Студопедия

КАТЕГОРИИ:


Архитектура-(3434)Астрономия-(809)Биология-(7483)Биотехнологии-(1457)Военное дело-(14632)Высокие технологии-(1363)География-(913)Геология-(1438)Государство-(451)Демография-(1065)Дом-(47672)Журналистика и СМИ-(912)Изобретательство-(14524)Иностранные языки-(4268)Информатика-(17799)Искусство-(1338)История-(13644)Компьютеры-(11121)Косметика-(55)Кулинария-(373)Культура-(8427)Лингвистика-(374)Литература-(1642)Маркетинг-(23702)Математика-(16968)Машиностроение-(1700)Медицина-(12668)Менеджмент-(24684)Механика-(15423)Науковедение-(506)Образование-(11852)Охрана труда-(3308)Педагогика-(5571)Полиграфия-(1312)Политика-(7869)Право-(5454)Приборостроение-(1369)Программирование-(2801)Производство-(97182)Промышленность-(8706)Психология-(18388)Религия-(3217)Связь-(10668)Сельское хозяйство-(299)Социология-(6455)Спорт-(42831)Строительство-(4793)Торговля-(5050)Транспорт-(2929)Туризм-(1568)Физика-(3942)Философия-(17015)Финансы-(26596)Химия-(22929)Экология-(12095)Экономика-(9961)Электроника-(8441)Электротехника-(4623)Энергетика-(12629)Юриспруденция-(1492)Ядерная техника-(1748)

Ред.]Доведення. Формулювання теореми




Формулювання теореми

Теорема Лагранжа

Ред.]Зауваження

Формула Лагранжа є частковим випадком формули Коші (1), коли .

У формулі (1) зовсім не обов'язково вважати, що

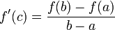
Якщо функція неперервна на проміжку , диференційована в , то знайдеться принаймні одна точка така, що має місце формула:

.

Ця формула і називається формулою Лагранжа, або формулою про скінченні прирости.

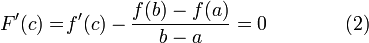
Розглянемо на проміжку наступну допоміжну функцію:

.

Перевіримо, що для функції виконані всі умови теореми Ролля. І справді, неперервна на проміжку (як різниця функції та лінійної функції) та в усіх внутрішніх точках проміжка має похідну:

.

З формули (1) очевидно, що .

Згідно з теоремою Ролля на проміжку знайдеться точка така, що

З рівності (2) витікає формула Лагранжа. Слід відзначити, що не обов'язково вважати




Поделиться с друзьями:


Дата добавления: 2015-05-10; Просмотров: 388; Нарушение авторских прав?; Мы поможем в написании вашей работы!


Нам важно ваше мнение! Был ли полезен опубликованный материал? Да | Нет



studopedia.su - Студопедия (2013 - 2026) год. Все материалы представленные на сайте исключительно с целью ознакомления читателями и не преследуют коммерческих целей или нарушение авторских прав! Последнее добавление




Генерация страницы за: 0.011 сек.