Студопедия

КАТЕГОРИИ:


Архитектура-(3434)Астрономия-(809)Биология-(7483)Биотехнологии-(1457)Военное дело-(14632)Высокие технологии-(1363)География-(913)Геология-(1438)Государство-(451)Демография-(1065)Дом-(47672)Журналистика и СМИ-(912)Изобретательство-(14524)Иностранные языки-(4268)Информатика-(17799)Искусство-(1338)История-(13644)Компьютеры-(11121)Косметика-(55)Кулинария-(373)Культура-(8427)Лингвистика-(374)Литература-(1642)Маркетинг-(23702)Математика-(16968)Машиностроение-(1700)Медицина-(12668)Менеджмент-(24684)Механика-(15423)Науковедение-(506)Образование-(11852)Охрана труда-(3308)Педагогика-(5571)Полиграфия-(1312)Политика-(7869)Право-(5454)Приборостроение-(1369)Программирование-(2801)Производство-(97182)Промышленность-(8706)Психология-(18388)Религия-(3217)Связь-(10668)Сельское хозяйство-(299)Социология-(6455)Спорт-(42831)Строительство-(4793)Торговля-(5050)Транспорт-(2929)Туризм-(1568)Физика-(3942)Философия-(17015)Финансы-(26596)Химия-(22929)Экология-(12095)Экономика-(9961)Электроника-(8441)Электротехника-(4623)Энергетика-(12629)Юриспруденция-(1492)Ядерная техника-(1748)

Система директ-кост як теоретична база аналізу витрат та оптимізації прибутку




В умовах самостійності функціонування підприємств, склад­ності їх орієнтації в ринкових умовах господарювання суттєво зростає роль обліку та аналізу як єдиного інструмента для прийнят­тя необхідних управлінських рішень. Проблема полягає в прак­тичному застосуванні на підприємствах обгрунтованих прийомів і методів економічного аналізу, зокрема системи директ-кост.

Метод урізаної собівартості, або директ-кост, з'явився у 1953 р. у США. В Європі він отримав назву маржинальної бухгалтерії.

Системі директ-кост властиві такі особливості:

1. Поділ витрат на постійні і змінні. Це головна особливість директ-кост, основаного на поділі витрат на постійні та змінні, є те, що собівартість виготовленої продукції обліковується й планується тільки в частині змінних витрат. Постійні витрати зби­рають на окремому рахунку та із заданою періодичністю спису­ють безпосередньо на дебет рахунка фінансових результатів. От­же постійні витрати не включають у розрахунок собівартості виробів а як витрати даного періоду списують на одержаний прибуток протягом того періоду, в якому їх було здійснено;

1. Об'єднання виробничого і фінансового обліку. По системі
директ-кост облік і звітність на підприємствах організовано та­ким чином, що з'являється можливість регулярного контролю даних за схемою «витрати—обсяг—прибуток»;

3. Багатостадійність складання звіту про доходи.

Побудова звітів про доходи при системі директ-кост багато­ступенева Звіти включають два фінансових показники — мар­жинальний дохід та прибуток, які визначають за такою схемою.

Виділяють основну модель для аналізу прибутку і триступеневу. За змістом основна модель являє собою табл. 11.3.

Величину маржинальноіо доходу (М), тобто суму постійних витрат і прибутку, в літературі називають по-різному: валовим доходом, валовим прибутком, брутто-прибутком, сумою покрит­тя, доданою вартістю. Поняття «валовий дохід» та «валовий при­буток» мають самостійне значення.

Маржинальний дохід являє собою різницю між виручкою від реалізації і змінними витратами або суму постійних витрат і при­бутку від реалізації. Ця обставина дозволяє формувати багато­ступеневі звіти, що важливо для детального аналізу. Так, якщо в основному звіті змінні витрати поділити на прямі виробничі й накладні виробничі, то звіт стане триступеневим. При цьому спо­чатку визначається первинний виробничий маржинальний дохід, потім маржинальний дохід у цілому, потім прибуток від реаліза­ції (табл. 11.4), наприклад:

 

4. Розробка методики економіко-математичного і графічного подання й аналізу звітів для прогнозу прибутку від реалізації. У світовій практиці використовують два види директ-косту:

1. метод змінної собівартості, або простий директ-кост;

2. метод змінної та прямої собівартості, або розвинутий ди-рект-кост.

Простий директ-кост подано на рис. 11.4. Для простого директ-косту (маржинальної бухгалтерії) харак­терні дві риси:

3. метод використовують для аналізу витрат, випуску продук­ції і результату реалізації в цілому по підприємству;

4. критерієм, який прийнятий для вибору витрат виготовленої продукції, що включаються до собівартості, є їх змінність.

