Студопедия

КАТЕГОРИИ:


Архитектура-(3434)Астрономия-(809)Биология-(7483)Биотехнологии-(1457)Военное дело-(14632)Высокие технологии-(1363)География-(913)Геология-(1438)Государство-(451)Демография-(1065)Дом-(47672)Журналистика и СМИ-(912)Изобретательство-(14524)Иностранные языки-(4268)Информатика-(17799)Искусство-(1338)История-(13644)Компьютеры-(11121)Косметика-(55)Кулинария-(373)Культура-(8427)Лингвистика-(374)Литература-(1642)Маркетинг-(23702)Математика-(16968)Машиностроение-(1700)Медицина-(12668)Менеджмент-(24684)Механика-(15423)Науковедение-(506)Образование-(11852)Охрана труда-(3308)Педагогика-(5571)Полиграфия-(1312)Политика-(7869)Право-(5454)Приборостроение-(1369)Программирование-(2801)Производство-(97182)Промышленность-(8706)Психология-(18388)Религия-(3217)Связь-(10668)Сельское хозяйство-(299)Социология-(6455)Спорт-(42831)Строительство-(4793)Торговля-(5050)Транспорт-(2929)Туризм-(1568)Физика-(3942)Философия-(17015)Финансы-(26596)Химия-(22929)Экология-(12095)Экономика-(9961)Электроника-(8441)Электротехника-(4623)Энергетика-(12629)Юриспруденция-(1492)Ядерная техника-(1748)

Адиабатный процесс. Уравнение Пуассона, адиабата. Политропный процесс, уравнение политропы




Термодинамика адиабатического процесса: dQ=0

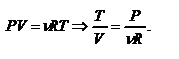
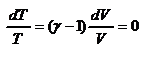
Несмотря на то, что мы поочерёдно рассмотрели процессы с V=const, P=const, T=const, список характерных газовых процессов этим не исчерпывается. Обратим внимание, что при изохорическом процессе dA=0, при изотермическом процессе dU=0, и поэтому естественно рассмотреть процесс в котором dQ=0, т.е. адиабатический процесс. Адиабатический процесс - это процесс, протекающий без теплообмена с окружающей средой. Поскольку dQ = 0, то первое начало термодинамики примет вид: - первое начало термодинамики при адиабатическом процессе. Такой вид первого начала термодинамики позволяет легко вычислить работу, совершаемую газом: или для конечного адиабатического процесса: - - работа, совершаемая газом при адиабатическом процессе. Исходя из dU + dA = 0, выведем закон, которому удовлетворяют параметры газа при адиабатическом процессе. Для этого dU и dA представим в виде Подставив это выражение в dU + dA = 0, получим дифференциальное уравнение: которое, разделив на n СV T и используя соотношения , можно записать в виде . Это дифференциальное уравнение приводится к полному дифференциалу: Решение этого дифференциального уравнения имеет вид или - уравнение адиабатического процесса в переменных(T,V). Воспользовавшись уравнением Менделеева-Клапейрона PV=nRT, можно перейти к переменным (P,V) и (T,P). Например, из Подставляя это в уравнение , получим или - уравнение Пуассона,

где -коэффициент Пуассона. - уравнения адиабаты.




Поделиться с друзьями:


Дата добавления: 2015-04-23; Просмотров: 1589; Нарушение авторских прав?; Мы поможем в написании вашей работы!


Нам важно ваше мнение! Был ли полезен опубликованный материал? Да | Нет



studopedia.su - Студопедия (2013 - 2026) год. Все материалы представленные на сайте исключительно с целью ознакомления читателями и не преследуют коммерческих целей или нарушение авторских прав! Последнее добавление




Генерация страницы за: 0.011 сек.