Студопедия

КАТЕГОРИИ:


Архитектура-(3434)Астрономия-(809)Биология-(7483)Биотехнологии-(1457)Военное дело-(14632)Высокие технологии-(1363)География-(913)Геология-(1438)Государство-(451)Демография-(1065)Дом-(47672)Журналистика и СМИ-(912)Изобретательство-(14524)Иностранные языки-(4268)Информатика-(17799)Искусство-(1338)История-(13644)Компьютеры-(11121)Косметика-(55)Кулинария-(373)Культура-(8427)Лингвистика-(374)Литература-(1642)Маркетинг-(23702)Математика-(16968)Машиностроение-(1700)Медицина-(12668)Менеджмент-(24684)Механика-(15423)Науковедение-(506)Образование-(11852)Охрана труда-(3308)Педагогика-(5571)Полиграфия-(1312)Политика-(7869)Право-(5454)Приборостроение-(1369)Программирование-(2801)Производство-(97182)Промышленность-(8706)Психология-(18388)Религия-(3217)Связь-(10668)Сельское хозяйство-(299)Социология-(6455)Спорт-(42831)Строительство-(4793)Торговля-(5050)Транспорт-(2929)Туризм-(1568)Физика-(3942)Философия-(17015)Финансы-(26596)Химия-(22929)Экология-(12095)Экономика-(9961)Электроника-(8441)Электротехника-(4623)Энергетика-(12629)Юриспруденция-(1492)Ядерная техника-(1748)

Определения и простейшие свойства




Термин отсутствует

Нет термина

Метрологическая служба и ее деятельность

Понятия, относящиеся к метрологической службе


 

 


(11.2.) Единство измерений (uniformity of measurement)- состояние измерений, при котором их результаты выражены в узаконенных единицах,

 

(12.1.) Единство измерений (traceability)- состояние измерений, характеризующееся тем, что их результаты выражаются в узаконенных единицах,


погрешности измерений известны с заданной вероятностью.

 

 

размеры которых выражаются в узаконенных единицах, размеры которых в установленных пределах равны размерам единиц, воспроизводимых первичными эталонами, а погрешности результатов измерений известны и с заданной вероятностью не выходят за установленные пределы.



(12.2.) Обеспечение единства измерений -деятельность метрологических служб, направленных на достижение и поддержание единства измерений в соответствии с законодательными актами, а также правилами и нормами, установленными государственными стандартами и другими нормативными документами по обеспечению единства измерений.



 

 


(11.1.) Метрологическая служба (metrological service) - сеть государственных и ведомственных метрологических органов и их деятельность, направленная на обеспечение единства измерений и единообразия средств измерений в стране.

(12.4.) Метрологическая служба (service of legal metrology) - служба, создаваемая в соответствии с законодательством для выполнения работ по обеспечению единства измерений и для осуществления метрологического контроля и надзора.



(11.3.) Единообразие средств измерений (uniformity of measuring instruments) - состояние средств измерений, характеризующееся тем, что они проградуированы в узаконенных единицах и их метрологические свойства соответствуют нормам.

 


 


(11.6.) Поверка средств измерений -определение метрологическим органом погрешностей средств измерений и установление его пригодности к применению.

 

 

(12.15.) Поверка средств измерений (verifi-cation) - установление органом метрологической службы (или другим официально уполномоченным органом, организацией) пригодности средств измерений к применению на основании экспериментально определяемых метрологических характеристик и подтверждения их соответствия установленным обязательным требованиям.


 

Определение 1. Пусть a, b Î Z, m Î N. Говорят, что число а сравнимо с b по модулю m, если а и b при делении на m дают одинаковые остатки. Запись этого факта выглядит так: a º b(mod m).

Определение 2. Два целых числа a и b называются сравнимыми по модулю m, если их разность делится нацело на m. (a-b) ⋮ m

Определение 3. Два целых числа a и b называются сравнимыми по модулю m, если a = b + mt, где tÎZ

Очевидно, что бинарное отношение сравнимости ºm (неважно, по какому модулю) есть отношение эквивалентности на множестве целых чисел.

Ясно, что число а сравнимо с b по модулю m тогда и только тогда, когда а-b делится на m нацело. Очевидно, это, в свою очередь, бывает тогда и только тогда, когда найдется такое целое число t, что a=b+mt.

Понять процесс собирания целых чисел в классы сравнимых между собой по модулю m (классы эквивалентности ºm) поможет следующая картинка:


 

На рисунке 6 изображен процесс наматывания цепочки целых чисел на колечко с m делениями, при этом на одно деление автоматически попадают сравнимые между собой числа. Кстати, эта картинка неплохо объясняет и термин "кольцо".

Перечислим, далее, свойства сравнений, похожие на свойства отношения равенства.

 

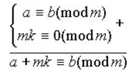
Свойство 1. Сравнения по одинаковому модулю можно почленно складывать.

Доказательство. Пусть a1= b1(mod m), a2= b2(mod m). Это означает, что a1 =b1 +mt1, a 2 =b 2 +mt 2. После сложения последних двух равенств получим a1 +a2 =b1 +b2 +m(t1 +t2), что означает a1+a2 = b1+b2(mod m).

 

Свойство 2. Слагаемое, стоящее в какой-либо части сравнения, можно переносить в другую часть, изменив его знак на обратный.

Доказательство.

 

Свойство 3. К любой части сравнения можно прибавить любое число, кратное модулю.

Доказательство.

 

 

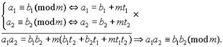
Свойство 4. Сравнения по одинаковому модулю можно почленно перемножать и, следовательно,

Свойство 5. Обе части сравнения можно возвести в одну и ту же степень. Доказательство.


 

Как следствие из вышеперечисленных свойств, получаем

Свойство 6. Если

a 0b 0 (mod m), a 1b 1 (mod m),..., a nb n (mod m), xy(mod m),

то a 0 x n +a 1 x n-1 +...+a nb 0 y n +b 1 y n-1 +...+b n (mod m)

 

Свойство 7. Обе части сравнения можно разделить на их общий делитель, взаимно простой с модулем.

Доказательство. Пусть ab(mod m), a=a 1 d, b=b 1 d. Тогда (a 1 -b 1)d делится на m.

Поскольку d и m взаимно просты, то на m делится именно (a 1 -b 1), что означает a 1b 1(mod m).

Свойство 8. Обе части сравнения и его модуль можно умножить на одно и то же целое число или разделить на их общий делитель.




Поделиться с друзьями:


Дата добавления: 2015-05-26; Просмотров: 1018; Нарушение авторских прав?; Мы поможем в написании вашей работы!


Нам важно ваше мнение! Был ли полезен опубликованный материал? Да | Нет



studopedia.su - Студопедия (2013 - 2025) год. Все материалы представленные на сайте исключительно с целью ознакомления читателями и не преследуют коммерческих целей или нарушение авторских прав! Последнее добавление




Генерация страницы за: 0.014 сек.