Студопедия

КАТЕГОРИИ:


Архитектура-(3434)Астрономия-(809)Биология-(7483)Биотехнологии-(1457)Военное дело-(14632)Высокие технологии-(1363)География-(913)Геология-(1438)Государство-(451)Демография-(1065)Дом-(47672)Журналистика и СМИ-(912)Изобретательство-(14524)Иностранные языки-(4268)Информатика-(17799)Искусство-(1338)История-(13644)Компьютеры-(11121)Косметика-(55)Кулинария-(373)Культура-(8427)Лингвистика-(374)Литература-(1642)Маркетинг-(23702)Математика-(16968)Машиностроение-(1700)Медицина-(12668)Менеджмент-(24684)Механика-(15423)Науковедение-(506)Образование-(11852)Охрана труда-(3308)Педагогика-(5571)Полиграфия-(1312)Политика-(7869)Право-(5454)Приборостроение-(1369)Программирование-(2801)Производство-(97182)Промышленность-(8706)Психология-(18388)Религия-(3217)Связь-(10668)Сельское хозяйство-(299)Социология-(6455)Спорт-(42831)Строительство-(4793)Торговля-(5050)Транспорт-(2929)Туризм-(1568)Физика-(3942)Философия-(17015)Финансы-(26596)Химия-(22929)Экология-(12095)Экономика-(9961)Электроника-(8441)Электротехника-(4623)Энергетика-(12629)Юриспруденция-(1492)Ядерная техника-(1748)

Приклади розв’язування задач




Задача 1 Дві гирі масами m1 = 1 кг і m2 = 2 кг з’єднані нерозтяжною ниткою перекинутою через нерухомий блок масою m = 2 кг. Знайти прискорення руху тіл та сили натягу ниток. Блок вважати однорідним диском. Тертям знехтувати.

Рішення. Покажемо на рис. сили, які діють на кожне із трьох тіл та вектори прискорень. Для тіл m1 і m2 записуємо другий закон Ньютона, а для блока – основне рівняння динаміки обертального руху.

Для тіла 1 , або в скалярній формі .

Для тіла 2 , або в скалярній формі .

Для блока , або в скалярній формі .

При запису рівнянь у скалярній формі вектори, які співпадають з напрямком прискорень беруться із знаком +, які проти – із знаком –. Моменти сил N і mg дорівнюють нулю, тому що вони проходять через вісь обертання. До одержаних трьох рівнянь необхідно дописати ще два: момент інерції диска і зв’язок між лінійним (тангенціальним) та кутовим прискореннями . Ця система із 5-ти рівнянь дає розв’язок

Відповідь: 2,5 м/с2.

Задача 2 До ободу однорідного диска радіусом 0,2 м прикладена постійна дотична сила 100 Н. При обертанні на диск діє гальмівний момент 5 Н∙м. Знайти масу диска, якщо відомо, що він обертається з постійним кутовим прискоренням 100 рад/с2.

Рішення. За основним рівнянням (3.7) динаміки обертального руху

. Момент сили F дорівнює добутку сили на плече (радіус)

M = F∙R і направлений цей вектор вздовж осі обертання вгору (див. рис.). Гальмівний момент сил тертя Мтр направлений проти кутової швидкості , проти М. Момент інерції диска . Одержуємо

Відповідь: 7,5 кг.

Задача 3 На яку висоту по похилій площині закотиться без ковзання куля, якщо її початкова швидкість υ = 2 м/с. Силою тертя кочення знехтувати.

Рішення. Виберемо нульовий рівень потенціальної енергії в найнижчому положенні центра кулі (див. рис.). Так як тертя відсутнє, система тіл “куля – Земля” консервативна і замкнута. За законом збереження механічної енергії кінетична енергія тіла перед похилою площиною перетворюється в потенціальну енергію в момент зупинки кулі в найвищій точці. За формулою кінетична енергія , де – момент інерції кулі, – кутова швидкість обертання кулі при лінійній швидкості υ її центра. Потенціальна енергія . Остаточно маємо ; ;

Відповідь: 0,28 м.

Задача 4 Диск радіусом 0,1 м, що перебував у стані спокою, почав обертатися з постійним кутовим прискорення 0,5рад/с2. Знайти тангенціальне, нормальне й повне прискорення точок на ободі диска через дві секунди після початку обертання.

Дано: Розв’язання

R = 0,1 м Тангенціальні й нормальні прискорення точок тіла, яке здійснює

w(0) = 0 обертальний рух, виражаються формулами

b = 0,5 рад/с2 at = R, (1)

t = 2с_________ _____ an = w2R, (2)

аt –? an –? a –?

 

де – кутова прискорення тіла;

– відповідні прискорення точок на ободі диска;

R – радіус диска.

В умові задачі задане кутове прискорення, яке визначається формулою

b = . (3)

Отже, кутова швидкість точок через час t дорівнює

 

w = w(0) + b t, (4)

причому за умовою задачі початкова кутова швидкість w(0) = 0.

Виходячи із співвідношень (2) і (4), одержуємо формулу для нормального прискорення

an = w2 R = b2 t2 R.

У момент часу t = 2 с нормальне прискорення дорівнює

an = b2 t2 R = 0,52×22×0,12 = 0,1 м/с2, тангенціальне прискорення

аt = bR = 0,5×0,1 = 0,05 м/с2, повне прискорення а = 0,11 м/с2.

Відповідь: 0,1 м/с2, 0,05 м/с2, 0,11 м/с2.

