Студопедия

КАТЕГОРИИ:


Архитектура-(3434)Астрономия-(809)Биология-(7483)Биотехнологии-(1457)Военное дело-(14632)Высокие технологии-(1363)География-(913)Геология-(1438)Государство-(451)Демография-(1065)Дом-(47672)Журналистика и СМИ-(912)Изобретательство-(14524)Иностранные языки-(4268)Информатика-(17799)Искусство-(1338)История-(13644)Компьютеры-(11121)Косметика-(55)Кулинария-(373)Культура-(8427)Лингвистика-(374)Литература-(1642)Маркетинг-(23702)Математика-(16968)Машиностроение-(1700)Медицина-(12668)Менеджмент-(24684)Механика-(15423)Науковедение-(506)Образование-(11852)Охрана труда-(3308)Педагогика-(5571)Полиграфия-(1312)Политика-(7869)Право-(5454)Приборостроение-(1369)Программирование-(2801)Производство-(97182)Промышленность-(8706)Психология-(18388)Религия-(3217)Связь-(10668)Сельское хозяйство-(299)Социология-(6455)Спорт-(42831)Строительство-(4793)Торговля-(5050)Транспорт-(2929)Туризм-(1568)Физика-(3942)Философия-(17015)Финансы-(26596)Химия-(22929)Экология-(12095)Экономика-(9961)Электроника-(8441)Электротехника-(4623)Энергетика-(12629)Юриспруденция-(1492)Ядерная техника-(1748)

Высота всасывания насосов




Движение жидкости по всасывающему трубопроводу и подвод ее к рабочему колесу осуществляется за счет разности давления над свободной поверхностью жидкости в приемном резервуаре и абсолютного давления в потоке у входа в колесо.

Давление в области перед колесом не является постоянным. Оно определяется (зависит) от:

- расположения насоса по отношению к уровню свободной поверхности приемного резервуара;

- гидравлического сопротивления на участке всасывающего трубопровода;

- скорости движения жидкости.

Для установления точной зависимости между всеми этими параметрами рассмотрим три возможных схемы установки центробежного насоса.

 

Схема 1. Забор насосом жидкости из открытого резервуара. Уровень свободной поверхности расположен ниже оси рабочего колеса насоса.

Применяя уравнение Бернулли для двух сечений (уровня свободной поверхности жидкости в приемном резервуаре О – О и сечения 1 – 1 на входе в насос) можно получить уравнение для определения абсолютного давления в сечении перед входом в насос:

,

где - разность отметок оси рабочего колеса и свободной поверхности жидкости в резервуаре, м;

- суммарные гидравлические потери во всасывающей линии насоса, м.

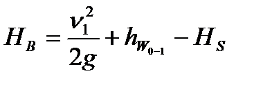
Давление на входе в насос, работающем в заданном режиме по схеме 1, определяется параметром:

, (*)

который обычно называется геометрической высотой всасывания.

Параметр:

называется вакуумметрической высотой всасывания.

Зависимость между геометрической высотой всасывания и вакуумметрической определяется из уравнения (1*) и представляется в следующем виде:

; (2*)

. (3*)

 

Схема 2. Забор насоса жидкости из открытого резервуара. Уровень свободной поверхности жидкости расположен выше оси рабочего колеса насоса.

Если принять за плоскость отсчета сечение 0 – 0, то единственное отличие данной схемы от схемы 1 будет заключаться в том, что величина будет иметь отрицательное значение. В этом случае уравнения (2*) и (3*) примут вид:

;

.

 

Отрицательное значение геометрической высоты всасывания обычно называют подпором.

При достаточном подпоре давление на входе в насос может устанавливаться больше атмосферного на всех режимах его работы.

Схема 3. Откачка жидкости из замкнутого резервуара

Принципиальное отличие данной схемы работы насоса от рассматриваемой схемы 2 заключается в том, что вакуумметрическая высота всасывания в этом случае равна:

.

где - некоторое избыточное давление, которое в зависимости от технологического назначения установки, конструктивных особенностей ее исполнения и режима работы может быть положительным, отрицательным или даже знакопеременным.

При различных соотношениях абсолютных значений давление на входе в насос может быть больше или меньше атмосферного.

 

В зависимости от конструктивного исполнения центробежного насоса отсчет геометрической высоты всасывания ведется по-разному:

- для горизонтальных насосов она равна разности отметок оси рабочего колеса и свободной поверхности жидкости в приемном резервуаре;

- для насосов с вертикальным валом она отсчитывается от средины входных кромок лопастей рабочего колеса до свободной поверхности жидкости в резервуаре.

Параметр , определяя положение насоса по отношению к уровню свободной поверхности в водоисточнике, и тем самым определяет глубину заложения фундамента машинного здания. Таким образом, увеличение является крайне желательным.

Анализ структуры формулы (*) указывает на предпочтительность коротких всасывающих линий с малой скоростью течения и минимумом местных сопротивлений.




Поделиться с друзьями:


Дата добавления: 2014-12-27; Просмотров: 2333; Нарушение авторских прав?; Мы поможем в написании вашей работы!


Нам важно ваше мнение! Был ли полезен опубликованный материал? Да | Нет



studopedia.su - Студопедия (2013 - 2026) год. Все материалы представленные на сайте исключительно с целью ознакомления читателями и не преследуют коммерческих целей или нарушение авторских прав! Последнее добавление




Генерация страницы за: 0.007 сек.