Студопедия

КАТЕГОРИИ:


Архитектура-(3434)Астрономия-(809)Биология-(7483)Биотехнологии-(1457)Военное дело-(14632)Высокие технологии-(1363)География-(913)Геология-(1438)Государство-(451)Демография-(1065)Дом-(47672)Журналистика и СМИ-(912)Изобретательство-(14524)Иностранные языки-(4268)Информатика-(17799)Искусство-(1338)История-(13644)Компьютеры-(11121)Косметика-(55)Кулинария-(373)Культура-(8427)Лингвистика-(374)Литература-(1642)Маркетинг-(23702)Математика-(16968)Машиностроение-(1700)Медицина-(12668)Менеджмент-(24684)Механика-(15423)Науковедение-(506)Образование-(11852)Охрана труда-(3308)Педагогика-(5571)Полиграфия-(1312)Политика-(7869)Право-(5454)Приборостроение-(1369)Программирование-(2801)Производство-(97182)Промышленность-(8706)Психология-(18388)Религия-(3217)Связь-(10668)Сельское хозяйство-(299)Социология-(6455)Спорт-(42831)Строительство-(4793)Торговля-(5050)Транспорт-(2929)Туризм-(1568)Физика-(3942)Философия-(17015)Финансы-(26596)Химия-(22929)Экология-(12095)Экономика-(9961)Электроника-(8441)Электротехника-(4623)Энергетика-(12629)Юриспруденция-(1492)Ядерная техника-(1748)

Детской апперцепции тест 1 страница




(Children's Apperception Test, CAT)проективная методика исследования личности. Опубликована Л. Беллаком и С. Беллак в 1949 г. Д. а. т. — вариант те­матической апперцепции теста, пред­назначен для обследования детей в возра­сте от 3 до 10 лет.

Стимульный материал Д. а. т. состоит из 10 стандартных черно-белых таблиц-рисунков. В качестве персонажей изобра­женных ситуаций выступают животные, которые в большинстве случаев выполня­ют человеческие действия. Рисунки вы­полнены в манере, характерной для детс­ких книг (рис. 20, 21). Выбор рисунков осуществлялся в соответствии с гипоте­зой авторов о том, что процесс проекции у детей значительно облегчается в том случае, когда в качестве персонажей выс­тупают животные, а не люди. Экспери­ментальное подтверждение этой гипотезы отсутствует. Напротив, проведены исследования, свидетельствующие о том, что более значимый диагностический мате­риал может быть получен при использо­вании рисунков, изображающих людей. Это было учтено авторами, предложивши­ми в 1966 г. новый вариант Д. а. т. с изображениями людей (САТ-Н). Данные о валидности Д. а. т. противоречивы.

 

Рис. 20. Образец рисунка Детской апперцепции теста

Рис.21. Пример рисунка Детской апперцепции теста

Д. а. т. стимулировал появление зна­чительного количества валидных проек­тивных методик исследования личности, ориентированных на изучение семейных и других отношений, аттитюдов детей (см. Аттитюдов детей тест, Джексон тест семейных установок, Жиля тест-фильм, Семейных отношений тест).

Д. а. т. (руководство по работе и кар­тинки) был впервые в СНГ с разрешения автора опубликован на русском языке в Киеве (Л. Беллак, С. С. Беллак, 1995).

ДЖЕКСОН ТЕСТ СЕМЕЙНЫХ УСТА­НОВОК (Jackson Test of Family Attitu­des) — проективная методика исследо­вания личности. Опубликована Л. Джек­сон в 1952 г. Предназначена для обследо­вания детей в возрасте от 6 до 12 лет.

Стимульный материал Д. т. с. у. состо­ит из шести стандартных таблиц с изобра­жением различных критических для ре­бенка сцен семейной жизни, напр.: угроза его благополучию вследствие рождения в семье другого ребенка (рис. 22), отказ ро­дителей от ребенка и т. п. Д. т. с. у. Может рассматриваться как вариант детской апперцепции теста (см. Аттитюдов детей тест, Жиля тест-фильм, Семей­ных отношений тест).