Метод змінної і прямої собівартості, аборозвинутий директ-кост ілюструє така схема (рис. 11.5):

Розвинутий директ-кост характеризують такі принципи директ-косту:

10. витрати, реалізація і результати враховуються за сегмента­ми діяльності. Ця інформація доводиться до всіхвнутрішніх і зо­внішніх сегментів;

11.витрати, які можна прямо віднести на сегмент, розподіляють на нього прямо, без використання методів непрямого розподілу;

12.у процесі обліку змінних і прямих постійних витрат визна­чається, як правило, кілька видів маржі.

Аналіз варіантів розвинутого і простого директ-косту (маржинального обліку), які використовують у практиці зарубіжних під­приємств, свідчить, що завдяки цим методам підвищується ефек­тивність управління витратами.

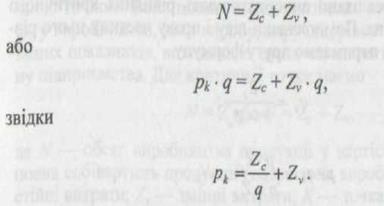
Аналітичні можливості системи директ-кост розкриваються найповніше при дослідженні зв'язку собівартості з обсягом реалізації продукції і прибутком. Розглянемо вихідне рівняння для аналізу. Обсяг реалізації продукції, або виручка (N), пов'язаний із собівартістю (Z)і прибутком від реалізації (R) таким співвідно­шенням

N = Z + R

Якщо підприємство працює прибутково, то значення R > 0, якщо збитково, то значення R < 0. Якщо R = 0, то немає ні прибу­тку, ні збитку і виручка від реалізації дорівнює витратам. Точка переходу із одного стану в другий (при R = 0) називається крити­чною точкою. Вона цінна тим, що дозволяє отримати оцінки об­сягу виробництва, ціни виробу, виручки, рівня постійних витрат і інших показників, виходячи із вимог загального фінансового ста­ну підприємства. Для критичної точки маємо

де N — обсяг виробництва продукції у вартісному виразі; Z — повна собівартість продукції (витрати на виробництво); ZС — по­стійні витрати; Zv — змінні витрати; К — точка критичного обся­гу виробництва.

Якщо виручку представити як добуток ціни продажу одиниці виготовленої продукції (Р) і її кількості (q), а змінні витрати пе­рераховувати на одиницю виготовленої продукції, то отримаємо розгорнуте рівняння

де ZС — постійні витрати на весь обсяг виробництва продукції; Zv змінні витрати, у розрахунку на одиницю виготовленої продукції. Це рівняння є основним для розрахунку та оцінки критичних обсягів:

1)виробництва;

2)виручки (реалізації);

3)рівня постійних витрат;

4)ціни реалізації;

5)рівня мінімального маржинального доходу;

6)планового обсягу продажу для заданої суми планового (очі­куваного) прибутку.

7)обсягу продажу, який забезпечує однаковий прибуток за рі­зних варіантів виробництва (різних варіантах технології, цін, структури витрат тощо).

Указані вище показники можна розрахувати таким чином.

 

 

 

де qк — критичний обсяг виробництва продукції (кількість оди­ниць виробів); d — маржинальний дохід на одиницю виробу, грн.

Маржинальний дохід на весь випуск визначається як різниця між виручкою і сумою змінних витрат.

2. Критичний обсяг виручки (реалізації). Для визначення кри­тичного обсягу реалізації використовують рівняння критичного обсягу виробництва. Помноживши ліву і праву частину цього рів­няння на ціну (Р), отримаємо другу формулу

де Nk — критичний обсяг реалізації у вартісному виразі, решта умовних позначень відповідають прийнятим раніше.

Для розрахунку критичного обсягу реалізації за умови зміни величини маржинального доходу використовують таке співвід­ношення

де 0 — індекс значення показника в базовому періоді; і — індекс значення показника у звітному періоді.

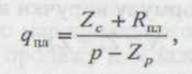
3. Критичний рівень постійних витрат. Для розрахунку ви­користовують вихідну формулу виручки в критичній точці

Ця формула зручна тим, що дозволяє визначити величину по­стійних виртат, якщо заданий рівень маржинального доходу у відсотках до ціни виробу або обсягу реалізації (виручки). Тоді формула для вирахувань буде така:

4. Критична ціна реалізації. Ціна реалізації визначається ви­ходячи із заданого обсягу реалізації і рівня постійних і змінних витрат у розрахунку на одиницю виробу, маємо

5. Рівень мінімального маржинального доходу. Якщо відомі величина постійних витрат і очікувана величина виручки, то рі­вень мінімального маржинального доходу у % до виручки визна­чається із формули

6. Плановий обсяг продажу для заданої суми планового (очіку­ваного) прибутку. Якщо відомі постійні витрати, ціни одиниці виробу, змінні витрати на одиницю виробу, а також сума розра­хункової (бажаної) суми прибутку, то обсяг продажу визначаєть­ся за формулою

де qпл — обсяг продажу, що забезпечує отримання планової суми прибутку; Rпл — планова сума прибутку.

