Студопедия

КАТЕГОРИИ:


Архитектура-(3434)Астрономия-(809)Биология-(7483)Биотехнологии-(1457)Военное дело-(14632)Высокие технологии-(1363)География-(913)Геология-(1438)Государство-(451)Демография-(1065)Дом-(47672)Журналистика и СМИ-(912)Изобретательство-(14524)Иностранные языки-(4268)Информатика-(17799)Искусство-(1338)История-(13644)Компьютеры-(11121)Косметика-(55)Кулинария-(373)Культура-(8427)Лингвистика-(374)Литература-(1642)Маркетинг-(23702)Математика-(16968)Машиностроение-(1700)Медицина-(12668)Менеджмент-(24684)Механика-(15423)Науковедение-(506)Образование-(11852)Охрана труда-(3308)Педагогика-(5571)Полиграфия-(1312)Политика-(7869)Право-(5454)Приборостроение-(1369)Программирование-(2801)Производство-(97182)Промышленность-(8706)Психология-(18388)Религия-(3217)Связь-(10668)Сельское хозяйство-(299)Социология-(6455)Спорт-(42831)Строительство-(4793)Торговля-(5050)Транспорт-(2929)Туризм-(1568)Физика-(3942)Философия-(17015)Финансы-(26596)Химия-(22929)Экология-(12095)Экономика-(9961)Электроника-(8441)Электротехника-(4623)Энергетика-(12629)Юриспруденция-(1492)Ядерная техника-(1748)

Математическая модель апории «ахиллес и черепаха» и ее разрешение




Определение суммы ряда

Для этого рассмотрим полоску бумаги длиной 1 (дм) и шириной 1 (см) (рисунок 11.1)

A C1 C2 C3 B

 

 


C1 C2 C3

Рисунок 11.1 – Модель полоски бумаги

 

Мысленно разрежем (или сложим) её пополам по отрезку , затем разрежем (или сложим) правую часть пополам по отрезку и т. д. до бесконечности. Тогда ; ; ; … .

Теперь очевидно, что (11.2)

и левая часть равенства (11.2), представляющая сумму бесконечного числа слагаемых, не только имеет смысл, но и равна 1, т. е. длине всей полоски. Но как найти сумму, находящуюся в левой части равенства (11.2), не зная заранее, что она равна 1.

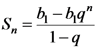
Для этого сначала рассмотрим сумму первых n слагаемых

,

представляющую для геометрической прогрессии сумму n её первых членов, которая в общем случае равна

, (11.3)

где – первый член геометрической прогрессии, знаменатель которой ≠ 1.

Теперь определим бесконечную сумму, состоящую из членов геометрической прогрессии при . Из (11.3) следует, что

. (11.4)

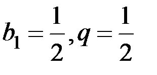
Так как в случае полоски длины 1, , то на основании (11.4) , что совпадает с (11.2). Итак, сумма членов бесконечной геометрической прогрессии при вычисляется по формуле (11.4).

Отметим, что великий русский писатель Л. Н. Толстой на первой странице третьей части третьего тома романа «Война и мир» приводит описание другой апории Зенона «Ахиллес и черепаха»:

«Для человеческого ума непонятна абсолютная непрерывность движения. Человеку становятся понятны законы какого бы то ни было движения только тогда, когда он рассматривает произвольно взятые единицы этого движения. Но вместе с тем из этого - то произвольного деления непрерывного движения на прерывные единицы проистекает большая часть человеческих заблуждений. Известен так называемый софизм древних, состоящий в том, что Ахиллес никогда не догонит впереди идущую черепаху, несмотря на то, что Ахиллес идёт в десять раз скорее черепахи: как только Ахиллес пройдёт пространство, отделяющее его от черепахи, черепаха пройдёт впереди его одну десятую этого пространства; Ахиллес пройдёт эту десятую, черепаха пройдёт одну сотую и т. д. до бесконечности. Задача эта представлялась древним неразрешимой. Бессмысленность решения (что Ахиллес никогда не догонит черепаху) вытекала из того только, что произвольно были допущены прерывные единицы движения, тогда как движения и Ахиллеса и черепахи совершались непрерывно. Принимая всё более и более мелкие единицы движения, мы только приближаемся к решению вопроса, но никогда не достигаем его. Только допустив бесконечно – малую величину и восходящую от неё прогрессию до одной десятой и взяв сумму этой геометрической прогрессии, мы достигаем решения вопроса». Таким образом, и эта апория разрешается математически существованием суммы бесконечной прогрессии при (в общем случае при ) в формуле (11.4).