Рис. 22. Образец рисунка Джексона теста семей­ных установок

Автором теста были проведены иссле­дования в трех группах: нормальные дети; дети, страдающие неврозами; несовер­шеннолетние правонарушители. Обнару­жены значимые межгрупповые различия, позволяющие сделать вывод о валидности Д. т. с. у. в изучении установок детей к родителям, родственникам, самим себе. Широкого распространения в психоди­агностических исследованиях тест не по­лучил.

Сведений об использовании в СНГ не имеется.

ДЖЕНКИНСА ПОВЕДЕНИЯ ОБО­ЗРЕНИЕ (Jenkins Activity Survey, JAS)опросник личностный, направ­ленный на выявление поведения типа А. Разработан Д. Дженкинсом в 1967 г. Сре­ди опросников, направленных на диагнос­тику поведения типа А, используется наи­более часто.

Поведение типа А — поведенческий синдром, который характеризуется агрес­сивностью, нетерпеливостью, чрезмерной вовлеченностью в работу, стремлением к достижениям, соперничеству, преувели­ченным чувством недостатка времени, то­ропливой речью, напряженностью мышц лица и тела. Людям противоположного типа (Б) эти особенности несвойственны. М. Фридман, Р. Розенман, вводя это по­нятие в 60-е годы, обнаружили, что лица, отнесенные к типу А, от 4 до 7 раз чаще (чем лица типа Б) заболевают инфарктом миокарда. Поиски типа «коронарной лич­ности» начались еще в прошлом веке. В 1938 г. этот тип был выделен и описан в рамках концепции «профиля личности». Впоследствии изучались отдельные пси­хологические характеристики вне связи с общей структурой личности. Преморбидные личностные особенности трудно было отграничить от приобретенных под влия­нием болезни, и поэтому был сделан пере­ход от категории «личность» к категории «поведение», которая чаще всего и ис­пользуется в современных исследованиях ишемической болезни сердца и инфаркта миокарда.

Д. п. о. состоит из 61 вопроса. Испыту­емый должен выбрать один из двух-пяти предусмотренных вариантов ответа, каж­дому из которых после окончания работы с опросником присуждается «вес» от 1 до 13 баллов, причем 1 балл присуждается варианту ответа, наиболее соответству­ющему поведению, характерному для типа А. Если предлагаются 2 варианта от­вета, один из них оценивается 1 баллом (тип А), другой — 13 баллами (тип Б); в случае 3 вариантов — промежуточный оценивается 7 баллами; при 4 вариантах ответа баллы распределяются следующим образом: 1, 5, 9, 13, а при 5 вариантах — 1, 4, 7, 10, 13. Эта система оценки баллов предложена А. Гринявичюс при адапта­ции методики на русском и литовском языках (А. Гоштаутас, В. Ядов, Ю. Семе­нов, 1972-1976) при выполнении между­народной Каунасско-Роттердамской про­граммы (обследовались 1450 мужчин в возрасте от 40 до 59 лет).

Примеры вопросов и вариантов от­ветов:

Бывает ли, что Вы торопитесь к месту назначения, хотя времени еще вполне достаточно? а) часто; б) иногда; в) ре­дко или почти никогда.

Бывает ли, что Вам трудно выбрать время, чтобы сходить в парикмахер­скую? а) никогда; б) иногда; в) почти всегда.

Согласились бы хорошо знающие Вас люди с утверждением, что Вы живете мирной и спокойной жизнью? а) абсо­лютно да; б) возможно да; в) возмож­но нет; г) абсолютно нет.

Диагностическое суждение о выра­женности особенностей типа А принима­ется на основании итоговой балльной оценки. Диагностируются: тип А, средний тип АБ или тип Б.

Валидность Д. п. о. устанавливалась путем сопоставления результатов, полу­ченных с его помощью, и данных интер­вью. Диагностическое решение совпадало в 65-73% случаев. Валидность теку­щая характеризуется наличием связи между данными, полученными с помощью опросника, и выраженностью артериосклероза и повторными случаями инфаркта миокарда.

ДИАГНОЗ ПСИХОЛОГИЧЕСКИЙ греч. διαγυωσιζ — распознание) — конечный результат деятельности психолога, направленный на выяснение сущности индивидуально-психологических особенностей личности с целью оценки их актуального состояния, прогноза дальнейшего развития и разработки рекомендаций, определяемых задачей психодиагностичес­кого обследования.

