Студопедия

КАТЕГОРИИ:


Архитектура-(3434)Астрономия-(809)Биология-(7483)Биотехнологии-(1457)Военное дело-(14632)Высокие технологии-(1363)География-(913)Геология-(1438)Государство-(451)Демография-(1065)Дом-(47672)Журналистика и СМИ-(912)Изобретательство-(14524)Иностранные языки-(4268)Информатика-(17799)Искусство-(1338)История-(13644)Компьютеры-(11121)Косметика-(55)Кулинария-(373)Культура-(8427)Лингвистика-(374)Литература-(1642)Маркетинг-(23702)Математика-(16968)Машиностроение-(1700)Медицина-(12668)Менеджмент-(24684)Механика-(15423)Науковедение-(506)Образование-(11852)Охрана труда-(3308)Педагогика-(5571)Полиграфия-(1312)Политика-(7869)Право-(5454)Приборостроение-(1369)Программирование-(2801)Производство-(97182)Промышленность-(8706)Психология-(18388)Религия-(3217)Связь-(10668)Сельское хозяйство-(299)Социология-(6455)Спорт-(42831)Строительство-(4793)Торговля-(5050)Транспорт-(2929)Туризм-(1568)Физика-(3942)Философия-(17015)Финансы-(26596)Химия-(22929)Экология-(12095)Экономика-(9961)Электроника-(8441)Электротехника-(4623)Энергетика-(12629)Юриспруденция-(1492)Ядерная техника-(1748)

V. Затраты, не учитываемые в нормах накладных расходов, но относимые на накладные расходы 3 страница




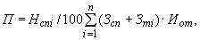
4.3. При определении сметной стоимости строительной продукции в текущем уровне цен величина сметной прибыли может быть определена по формулам:

на стадии "проект":

 

(2)

 

на стадии "рабочая документация":

 

(3)

 

где: - величина сметной прибыли, тыс. руб.;

- величина средств на оплату труда рабочих-строителей и механизаторов, учитываемая в составе прямых затрат локального сметного расчета (сметы), тыс. руб.;

 

- общеотраслевой норматив сметной прибыли, установленный к фонду оплаты труда рабочих (строителей и механизаторов) в составе прямых затрат;

- норма сметной прибыли по i-му виду строительных и монтажных работ, приведенная в приложении 3, в процентах;

- общее количество видов работ по данному объекту.

 

4.4. При применении базисно-индексного метода величина сметной прибыли определяется по формулам:

на стадии "проект":

 

(4)

 

на стадии "рабочая документация":

 

* (5)

____________

* Формула соответствует оригиналу.

 

где: - величина средств на оплату труда рабочих-строителей и механизаторов, учитываемая в составе прямых затрат локального сметного расчета (сметы), составленного с использованием сметных норм и цен базисного уровня, тыс. руб.;

 

и - суммарные по i-му виду работ сметные величины оплаты труда (основной заработной платы) рабочих-строителей и механизаторов, тыс.руб.;

 

- индекс текущего уровня средств на оплату труда в строительстве по отношению к уровню оплаты труда (основной сметной заработной платы рабочих), учтенной сметными нормами и ценами базисного уровня;

 

- общее количество видов работ по данному объекту.

 

4.5. При определении стоимости строительно-монтажных работ, выполняемых индивидуальными предпринимателями (физическими лицами) по договорам бытового или строительного подряда, величину сметной прибыли рекомендуется определять по индивидуальной норме, согласованной с заказчиком.





Поделиться с друзьями:


Дата добавления: 2014-12-27; Просмотров: 740; Нарушение авторских прав?; Мы поможем в написании вашей работы!


Нам важно ваше мнение! Был ли полезен опубликованный материал? Да | Нет



studopedia.su - Студопедия (2013 - 2026) год. Все материалы представленные на сайте исключительно с целью ознакомления читателями и не преследуют коммерческих целей или нарушение авторских прав! Последнее добавление




Генерация страницы за: 0.013 сек.