Задача 5 Тіло обертається навколо нерухомої осі за законом: j = А + Вt + Сt2, де A = 10 рад, В = 20 рад/c, С = –2 рад/c2. Знайти повне прискорення точки, яка знаходиться на відстані r = 10 cм від осі обертання, у момент часу t = 4 c.

О
 
A = 10 рад

В =20 рад/c

С = –2 рад/c2

r = 10 cм = 0,1 м

t = 4 c

а –?

Повне прискорення a точки, що рухається по кривій лінії, є векторною сумою тангенціального прискорення , напрямленого по дотичній до траєкторії, і нормального прискорення ,напрямленого до центра кривизни траєкторії (рис.): . Оскільки вектори і взаємно перпендикулярні, то величина прискорення: . (1)

Модулі тангенціального і нормального прискорення точки обертового тіла виражаються за формулами aτ = ε r, an = ω² r, де ω – кутова швидкість тіла; e– кутове прискорення.

Підставляючи ці вирази для аτ і аn до формули (1), знаходимо

. (2)

Кутову швидкість знайдемо, взявши першу похідну кута повороту j за часом:

ω = d φ/ dt = B + 2 Ct.

На момент часу t = 4 c модуль кутової швидкості

ω = (20 + 2∙(–2)∙4) рад/с = 4 рад/с.

Кутове прискорення знайдемо, взявши першу похідну від кутової швидкості за часом:

e = d ω/ dt = 2 C = –4 рад/с².

Підставляючи значення ω, e, r до формули (2), одержимо

а = 0,1 » 0,57 (м/с2).

Відповідь: 0,57 (м/с2).

w
R
 
Задача 6 Через блок, який має форму диска радіусом R = 20 см і масою m = 200 г, перекинута мотузка. До кінців мотузки підвішені вантажі масою m1=400 г і m 2 = 500 г. Знайти прискорення, з яким будуть рухатись вантажі, і кутову швидкість обертання блоку через 2 с після початку руху. Тертя не враховувати.

Дано:

m = 200 г = 0,2 кгПоказуємо на рисунку вектори

m1 = 400 г = 0,4 кг сил, які діють на тіла. Запишемо

m2 = 500 г = 0,5 кгдругий закон Ньютона для пер-

R = 20 см = 0,2 м шого і другого тіл в скалярному

10 м/с2вигляді:

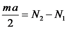
a -? m1a = N1 – FT1 (1)

m2a = FT2 - N2 (2)

Згідно з основним законом динаміки обертального руху: Je = M (3)

де М = (N¢2 -N¢1)R – обертальний момент сил, які діють на диск,

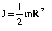
J = mR2/2 – момент інерції диска,

e = a/R – кутове прискорення диска.

Ураховуючи, що згідно з третім законом Ньютона 1 = N1, 2 = N2,

маємо з рівняння (3): або (3¢).

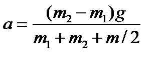
Додаючи це рівняння і рівняння (1) і (2), маємо:

.

Звідки: =1 м/с2.

Кутову швидкість обертання блока знайдемо з формули:

w = e× t = » 1×2/0,2 = 10 (об/с).

n1 R m2 m1
n1 R m2 m1
 
Задача 7 Платформа у вигляді диска масою 100 кг, у центрі якої знаходиться людина масою 60 кг, обертається з частотою 6 об/хв. З якою частотою буде обертатися платформа, коли людина перейде на її край.

 

Дано:

m1 = 100 кг

m2 = 60 кг

n1 = 6 об/хв = 0,1 об/с

n2 -?

 

Оскільки людина і платформа є замкненою системою, згідно із законом збереження моменту імпульсу:

(J1+J2) w 1 = (J1+J¢2) w 2,

де J1 = m1R2/ 2 момент інерції платформи, J2 = 0 момент інерції людини, яка стоїть у центрі платформи, і 2 = m2R2 – момент інерції людини на краю платформи, w 1= 2 p n 1 – початкова кутова швидкість і w 2 = 2 p n 2 кінцева кутова швидкість платформи з людиною. Звідси маємо:

;

Обчислюючи, отримуємо: 0,045 (об/с).

w
 
h
Задача 8 З якою швидкістю скотиться куля з похилої площини заввишки 1 м? Куля котиться без проковзування.

 


Дано:

h =1 м

g = 9,8 м/c2

υc -?

 

Для розв’язання задачі використаємо закон збереження механічної енергії: E1 = E2. Тут E1 = mgh – потенційна енергія кулі нагорі, E2 – кінетична енергія кулі внизу похилої площини. Кінетична енергія має дві складові – кінетичні енергії поступального руху і обертального руху:

E2 = Eпост + Eоб = .

Тут Jc = – момент інерції кулі відносно центральної осі. У випадку кочення без проковзування υпост = υоб, де υпост = υс – швидкість поступального руху, υоб = w×R – швидкість обертального руху кулі. Звідси іповна
кінетична енергія .

Підставляючи до початкової формули, отримуємо: mgh = , звідки

. Обчислюючи, знаходимо: 3,7 (м/с).

ЗАВДАННЯ: законспектувати запитання плану

.
ФОРМА КОНТРОЛЮ: виконання тестів.




Поделиться с друзьями:


Дата добавления: 2015-05-23; Просмотров: 8691; Нарушение авторских прав?; Мы поможем в написании вашей работы!


Нам важно ваше мнение! Был ли полезен опубликованный материал? Да | Нет



studopedia.su - Студопедия (2013 - 2026) год. Все материалы представленные на сайте исключительно с целью ознакомления читателями и не преследуют коммерческих целей или нарушение авторских прав! Последнее добавление




Генерация страницы за: 0.012 сек.