Предмет Д. п. — установление индивидуально-психологических различий в норме и в патологии. Важнейшим элементом Д. п. является выяснение в каждом отдельном случае того, почему данные проявления обнаруживаются в поведении обследуемого, каковы их причины и след­ствия. По мере обогащения психологического знания «этиологический» элемент в Д. п., вероятно, не будет иметь столь существенного значения, как в настоящее время, во всяком случае в текущей, практической работе. Сегодня, как правило, установив средствами психодиагностики тe или иные индивидуально-психологические особенности, исследователь лишен возможности указать на их причины, место в структуре личности.

Такой уровень диагностики Л. С. Выготский назвал симптоматическим (или эмпирическим). Этот диагноз ограничивается констатацией определенных осо­бенностей или симптомов, на основании которых непосредственно строятся практические выводы. Л. С. Выготский от­вечает, что данный диагноз не является собственно научным, ибо установление симптомов никогда автоматически не приводит к диагнозу. Здесь работу психолога вполне можно заменить машинной обра­боткой данных.

Второй ступенью в развитии Д. п. яв­ляется этиологический диагноз, учитыва­ющий не только наличие определенных особенностей (симптомов), но и причины их возникновения.

Высший уровень — типологический диагноз, заключающийся в определении места и значения полученных данных в целостной, динамической картине лично­сти. По словам Л. С. Выготского, диагноз всегда должен иметь в виду сложную структуру личности.

Диагноз неразрывно связан с прогно­зом. По Л. С. Выготскому, содержание прогноза и диагноза совпадает, но прогноз строится на умении настолько понять «внутреннюю логику самодвижения процесса развития, что на основе прошлого и настоящего намечает путь развития». Ре­комендуется разбивать прогноз на отдель­ные периоды и прибегать к длительным повторным наблюдениям. Развитие тео­рии Д. п. в настоящее время является од­ной из наиболее важных задач психодиаг­ностики.

ДИАГНОСТИЧЕСКИЙ ОБУЧАЮ­ЩИЙ ЭКСПЕРИМЕНТ — экспериментальный прием оценки интеллектуально­го развития или отдельных компонентов умственной активности с помощью выяв­ления потенциальных способностей испы­туемого к усвоению новых знаний, выра­ботке способов решения.

В Д. о. э. принцип обучающего экспе­римента приспособлен для решения задач качественной и количественной диагнос­тики основных компонентов обучаемости: активности в решении интеллектуальных задач, восприимчивости к помощи, спо­собности к логическому переносу и др. В качестве основных критериев умствен­ного развития в Д. о. э. выступают не столько показатели достигнутого уровня сформированности тех или иных свойств, способностей, умений (как это чаще всего имеет место при традиционной тесто­вой процедуре), сколько результаты оцен­ки возможностей развития субъекта в ходе овладения новым материалом в усло­виях специально организованного экспериментального обучения. Другими сло­вами, если психометрические тесты ин­теллекта анализируют «срез» достигну­того уровня той или иной интеллек­туальной способности, то диагностика с привлечением принципов обучающего эк­сперимента выявляет динамику решения той или иной новой задачи в результате направленных обучающих, тренирующих, развивающих воздействий. Таким образом, если традиционный тест имеет пре­имущества в констатации имеющихся возможностей, то метод Д. о. э. более адекватно решает задачу прогноза разви­тия способностей.

Одной из теоретических основ приме­нения обучающего эксперимента для ди­агностики умственного развития в отече­ственной психодиагностике является кон­цепция «зоны ближайшего развития» Л. С. Выготского. В умственном развитии ребенка Л. С. Выготский выделяет два уровня: «актуальный» (или достигнутый к настоящему моменту) и «потенциаль­ный», связанный с «зоной ближайшего развития». Последний определяется спо­собностью ребенка в сотрудничестве со взрослыми усваивать новые способы дей­ствий, поднимаясь тем самым на более высокую ступень умственного развития. При этом наличие более широкой «зоны ближайшего развития» у конкретного ре­бенка является более надежным (по срав­нению с актуальным запасом знаний и умений) признаком успешности дальней­шего обучения, чем и определяется диагностическая значимость этого крите­рия при оценке умственных возможнос­тей с т. з. перспективы развития. «Зона ближайшего развития» является важным показателем не только перспектив разви­тия ребенка под воздействием обучения, но и имеет большое дифференциально-диагностическое значение с т. з. различе­ния здорового и умственно отсталого ре­бенка.

