Студопедия

КАТЕГОРИИ:


Архитектура-(3434)Астрономия-(809)Биология-(7483)Биотехнологии-(1457)Военное дело-(14632)Высокие технологии-(1363)География-(913)Геология-(1438)Государство-(451)Демография-(1065)Дом-(47672)Журналистика и СМИ-(912)Изобретательство-(14524)Иностранные языки-(4268)Информатика-(17799)Искусство-(1338)История-(13644)Компьютеры-(11121)Косметика-(55)Кулинария-(373)Культура-(8427)Лингвистика-(374)Литература-(1642)Маркетинг-(23702)Математика-(16968)Машиностроение-(1700)Медицина-(12668)Менеджмент-(24684)Механика-(15423)Науковедение-(506)Образование-(11852)Охрана труда-(3308)Педагогика-(5571)Полиграфия-(1312)Политика-(7869)Право-(5454)Приборостроение-(1369)Программирование-(2801)Производство-(97182)Промышленность-(8706)Психология-(18388)Религия-(3217)Связь-(10668)Сельское хозяйство-(299)Социология-(6455)Спорт-(42831)Строительство-(4793)Торговля-(5050)Транспорт-(2929)Туризм-(1568)Физика-(3942)Философия-(17015)Финансы-(26596)Химия-(22929)Экология-(12095)Экономика-(9961)Электроника-(8441)Электротехника-(4623)Энергетика-(12629)Юриспруденция-(1492)Ядерная техника-(1748)

Законы Гей-Люссака и Шарля




Гей-Люссак установил, что при постоянном давлении с повышением температуры на 1°С объем данной массы газа увеличивается на 1/273 его объема при 0°С.

Математически этот закон пишется: (4),

где V— объем газа при температуре t°С, a V0 объем газа при 0°С.

Шарль показал, что давление данной массы газа при нагревании на 1°С при постоянном объеме увеличивается на 1/273 того давления, которым обладает газ при 0°С. Математически этот закон записывается следующим образом:

(5),

где Р0 и Р — давления газа соответственно при температурах 0°С и t°С.

При замене шкалы Цельсия шкалой Кельвина, связь между которыми устанавливается соотношением Т = 273 + t, формулы законов Гей-Люссака и Шарля значительно уп­рощаются.

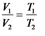
Закон Гей-Люссака: при постоянном давлении объем дан­ной массы газа прямо пропорционален его абсолютной температуре: (6).

Закон Шарля: при постоянном объеме давление данной массы газа прямо пропорционально его aбcoлютной тем­пературе: (7).

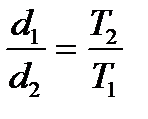
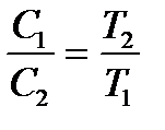
Из законов Гей-Люссака и Шарля следует, что при пос­тоянном давлении плотность и концентрация газа обратно пропорциональны его абсолютной температуре: (8), (9).

где d1 и С1 — плотность и концентрация газа при абсолютной температуре Т1, d2 и C2 —соответствующие величины при абсолютной температуре Т2.

Пример 2 Пpи 20ºC объем газа равен 20,4 мл. Какой объем займет газ при его охлаждении до 0°С, если давление остается постоянным?

Дано: V1 = 20,4 мл Т1 = 20ºС = 20 + 273 = 293 К Т2 = 0ºС = 0 + 273 = 273 К Найти: V2 Решение: Используем закон Гей-Люссака: откуда ; или ;

Объединенный закон Бойля- Мариотта — Шарля – Гей-Люссака

Формулировка этого закона: для данной массы газа произведение давления на объем, деленное на абсолютную температуру, постоянно при всех изменениях, происходящих с газом. Математическая запись: (10)

где V1 — объем и Р1 — давление данной массы газа при абсолютной температуре Т1, V2 объем и P2 — давление той же массы газа при аб­солютной температуре Т2.

Одним из важнейших применений объединенного зако­на газового состояния является „приведение объема газа к нормальным условиям".

Пример 3. Газ при 15°С и давлении 760 мм рт. ст. занимает объем 2 л. Привести объем газа к нормальным условиям.

Дано: Р1 = 750 мм рт.ст. Т1 = 15ºС = 15 + 273 = 288 К Т2 = 273ºС Р2 = 760 мм рт.ст. V1 = 2 л Найти: V2 Решение: На основании объединенного закона , отсюда . Сделаем подстановку известных величин:



Поделиться с друзьями:


Дата добавления: 2015-05-09; Просмотров: 1492; Нарушение авторских прав?; Мы поможем в написании вашей работы!


Нам важно ваше мнение! Был ли полезен опубликованный материал? Да | Нет



studopedia.su - Студопедия (2013 - 2026) год. Все материалы представленные на сайте исключительно с целью ознакомления читателями и не преследуют коммерческих целей или нарушение авторских прав! Последнее добавление




Генерация страницы за: 0.009 сек.