Студопедия

КАТЕГОРИИ:


Архитектура-(3434)Астрономия-(809)Биология-(7483)Биотехнологии-(1457)Военное дело-(14632)Высокие технологии-(1363)География-(913)Геология-(1438)Государство-(451)Демография-(1065)Дом-(47672)Журналистика и СМИ-(912)Изобретательство-(14524)Иностранные языки-(4268)Информатика-(17799)Искусство-(1338)История-(13644)Компьютеры-(11121)Косметика-(55)Кулинария-(373)Культура-(8427)Лингвистика-(374)Литература-(1642)Маркетинг-(23702)Математика-(16968)Машиностроение-(1700)Медицина-(12668)Менеджмент-(24684)Механика-(15423)Науковедение-(506)Образование-(11852)Охрана труда-(3308)Педагогика-(5571)Полиграфия-(1312)Политика-(7869)Право-(5454)Приборостроение-(1369)Программирование-(2801)Производство-(97182)Промышленность-(8706)Психология-(18388)Религия-(3217)Связь-(10668)Сельское хозяйство-(299)Социология-(6455)Спорт-(42831)Строительство-(4793)Торговля-(5050)Транспорт-(2929)Туризм-(1568)Физика-(3942)Философия-(17015)Финансы-(26596)Химия-(22929)Экология-(12095)Экономика-(9961)Электроника-(8441)Электротехника-(4623)Энергетика-(12629)Юриспруденция-(1492)Ядерная техника-(1748)

Оценка существенности параметров линейной регрессии и корреляции




Оценка значимости уравнения регрессии в целом производится на основе F-критерия Фишера, при этом выдвигается нулевая гипотеза, что коэффициент регрессии b=0, и, следовательно фактор x не оказывает влияния на результат y.

Непосредственно расчету F-критерий Фишера предшествует дисперсионный анализ.

Согласно основной идее дисперсионного анализа, общая сумма квадратов отклонений переменной y от среднего значения раскладывается на две части – «объясненную» и «необъясненную»:

, где

– общая сумма квадратов отклонений;

– сумма квадратов отклонений, объясненная регрессией (или факторная сумма квадратов отклонений);

– остаточная сумма квадратов отклонений, характеризующая влияние неучтенных в модели факторов.

Схема дисперсионного анализа имеет вид (n– число наблюдений, m – число параметров при переменной x).

  Компоненты дисперсии Сумма квадратов Число степеней свободы Дисперсия на одну степень свободы
Общая n-1
  Факторная m
  Остаточная n-m-1
           

Определение дисперсии на одну степень свободы приводит дисперсии к сравнимому виду. Сопоставляя факторную и остаточную дисперсии в расчете на одну степень свободы, получим величину F-критерия Фишера:

Фактическое значение F-критерия Фишера сравнивается с табличным значением Fтабл(a;k1,k2) при уровне значимости a и степенях свободы k1=m и k2=n-m-1. При этом, если фактическое значение F-критерия больше табличного, то гипотеза H0 отклоняется, делается вывод о существенности связи между x и y, признается статистическая значимость уравнения в целом.

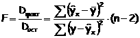
Для парной линейной регрессииm=1, поэтому

.

Величина F-критерия связана с коэффициентом детерминации , и ее можно рассчитать по следующей формуле:

 




Поделиться с друзьями:


Дата добавления: 2015-05-09; Просмотров: 958; Нарушение авторских прав?; Мы поможем в написании вашей работы!


Нам важно ваше мнение! Был ли полезен опубликованный материал? Да | Нет



studopedia.su - Студопедия (2013 - 2025) год. Все материалы представленные на сайте исключительно с целью ознакомления читателями и не преследуют коммерческих целей или нарушение авторских прав! Последнее добавление




Генерация страницы за: 0.007 сек.