Студопедия

КАТЕГОРИИ:


Архитектура-(3434)Астрономия-(809)Биология-(7483)Биотехнологии-(1457)Военное дело-(14632)Высокие технологии-(1363)География-(913)Геология-(1438)Государство-(451)Демография-(1065)Дом-(47672)Журналистика и СМИ-(912)Изобретательство-(14524)Иностранные языки-(4268)Информатика-(17799)Искусство-(1338)История-(13644)Компьютеры-(11121)Косметика-(55)Кулинария-(373)Культура-(8427)Лингвистика-(374)Литература-(1642)Маркетинг-(23702)Математика-(16968)Машиностроение-(1700)Медицина-(12668)Менеджмент-(24684)Механика-(15423)Науковедение-(506)Образование-(11852)Охрана труда-(3308)Педагогика-(5571)Полиграфия-(1312)Политика-(7869)Право-(5454)Приборостроение-(1369)Программирование-(2801)Производство-(97182)Промышленность-(8706)Психология-(18388)Религия-(3217)Связь-(10668)Сельское хозяйство-(299)Социология-(6455)Спорт-(42831)Строительство-(4793)Торговля-(5050)Транспорт-(2929)Туризм-(1568)Физика-(3942)Философия-(17015)Финансы-(26596)Химия-(22929)Экология-(12095)Экономика-(9961)Электроника-(8441)Электротехника-(4623)Энергетика-(12629)Юриспруденция-(1492)Ядерная техника-(1748)

Програмовані методи навчання




Програмоване навчання стало предметом Інтенсивних психолого-педагогічних досліджень у 50-ті роки в США, СРСР і Великій Британії Для програмованого навчання є характерним розподіл навчального матеріалу на невеликі частини, вивчення їх, перевірка засвоєння кожної частини, інформування студентів про ступінь правильності відповіді. Іншими словами, між викладачем і студентами розміщується навчаюча програма, якій передається функція управління засвоєння знань. Вплив викладача на розвиток студентів при цьому може бути лише опосередкованим.

Програмування матеріалу зводиться до його суворої систематизації, яка передбачає систематизацію дій студента. Для зворотного зв’язку використовуються вибіркові або сконструйовані відповіді на запитання навчаючої програми. В одних випадках, студент обирає правильну, на його думку, відповідь з деякого числа, заготовлених викладачем, в других конструює відповідь самостійно за допомогою символів, букв, цифр.

Навчаючі програми поділяються на лінійні, розгалужені і змішані (рис.2.3 і 2.5).Спочатку програмоване навчання передбачало використання лінійних програм, розроблених американським вченим Б.Ф.Скіннером Навчальний матеріал поділяється на невеликі за обсягом частки, які називаються кроками. Після вивчення першого кроку інформації студенту ставиться система запитань, передбачених програмою. Тільки після повного співпадання відповіді своєї і програми можна переходити до вивчення чергового кроку інформації.

Засвоюючи почергово всі кроки програми, студенти працюють в оптимальному для себе темпі. Це обов’язкова умова для досягнення відповідних результатів. Програмою передбачається поступове зростання складності інформації. На початку навчання наводяться вказівки, які полегшують вивчення матеріалу, але поступово їх кількість зменшується, а ступінь складності програми зростає.

Рис.2.3. Схема лінійної програми: а, б, в – кроки навчальної інформації; 1 – елементи змісту кроку; 2 – особливо важливі елементи змісту кроків; 3 – шлях виконання програми.

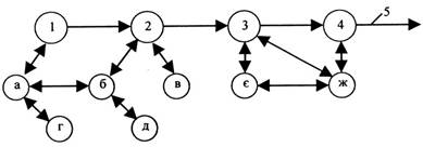
Рис. 2.4. Схема розгалуженої програми: 1-4 – основні питання кроку інформації: а-ж – корегуючи інформація і контроль її засвоєння; 5 – шлях виконання програми.

Рис. 2.5. Схема змішаної програми: К – кроки навчальної інформації; S – корегуюча інформація, пов’язана з основою; R – корегуюча інформація, не пов’язана з основою; T – контроль, пов’язаний з засвоєнням основної інформації;I – шлях виконання програми.

Кожне узагальнення в тексті програми повторюється декілька разів і ілюструється за допомогою достатньої кількості прикладів. В процесі вивчення після засвоєння мінімальних обсягів інформації студент конструює відповіді на поставлені запитання. Його реакція зразу ж позитивно або негативно оцінюється шляхом порівняння особистих відповідей з тими, що вміщено в програмі. Можливі і інші варіанти лінійної програми.

