Студопедия

КАТЕГОРИИ:


Архитектура-(3434)Астрономия-(809)Биология-(7483)Биотехнологии-(1457)Военное дело-(14632)Высокие технологии-(1363)География-(913)Геология-(1438)Государство-(451)Демография-(1065)Дом-(47672)Журналистика и СМИ-(912)Изобретательство-(14524)Иностранные языки-(4268)Информатика-(17799)Искусство-(1338)История-(13644)Компьютеры-(11121)Косметика-(55)Кулинария-(373)Культура-(8427)Лингвистика-(374)Литература-(1642)Маркетинг-(23702)Математика-(16968)Машиностроение-(1700)Медицина-(12668)Менеджмент-(24684)Механика-(15423)Науковедение-(506)Образование-(11852)Охрана труда-(3308)Педагогика-(5571)Полиграфия-(1312)Политика-(7869)Право-(5454)Приборостроение-(1369)Программирование-(2801)Производство-(97182)Промышленность-(8706)Психология-(18388)Религия-(3217)Связь-(10668)Сельское хозяйство-(299)Социология-(6455)Спорт-(42831)Строительство-(4793)Торговля-(5050)Транспорт-(2929)Туризм-(1568)Физика-(3942)Философия-(17015)Финансы-(26596)Химия-(22929)Экология-(12095)Экономика-(9961)Электроника-(8441)Электротехника-(4623)Энергетика-(12629)Юриспруденция-(1492)Ядерная техника-(1748)

Дифференциальное уравнение вынужденных колебаний (механических и электромагнитных) и его решение




Чтобы в реальной колебательной системе получить незатухающие колебания, надо компенсировать потери энергии. Такая компенсация возможна с помощью какого-либо периодически действующего фактора X(t), изменяющегося по гармоническому закону:

X(t)=X0coswt.

Если рассматривать механические ко­лебания, то роль X(t) играет внешняя вы­нуждающая сила

F=F0coswt. (147.1)

С учетом силы (147.1) закон движения для пружинного маятника (146.9) запи­шется в виде

Используя (142.2) и (146.10), придем к уравнению

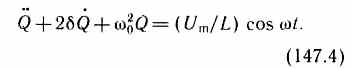
Если рассматривать электрический ко­лебательный контур, то роль X(t) играет подводимая к контуру внешняя периодиче­ски изменяющаяся по гармоническому за­кону э.д.с. или переменное напряжение

U=Umcoswt. (147.3)

Тогда уравнение (143.2) с учетом (147.3) можно записать в виде

Используя (143.4) и (146.11), придем

к уравнению

Колебания, возникающие под действи­ем внешней периодически изменяющейся силы или внешней периодически изменя­ющейся э.д.с., называются соответствен­но вынужденными механическими и вы­нужденными электромагнитными колеба­ниями.

Уравнения (147.2) и (147.4) можно свести к линейному неоднородному диффе­ренциальному уравнению

применяя впоследствии его решение для вынужденных колебаний конкретной фи­зической природы 0 в случае механиче­ских колебаний равно F 0 /m, в случае элек­тромагнитных — Um/L).

Решение уравнения (147.5) равно сум­ме общего решения (146.5) однородного уравнения (146.1) и частного решения не­однородного уравнения. Частное решение найдем в комплексной форме (см. § 140). Заменим правую часть уравнения (147.5) на комплексную величину х0еiwt:

Частное решение этого уравнения будем искать в виде

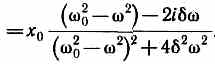
s=s0iht. Подставляя выражение для s и его про­изводных в уравнение (147.6), получим

Так как это равенство должно быть справедливым для всех моментов времени, то время t из него должно исключаться. Отсюда следует, что h=w. Учитывая это, из уравнения (147.7) найдем величину so и умножим ее числитель и знаменатель на (w20-w-2idw):

 

Это комплексное число удобно предста­вить в экспоненциальной форме:

Следовательно, решение уравнения (147.6) в комплексной форме примет вид

s= (iiwt-j)

Его вещественная часть, являющаяся ре­шением уравнения (147.5), равна

s=A cos(wt-j), (147.10)

где A и j задаются соответственно форму­лами (147.8) и (147.9).

Таким образом, частное решение не­однородного уравнения (147.5) имеет вид

Решение уравнения (147.5) равно сум­ме общего решения однородного урав­нения

(см. 146.5)) и частного решения (147.11). Слагаемое (147.12) играет существенную роль только в начальной стадии процесса (при установлении колебаний) до тех пор, пока амплитуда вынужденных колебаний не достигнет значения, определяемого ра­венством (147.8). Графически вынужден­ные колебания представлены на рис. 209. Следовательно, в установившемся режиме вынужденные колебания происходят с частотой (о и являются гармоническими; амплитуда и фаза колебаний, определяемые выражениями (147.8) и (147.9), так­же зависят от w.

 

Запишем формулы (147.10), (147.8) и (147.9) для электромагнитных колеба­ний, учитывая, что w20=1/(LC) (см. (143.4)) и d=R/( 2 L) (см. (146.11)):

Продифференцировав Q = Qm cos(wt-a) по t, найдем силу тока в контуре при установившихся колебаниях:

Выражение (147.14) может быть записано в виде

I = I mcos(wt-j),

где j=a-p/2 — сдвиг по фазе между током и приложенным напряжением (см. (147.3)). В соответствии с выражени­ем (147.13)

 

 

Из формулы (147.16) вытекает, что ток отстает по фазе от напряжения (j>0), если wL>l/(wC), и опережает напряже­ние (j<0), если wL<l/(wC).

Формулы (147.15) и (147.16) можно также получить с помощью векторной ди­аграммы. Это будет сделано в § 149 для переменных токов.




Поделиться с друзьями:


Дата добавления: 2015-04-24; Просмотров: 1478; Нарушение авторских прав?; Мы поможем в написании вашей работы!


Нам важно ваше мнение! Был ли полезен опубликованный материал? Да | Нет



studopedia.su - Студопедия (2013 - 2026) год. Все материалы представленные на сайте исключительно с целью ознакомления читателями и не преследуют коммерческих целей или нарушение авторских прав! Последнее добавление




Генерация страницы за: 0.009 сек.