Оценка широты «зоны» в эксперимен­тальных условиях осуществляется путем анализа выполнения ребенком трудного для его возраста задания с обязательным оказанием ему помощи наводящими вопросами, демонстрацией решения проме­жуточных по сложности или аналогичных заданий и т. д.

Важнейшим показателем перспектив развития, согласно Л. С. Выготскому, яв­ляется исследование способности ребен­ка к самостоятельному решению задач, близких к тем, которые он решал в сотрудничестве с экспериментатором.

Проведение Д. о. э. предполагает обес­печение определенных методических ус­ловий исследования. Основное экспери­ментальное задание должно подбираться таким образом, чтобы оно не являлось слишком трудным или, напротив, слиш­ком легким, а находилось в «зоне трудно­сти» для детей обследуемой возрастной группы. Другим специфическим условием является подбор дополнительного (анало­гичного по способу выполнения) задания, предъявляемого после выполнения основ­ного. Оценка восприимчивости к помощи как один из основных показателей обуча­емости в Д. о. э. предусматривает также «дозирование» помощи при выполнении задания,регламентацию способов ее ока­зания.

Примером практической реализации рассматриваемого приема диагностики умственного развития детей является ме­тодика Д. о. э., предложенная А. Я. Ива­новой в 1973 г. Методика предназначена для оценки умственного развития детей в возрасте 7-9 лет. Стимульный материал включает два набора по 24 карточки в каждом с изображениями геометрических фигур, различающихся по цвету, форме и величине. К первому набору (основное за­дание) прилагается доска-таблица с изоб­ражениями всех фигур, имеющихся на карточках (рис. 23).

 

Рис. 23. Задание диагностического обучающего эксперимента по А. Я. Ивановой

Выполнение основного задания заклю­чается в последовательном вычленении ребенком каждого из трех отличитель­ных признаков и группировке карточек на основании данного признака. В ходе выполнения задания ребенку оказывается дозированная помощь в виде «уроков-под­сказок»: I «урок» — указание на различие каких-либо двух конкретных карточек по одному признаку (в соответствии с задачей обучения); II «урок» — демонстрация сходства одной из карточек I урока с тре­тьей по этому же признаку; III «урок» — объяснение принципа раскладки карточек на группы и демонстрация правильного выполнения задания.

Каждый последующий «урок» (груп­пировка карточек экспериментатором) повторяется до тех пор, пока испытуемый сам не справится с задачей классификации по требуемому признаку. Способы оказания помощи и формулировки объяс­нения регламентированы.

Задание считается выполненным в том случае, когда ребенок правильно раскла­дывает карточки и дает словесный ответ, называя признак, на основании которого выполнялась очередная группировка. Обследование занимает примерно 10-15 мин.

Основными регистрируемыми показа­телями являются способность к логичес­кому переносу (понимание и способность объяснить принцип действия), время вы­полнения заданий. Наиболее ценными яв­ляются сведения, характеризующие про­цесс умственной деятельности ребенка, его работоспособность, интерес, характер ошибок, эмоциональные реакции, выска­зывания в ходе решения задачи. Эти по­казатели анализируются качественно. Наряду с этим методика дает возмож­ность получить определенные количе­ственные характеристики обучаемости по числу «уроков», необходимых для усвое­ния принципа решения и его переноса на аналогичные задания. Заключение по ре­зультатам исследования базируется как на качественной оценке, так и на прибли­женных нормах необходимой помощи для детей исследуемых возрастных групп.

Вместе с материалом, основанным на классификации геометрических фигур, существует вариант Д. о. э. с использо­ванием пробы Коса (см. Коса кубики), классификации карточек с предметными изображениями. В целом для проведения Д. о. э. может быть использован любой тестовый материал, удовлетворяющий указанным выше методическим особенно­стям (А. Я. Иванова, 1976).

