяют измерить не только относительное изменение отдельных элементов изучаемого явления в целом в текущем периоде по сравнению с базисным, но и абсолютное изменение.




Поделиться с друзьями:


Дата добавления: 2014-12-24; Просмотров: 383; Нарушение авторских прав?; Мы поможем в написании вашей работы!


Нам важно ваше мнение! Был ли полезен опубликованный материал? Да | Нет



studopedia.su - Студопедия (2013 - 2026) год. Все материалы представленные на сайте исключительно с целью ознакомления читателями и не преследуют коммерческих целей или нарушение авторских прав! Последнее добавление




Генерация страницы за: 0.009 сек.