Більш гнучкі розгалужені програми. Навчальний матеріал в таких програмах, на пропозицію автора цієї програми американського вченого Н.А. Кроудера, ділять на частини, розміри яких відповідають обсягу мінімальних підтем. Після кожної дози інформації студент самостійно вибирає правильну відповідь на поставлені програмою запитання серед декількох помилкових. Програма інформує студента про результати кожного вибору відповіді і у випадку помилки відсилає його до вихідного пункту з метою повторити спробу вибору правильної відповіді або до відповідної корегуючої інформації, яка пояснює причини помилки. Шлях через розгалужену програму диференціюється згідно зі здібностями студента.

Складність програмованого матеріалу зростає за принципом від простого до складного як в самих запитаннях, так і в пов’язаних з ними відповідях.

Розгалужені програми, як і лінійні, мають ряд недоліків. Перед усім, вони засновані на неправильному з дидактичної точки зору методі знаходження правильних відповідей студентами. Не даючи їм можливість вибору відповіді, ми вимушені пропонувати для запам’ятовування і неповні або штучно сконструйовані відповіді.

Крім того, деякі нечестолюбні студенти можуть піти шляхом найменшого опору і просто вгадують їх, вибираючи за методом спроб і помилок.

Бажання до об’єднання лінійних і розгалужених програм привело до створення змішаного програмування, яке було розроблене британськими психологами Шеффільдського університету.

Навчальний матеріал поділяється на різні за обсягом частки (порції, кроки), які визначаються дидактичною метою з врахуванням характерних особливостей теми. Якщо, наприклад, вважають, що програма повинна бути для студентів єдиним джерелом знань за темою, то вона повинна бути більш ґрунтовною, ніж у випадку здійснення нею тільки контрольної чи корегуючої функції.

Студент не може перейти до наступного кроку інформації, поки добре не оволодіє змістом попереднього. Автори змішаних програм передбачають можливість не тільки індивідуальної, але і групової роботи з програмованим текстом. Контроль засвоєння кроків інформації здійснюється як методами лінійної, так і розгалуженої програм. В змішаному програмуванні також діє принцип диференційованого підходу до викладання інформації в залежності від його складності та індивідуальних можливостей студентів. Розроблені програми реалізуються за допомогою навчаючих машин або програмованих підручників.

Програмоване навчання не універсальний метод. Воно може бути використане при вивченні навчальних дисциплін, зміст яких можна алгоритмізувати. Для вивчення інформації, розподіл якої на окремі частини приводить до порушення цілісності, а також емоційності сприйняття, програмоване навчання не придатне тому, що обмежує можливості організації колективної діяльності, знижує роль викладача.

Більшість педагогів вищої школи часто задумуються над методами своєї роботи, розуміючи, що немає нецікавих дисциплін, а є нецікаві викладачі цих дисциплін. І якщо сьогодні на лекції немає 20...30% студентів — це симптом того, що вони нецікаві і нудні. І справа тут зовсім не в матеріалі, а в тому, що його не змогли активно та зацікавлено викласти студентам, не залучили їх до участі в навчальному процесі, не навчили думати. На протязі багатьох років традиційне навчання будувалося таким чином, що студент сприймав інформацію на перших двох рівнях сприйняття — розпізнаванні і відтворенні. Іншими словами, прагнув відповісти на запитання „що?” і „як?” Значно рідше він виходив на третій рівень сприйняття — розуміння, яке передбачає запитання „чому?” Зрозуміло, що інженеру в його діяльності потрібні перші два різні. Але це лише уміння відтворити минулий досвід, чого для творчості, як відомо, недостатньо. Використовуючи перші два рівні, фахівець працює переважно на третьому і четвертому (творчому) рівні. А це значить, що цими вимогами і повинна визначатися спрямованість навчання. Цій умові відповідає проблемне навчання, яке розглядається як один з дієвих засобів вирішення таких складних задач, як розвиток розумових здібностей, пізнавальної активності, самостійності і творчого мислення.




Поделиться с друзьями:


Дата добавления: 2015-05-23; Просмотров: 595; Нарушение авторских прав?; Мы поможем в написании вашей работы!


Нам важно ваше мнение! Был ли полезен опубликованный материал? Да | Нет



studopedia.su - Студопедия (2013 - 2026) год. Все материалы представленные на сайте исключительно с целью ознакомления читателями и не преследуют коммерческих целей или нарушение авторских прав! Последнее добавление




Генерация страницы за: 0.01 сек.