Студопедия

КАТЕГОРИИ:


Архитектура-(3434)Астрономия-(809)Биология-(7483)Биотехнологии-(1457)Военное дело-(14632)Высокие технологии-(1363)География-(913)Геология-(1438)Государство-(451)Демография-(1065)Дом-(47672)Журналистика и СМИ-(912)Изобретательство-(14524)Иностранные языки-(4268)Информатика-(17799)Искусство-(1338)История-(13644)Компьютеры-(11121)Косметика-(55)Кулинария-(373)Культура-(8427)Лингвистика-(374)Литература-(1642)Маркетинг-(23702)Математика-(16968)Машиностроение-(1700)Медицина-(12668)Менеджмент-(24684)Механика-(15423)Науковедение-(506)Образование-(11852)Охрана труда-(3308)Педагогика-(5571)Полиграфия-(1312)Политика-(7869)Право-(5454)Приборостроение-(1369)Программирование-(2801)Производство-(97182)Промышленность-(8706)Психология-(18388)Религия-(3217)Связь-(10668)Сельское хозяйство-(299)Социология-(6455)Спорт-(42831)Строительство-(4793)Торговля-(5050)Транспорт-(2929)Туризм-(1568)Физика-(3942)Философия-(17015)Финансы-(26596)Химия-(22929)Экология-(12095)Экономика-(9961)Электроника-(8441)Электротехника-(4623)Энергетика-(12629)Юриспруденция-(1492)Ядерная техника-(1748)

Расчет частот вращения




Расчеты частот, мощностей и вращающих моментов отдельных элементов привода

Расчет кинематической погрешности

 

Оценка погрешности кинематического расчета редуктора заключается в расчете отклонения фактического передаточного числа относительно номинального:

 

. (12)

Кинематический расчет считается выполненным удовлетворительно, если выполняется условие:

 

, (13)

 

где – допускаемое значение относительной погрешности. Для одноступенчатых редукторов = 2,5%, для двухступенчатых редукторов = 4%.

 

 

 

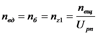
В схемах с ременной передачей на входе редуктора, частота вращения ведущего шкива равна частоте вращения вала электродвигателя:

 

.

 

Частота вращения ведомого шкива равна частоте вращения входного вала редуктора и всех элементов (шестерен, червяков, муфт), жестко связанных с этим валом:

 

,

 

где – частота вращения ведущего элемента быстроходной ступени, например шестерни или червяка.

При отсутствии ременной передачи между валом электродвигателя и входным валом редуктора (соединение названных валов при помощи муфты или использование в схеме электродвигателя фланцевого исполнения с жестким соединением тех же валов):

 

.

Частота вращения промежуточного вала многоступенчатого редуктора (коробки скоростей) и всех элементов, установленных на этом валу (зубчатых и червячных колес, муфт), зависит от передаточного числа быстроходной ступени:

 

,

 

где – частота вращения ведомого элемента быстроходной ступени, например, зубчатого или червячного колеса;

– частота вращения ведущего элемента тихоходной ступени.

Частота вращения выходного (тихоходного) вала двухступенчатого редуктора и связанных с ним элементов (ведомого колеса тихоходной ступени, муфты, ведущей звездочки цепной передачи), равна:

 

,

 

где – частота вращения ведомого элемента тихоходной ступени;

– частота вращения ведущей звездочки цепной передачи, установленной на выходном валу редуктора.

 




Поделиться с друзьями:


Дата добавления: 2015-04-24; Просмотров: 785; Нарушение авторских прав?; Мы поможем в написании вашей работы!


Нам важно ваше мнение! Был ли полезен опубликованный материал? Да | Нет



studopedia.su - Студопедия (2013 - 2026) год. Все материалы представленные на сайте исключительно с целью ознакомления читателями и не преследуют коммерческих целей или нарушение авторских прав! Последнее добавление




Генерация страницы за: 0.008 сек.