Студопедия

КАТЕГОРИИ:


Архитектура-(3434)Астрономия-(809)Биология-(7483)Биотехнологии-(1457)Военное дело-(14632)Высокие технологии-(1363)География-(913)Геология-(1438)Государство-(451)Демография-(1065)Дом-(47672)Журналистика и СМИ-(912)Изобретательство-(14524)Иностранные языки-(4268)Информатика-(17799)Искусство-(1338)История-(13644)Компьютеры-(11121)Косметика-(55)Кулинария-(373)Культура-(8427)Лингвистика-(374)Литература-(1642)Маркетинг-(23702)Математика-(16968)Машиностроение-(1700)Медицина-(12668)Менеджмент-(24684)Механика-(15423)Науковедение-(506)Образование-(11852)Охрана труда-(3308)Педагогика-(5571)Полиграфия-(1312)Политика-(7869)Право-(5454)Приборостроение-(1369)Программирование-(2801)Производство-(97182)Промышленность-(8706)Психология-(18388)Религия-(3217)Связь-(10668)Сельское хозяйство-(299)Социология-(6455)Спорт-(42831)Строительство-(4793)Торговля-(5050)Транспорт-(2929)Туризм-(1568)Физика-(3942)Философия-(17015)Финансы-(26596)Химия-(22929)Экология-(12095)Экономика-(9961)Электроника-(8441)Электротехника-(4623)Энергетика-(12629)Юриспруденция-(1492)Ядерная техника-(1748)

Преобразование передаточных функций звеньев в дифференциальные уравнения в форме Коши




1) Интегрирующее звено.

Из передаточной функции интегрирующего звена

следует искомое дифференциальное уравнение:

Эквивалентная структурная схема (рис.4.25) состоит из последовательно соединенных элементарных звеньев с передаточными функциями ki и 1/p

Рис.4.25. Структурная схема

2) Апериодическое звено.

Передаточная функция звена:

откуда

или

Полученному дифференциальному уравнению соответствует эквивалентная структурная схема на рис.4.26.

Рис.4.26. Структурная схема

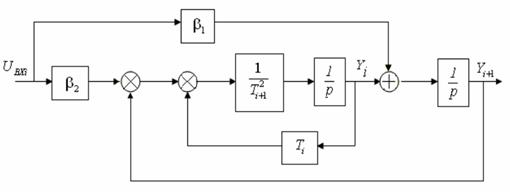
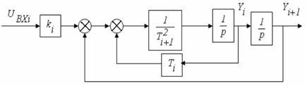
3) Колебательное звено.

Колебательное звено описывается дифференциальным уравнением второго порядка, которому равносильна система из двух уравнений первого порядка. Преобразовывая выражение для передаточной функции звена

получаем

Введем обозначение pYi +1 = Yi в последнее уравнение. Получим:

Система дифференциальных уравнений в форме Коши для колебательного звена имеет вид:

Эквивалентная структурная схема этого звена изображена на рис.4.27.

Рис. 4.27. Структурная схема

4) Дифференцирующее звено с замедлением.

Запишем передаточную функцию звена в виде

Эквивалентная структурная схема (рис.4.28) включает элементарное усилительное звено с передаточной функцией ki /Ti и рассматривавшееся выше апериодическое звено. Таким образом, для описания дифференцирующего звена с замедлением можно использовать уравнение для апериодического звена путем вычитания сигнала Yi из сигнала .

Рис. 4.28. Структурная схема

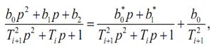
5) Сложное звено.

В структурной схеме исследуемой динамической системы может встретиться сложное звено с передаточной функцией

Такое звено можно описать с помощью двух дифференциальных уравнений первого порядка. Чтобы их получить, выполним с передаточной функцией следующие преобразования:

Введя обозначение , перепишем последнее уравнение в виде:

Раскроем скобки.

Упростив, получаем дифференциальные уравнения первого порядка в форме Коши.

С целью сокращения записи представим эти уравнения в виде:

где .

На рис. 4.29 дана эквивалентная структурная схема рассмотренного звена.

Рис. 4.29. Структурная схема

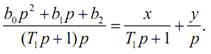
Если степень полинома в числителе передаточной функции элемента равна степени полинома в её знаменателе, то необходимо на структурной схеме системы представить этот элемент как параллельное соединение двух эле-ментов в соответствии со следующими формулами:

где ;

где .

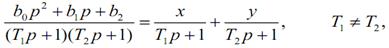
Если степень полинома в числителе передаточной функции элемента равна степени полинома в её знаменателе, причем знаменатель имеет действительные корни, то знаменатель можно разложить на сомножители. Тогда на структурной схеме системы можно представить этот элемент как параллельное соединение двух элементов в соответствии со следующей схемой:

Требуется найти неизвестные коэффициенты, обозначенные как x и y. Преобразуем последнее уравнение.

(4.4)

При p = 0 y = b2. (4.5)

Решая уравнения (4.4) и (4.5) совместно, определяем другой неизвестный коэффициент x.

Рассмотрим второй пример.

откуда

(4.6)

При p = 0 x + y = b2. (4.7)

Решаем уравнения (4.6) и (4.7) совместно. Получаем:

Если степень полинома в числителе передаточной функции элемента больше степени полинома в её знаменателе, то этот элемент следует объединить с одним или несколькими другими элементами структурной схемы с целью получения результирующей передаточной функции, у которой степень полинома в числителе не превышает степень полинома в знаменателе.

Рис. 4.30 Функциональная схема




Поделиться с друзьями:


Дата добавления: 2015-04-24; Просмотров: 3183; Нарушение авторских прав?; Мы поможем в написании вашей работы!


Нам важно ваше мнение! Был ли полезен опубликованный материал? Да | Нет



studopedia.su - Студопедия (2013 - 2025) год. Все материалы представленные на сайте исключительно с целью ознакомления читателями и не преследуют коммерческих целей или нарушение авторских прав! Последнее добавление




Генерация страницы за: 0.012 сек.