Ця формула прямо «випливає» із визначення маржинального доходу як суми постійних витрат і прибутку від реалізації.

7. Обсяг продажу, що забезпечує однаковий прибуток за різ­них варіантів виробництва (різних варіантах технології, цін, структури витрат тощо).

Алгебраїчне вирішення задачі знаходимо за використання та­кої формули (аналіз двох варіантів);

звідки випливає розрахунок величини обсягу продажу

де Zc1, Zc2— постійні витрати за різними варіантами; d1, d2 — маржинальний дохід на одиницю виробу за різними варіантами.

З переходом вітчизняної економіки до ринку та реорганізації сис­теми бухгалтерського обліку, виокремлення з неї фінансового обліку та організації на підприємствах управлінського обліку дозволяє:

· підвищити рівень управління витратами з орієнтацією на кінцевий результат;

· впровадити систему ефективного внутрішнього комерцій­ного розрахунку, що забезпечує взаємозв'язок результатів, одер­жаних у фінансовому та управлінському обліку;

· порівнювати витрати і реалізацію за зовнішніми сегментами діяльності підприємства;

· значно підвищити ефективність управлінського обліку, кон­тролю й аналізу.

Директ-кост дає змогу керівництву підприємства сконцентру­вати увагу на зміні маржинального доходу як по підприємству в цілому, так і щодо окремих виробів, виявити вироби з вищою ре­нтабельністю, щоб перейти переважно на їх випуск, оскільки різ­ниця між продажною ціною та сумою змінних витрат не зникає в результаті списання постійних витрат на собівартість конкретних виробів. Система забезпечує можливість швидко переорієнтувати виробництво відповідно до умов ринку, що змінюються.

У Звіті про фінансові результати, що складаються при системі «директ-кост», простежують зміни розміру прибутку внаслідок змін змінних витрат, цін реалізації та структури продукції, що випускається.

Поряд з перевагами системи директ-кост, їй властиві недоліки:

1)у разі зниження цін з метою досягнення привілейованого положення на ринку за окремими виробами виникає небезпека, що частка неподільних постійних витрат не може бути покрита маржею, тобто підприємство потрапляє в зону збитків;

2) у складі постійних витрат є такі, які можуть бути прямо віднесені на окремі вироби. Наприклад, якщо для виробництва виробів А, Б, В використовують обладнання різних видів, то при директ-кост уся амортизація вважається постійною, тоді як амор­тизаційні витрати можуть бути віднесені на окремі вироби. Отже, виникає категорія прямих постійних витрат.

Важливою особливістю методу директ-кост є те, що завдяки йому можна вивчати взаємозв'язки та взаємозалежності між обся­гом виробництва, витратами (собівартістю) і прибутком. Такий взаємозв'язок відображує залежність змінних та постійних витрат і виручки від обсягу виробництва. Точка, що визначається на графіку, називається точкою критичного обсягу виробництва («мертва точка», точка рентабельності): обсяг виробництва, при якому ве­личина виручки від реалізації продукції дорівнює її повній собівар­тості. Цей графік при багаточисельній його модифікації викорис­товують при аналізі та прийнятті управлінських рішень.

Велике значення тут має встановлення зв'язку і пропорцій між витратами та обсягами виробництва. При використанні методів кореляційного й регресивного аналізу, математичної статистики, графічних методів можна визначити форми залежності витрат від обсягу виробництва або завантаження виробничих потужностей, складати необхідні рівняння, отримувати інформацію про прибут­ковість або збитковість виробництва залежно від його обсягу, розраховувати критичну точку обсягу виробництва — прогнозу­вати поведінку собівартості або окремих видів витрат залежно від чинників обсягу або потужності, тобто вирішувати стратегіч­ні завдання управління підприємством.




Поделиться с друзьями:


Дата добавления: 2015-05-26; Просмотров: 1351; Нарушение авторских прав?; Мы поможем в написании вашей работы!


Нам важно ваше мнение! Был ли полезен опубликованный материал? Да | Нет



studopedia.su - Студопедия (2013 - 2026) год. Все материалы представленные на сайте исключительно с целью ознакомления читателями и не преследуют коммерческих целей или нарушение авторских прав! Последнее добавление




Генерация страницы за: 0.011 сек.