Д. о. э. как психодиагностический ин­струмент получил широкое распростране­ние в дифференциальной диагностике со­стояний умственной отсталости, задер­жек психического развития у детей.

Наряду с очевидными преимущест­вами Д. о. э. по сравнению с психометри­ческими тестовыми методиками (теоре­тическая обоснованность критериев диаг­ностики, разнообразие качественной диагностической информации, раскрываю­щей процесс интеллектуальной деятель­ности испытуемого) необходимо указать и некоторые недостатки этого диагностиче­ского приема. Наиболее существенный из них — ограниченная возможность коли­чественной интерпретации результатов, последующего ранжирования, стандарти­зации и статистической обработки полу­ченных данных. Это связано со сложнос­тью определения меры вмешательства экспериментатора в выполнение заданий, что, в свою очередь, приводит к сложнос­ти квантификации при оценке получаемой ребенком помощи и трудностям в стан­дартизации процедуры исследования (см. Стандартизация). Возникает также сложность выбора оптимальной группы заданий, находящихся в «зоне трудности» для конкретного ребенка.

Это обстоятельство определяет узкие возрастные границы применения данной методики, приводит зачастую к невозмож­ности дифференцированной оценки уров­ня обучаемости детей, относительно лег­ко справляющихся с предлагаемыми за­даниями. Усовершенствовать Д. о. э. в этом направлении сможет разработка своеобразной шкалы с наборами заданий возрастающей сложности, соотнесенны­ми с различными возрастными группами испытуемых. Таким образом, открывают­ся перспективы сочетания обучающего эксперимента с традиционным психомет­рическим подходом к диагностике интеллектуального развития.

В этой связи представляет интерес ре­ализация принципа Д. о. э. на материале уже известных психометрических тестов. Этот подход не только повышает точность измерений в виде «оценок шкальных», но и дает возможность применения более разнообразных заданий с широким диапа­зоном возрастной трудности, валидность и надежность которых доказаны.

Важными направлениями совершен­ствования методик Д. о. э. являются раз­работка более точных способов оказания дозированной помощи, приближение их к реальным возможностям обучающих воздействий, создание схем более дифферен­цированной оценки показателей обучае­мости.

ДИНАМИЧЕСКИЙ ЛИЧНОСТНЫЙ ОПРОСНИК (Dynamic Personality Inventory, DPI)опросник личност­ный. Предложен Т. Грюгер и П. Грюгер в 1976 г.

В опросник включено 325 заданий, которые представляют собой утвержде­ния или отдельные слова. Задача испы­туемого — оценить их в соответствии с критерием «нравится—не нравится». Продолжительность обследования — 45 мин.

Д. л. о. разрабатывался на основе оп­росника личностных предпочтений М. Кроута (Krout Personal Preference Questionnaire, 1954), который предна­значался для оценки психосексуальных переменных, но оказался невалидным. Оценивает личностные особенности, вы­деленные на основании психоаналитической теории.

Н. Лицемерие — удовлетворенность собственными моральными стандар­тами, недостаточная проницатель­ность.

Wp. Пассивность — стремление к ком­форту, теплоте и умеренным чув­ственным ощущениям.

Ws. Изолированность и интроспекция как защита от социальной тревожно­сти.

О. Оральность — любовь к пище, слад­кому, жирной еде.

Oa. Оральная агрессия — удовольствие от кусания, грызения, любовь к горькой и сильной по вкусу еде; воз­можно, свободно плавающая тре­вога.

Od. Оральная зависимость, особенно от родителей и лиц их замещающих.

Оm. Потребность в свободе движения и эмоциональной независимости, ре­активное образование против ораль­ной зависимости.

Ov. Вербальная агрессия.

Oi. Импульсивность, спонтанность, ре­активный темп, переменчивость, эмоциональная экспрессивность.

Оu. Нетрадиционность мировоззрения.

Ah. Накопительское поведение — тре­вожный собственнический инс­тинкт, упрямая настойчивость.

Ad. Внимание к деталям — дисциплини­рованность, добросовестность, перфекционизм.

Ас. Консерватизм — ригидность и тен­денция придерживаться установлен­ного порядка.

Аа. Покорность власти и указаниям.

As. Анальный садизм — особое внима­ние уделяется сильной власти, жес­токим законам и дисциплине.

