Студопедия

КАТЕГОРИИ:


Архитектура-(3434)Астрономия-(809)Биология-(7483)Биотехнологии-(1457)Военное дело-(14632)Высокие технологии-(1363)География-(913)Геология-(1438)Государство-(451)Демография-(1065)Дом-(47672)Журналистика и СМИ-(912)Изобретательство-(14524)Иностранные языки-(4268)Информатика-(17799)Искусство-(1338)История-(13644)Компьютеры-(11121)Косметика-(55)Кулинария-(373)Культура-(8427)Лингвистика-(374)Литература-(1642)Маркетинг-(23702)Математика-(16968)Машиностроение-(1700)Медицина-(12668)Менеджмент-(24684)Механика-(15423)Науковедение-(506)Образование-(11852)Охрана труда-(3308)Педагогика-(5571)Полиграфия-(1312)Политика-(7869)Право-(5454)Приборостроение-(1369)Программирование-(2801)Производство-(97182)Промышленность-(8706)Психология-(18388)Религия-(3217)Связь-(10668)Сельское хозяйство-(299)Социология-(6455)Спорт-(42831)Строительство-(4793)Торговля-(5050)Транспорт-(2929)Туризм-(1568)Физика-(3942)Философия-(17015)Финансы-(26596)Химия-(22929)Экология-(12095)Экономика-(9961)Электроника-(8441)Электротехника-(4623)Энергетика-(12629)Юриспруденция-(1492)Ядерная техника-(1748)

Синтез имитационной модели на основе структурной схемы




Методику построения имитационной математической модели динамической системы рассмотрим на конкретном примере. Дана функциональная схема электромеханической следящей системы (рис.4.30). С помощью имитационного моделирования определить коэффициент усиления первого усилителя k1 из условия обеспечения устойчивости системы. Исходя из условия задачи, построим структурную схему электрической следящей системы (рис.4.31).

Рис. 4.31. Структурная схема

Данной структурной схеме соответствует определённая система дифференциальных уравнений в форме Коши. Чтобы определить эти уравнения, необходимо выполнить следующее:

1) Выделить на структурной схеме системы элементы (звенья), передаточные функции которых содержат в знаменателях операторы p, и обозначить входные и выходные величины таких элементов соответственно через UВХ и Y. Входным величинам элементов присваивают индекс, на единицу больший индекса выходной величины предыдущего элемента. Младший индекс входной величины принимают равным единице.

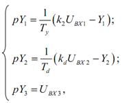
2) Записать дифференциальные уравнения звеньев, выражающие связь между входными и выходными величинами:

где Y1 = U3 - напряжение на выходе второго усилителя; Y2 = - скорость вращения вала двигателя; Y3 = θd - угловое перемещение вала двигателя.

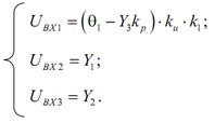
3) Записать уравнения связей, показывающие условия соединения элементов между собой в составе структурной схемы:

4) Подставив уравнения связей в дифференциальные уравнения звеньев, получить систему дифференциальных уравнений всей системы в форме Коши:

Для нахождения переходного процесса в исследуемой динамической системе, полученные уравнения следует проинтегрировать на ЭВМ при заданных начальных условиях.

В программе численного решения правые части дифференциальных уравнений можно вычислять в два этапа.

Сначала с помощью уравнений связей вычислить входные величины, UВХ1,..., UВХ2, а затем числовые значения этих величин подставить в дифференциальные уравнения звеньев.

 

назад

 




Поделиться с друзьями:


Дата добавления: 2015-04-24; Просмотров: 695; Нарушение авторских прав?; Мы поможем в написании вашей работы!


Нам важно ваше мнение! Был ли полезен опубликованный материал? Да | Нет



studopedia.su - Студопедия (2013 - 2025) год. Все материалы представленные на сайте исключительно с целью ознакомления читателями и не преследуют коммерческих целей или нарушение авторских прав! Последнее добавление




Генерация страницы за: 0.007 сек.