 

19) 2. МЕТОД ПОДОБИЯ И ЕГО ПРИЛОЖЕНИЕ К ПОСТРОЕНИЮ МАТЕМАТИЧЕСКИХ МОДЕЛЕЙ

Рассмотрим следующие виды подобий:

1) геометрическое подобие: две геометрические фигуры подобны, если отношения длин всех соответственных элементов одинаковы.

2) физическое подобие: два объекта называются физически подобными, если при заданных характеристиках одного можно получить соответствующие характеристики другого простым пересчетом, аналогичным пересчету при геометрическом подобии.

 

По-видимому, на практике исторически первым применялось математическое моделирование, основанное на принципе подобия алгебраически описываемом пропорцией, представляющей равенство двух отношений или с функциональной точки зрения – функцией .

Для получения необходимых экспериментальных данных с целью определения величин, входящих в пропорцию или коэффициента в линейную функцию используются удобные для исследования масштабы.

Рассмотрим геометрическое подобие:

Пусть, например, требуется определить высоту треугольной в плане башни, не производя непосредственно измерение высоты (рисунок 1). Если имеется фотоснимок башни, то, используя условие подобия можно довольно просто получить результат.

Рисунок 1 – Подобие объектов

 

Измерив легкодоступный размер на натуре и размеры и на модели (фотоснимке) на основании подобия, составим пропорцию и найдем: .

Такой подход всегда применим, если известно, что соответствующие фигуры подобны. В этой связи отметим, что точнее было бы говорить о подобии математических моделей объектов, так как сами объекты могут обладать и некоторыми особенностями, не включенными в модель.

 

Рисунок 9.2 – подобие кругов

– длина окружности радиуса , длина окружности радиуса

 

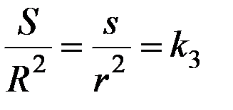
Поскольку все окружности (круги) подобны, то, рассмотрев рисунок 9.2, можно написать равенство

или () и, следовательно, . Постоянное число можно определить из эксперимента с любым круговым диском (моделью). Так, взяв и измерив длины его диаметра и граничной окружности, легко оценим .

Установим также формулу площади круга. Так как все круги подобны, то из того же рисунка на основании теоремы о том, что площади подобных фигур относятся как квадраты сходственных отрезков, следует:

или , где – константа. Поэтому .

Учитывая, что все круги подобны, приходим к выводу, что – величина постоянная: и может быть приближенно определена экспериментально, например, взвешиваниями круга и единичного квадрата, вырезанных из однородного тонкого картона. При этом получается: . Итак, .

Поскольку объемы пространственных подобных фигур относятся как кубы сходственных отрезков, то для двух шаров, большие круги которых указаны на рисунке 9.2, имеем:

или , где – константа.

Поэтому , т.е. и может быть, как указано выше, определено экспериментально, погрузив полностью шарик от подшипника в мерный сосуд с водой: , точно .

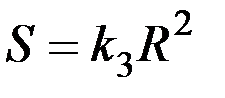
Отметим, что площади сферических поверхностей относятся как квадраты их радиусов и потому , где –константа. Следовательно, , причем нетрудно выразить через .




Поделиться с друзьями:


Дата добавления: 2015-04-24; Просмотров: 1180; Нарушение авторских прав?; Мы поможем в написании вашей работы!


Нам важно ваше мнение! Был ли полезен опубликованный материал? Да | Нет



studopedia.su - Студопедия (2013 - 2025) год. Все материалы представленные на сайте исключительно с целью ознакомления читателями и не преследуют коммерческих целей или нарушение авторских прав! Последнее добавление




Генерация страницы за: 0.007 сек.