Ai. Изолированность — сдержанность и недоверие, социальные и расовые предрассудки.

Р. Заинтересованность объектами, имеющими фаллическое символи­ческое значение.

Рn. Нарциссизм — озабоченность одеж­дой и внешним видом, чувственное наслаждение предметами роскоши.

Ре. Эксгибиционизм — сознательное наслаждение, получаемое от внима­ния и восхищения.

Ра. Активный комплекс Икара — стрем­ление к достижениям.

Ph. Восхищение высотой, пространст­вом и расстоянием, стремления на уровне фантазий.

Pf. Увлечение огнем, ветром, штормом и взрывами: живое воображение.

Pi. «Подвиги Икара» — интерес к ак­тивному исследованию, любовь к приключениям.

S. Сексуальность — сознательное при­нятие сексуальности.

Ti. Удовольствие от тактильных ощуще­ний, интерес к прикладным видам де­ятельности и творческой работе с объектами.

Ci. Творческие, интеллектуальные и ар­тистические интересы.

М. Мужская сексуальная идентифика­ция, проявляющаяся в интересах, отношениях и ролях.

F. Женская сексуальная идентифика­ция, проявляющаяся в интересах, отношениях и ролях.

MF. Тенденция к поиску ролей, незави­симо от их сексуальной принадлеж­ности.

Sa. Интерес к общественной деятель­ности.

С. Интерес к детям, потребность прояв­лять свою любовь.

ЕР. Эго-защитное упорство — склон­ность действовать с новой силой (пе­ред лицом трудностей).

Ei. Инициативность, уверенность в се­бе, склонность к планированию, уп­равлению и организации.

Надежность частей теста, вычис­ленная по методу Кьюдера—Ричардсо­на, в среднем составляет 0,85.

Надежность ретестовая составляет 0,50.

Авторами методики была предпринята попытка определения валидности кри­териальной, однако что именно оцени­вается с помощью данной методики, одно­значно не установлено.

Анализ валидности конструктной методики не производился.

Данных об использовании в СНГ не имеется.

 

ДИСКРИМИНАТИВНОСТЬ ЗАДА­НИЙ ТЕСТА — способность отдельных пунктов (заданий) теста дифференциро­вать обследуемых относительно «макси­мального» или «минимального» результа­та теста.

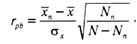
Любой ответ испытуемого на конкрет­ное задание можно оценить по двухбалль­ной шкале — «верно» (1 балл), «неверно» (О баллов). Сумма баллов по всем пунк­там представляет собой первичную («сырую») оценку. Мера соответствия успеш­ности выполнения одной задачи всему те­сту является показателем Д. з. т. для дан­ной выборки испытуемых и называется коэффициентом дискриминации (индек­сом дискриминации).

 

где — среднее арифметическое всех индивидуальных оценок по тесту; п — среднее арифметическое оценок по тес­ту у испытуемых, правильно выполнив­ших задание (в случае опросника личностного — соответствие с «клю­чом»); σ —среднеквадратическое от­клонение индивидуальных оценок по те­сту для выборки; Nn — число испытуе­мых, правильно решивших задачу (или тех, чей ответ на данный пункт опросни­ка соответствует «ключу»); N — общее число испытуемых.

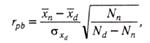
Данное уравнение пригодно для расче­та коэффициента дискриминации лишь в тех случаях, когда все испытуемые дали ответы на все задания теста. При наличии пропусков в ответах целесообразно рассчитывать коэффициент дискриминации следующим образом:

 

 

где d — среднее арифметическое инди­видуальных оценок испытуемых, выпол­нивших задание; σ Xd — среднеквадра­тическое отклонение индивидуальных оценок испытуемых, выполнивших зада­ние; Nd — общее число испытуемых, вы­полнивших задание.

Коэффициент дискриминации может принимать значения от -1 до +1. Высокий положительный rpb свидетельствует об эффективности деления испытуемых. Вы­сокое отрицательное значение rpb свидетельствует о непригодности данной зада­чи для теста, о ее несоответствии суммар­ному результату.

Коэффициент Д. з. т. является, по су­ти, показателем критериальной валид­ности отдельного пункта, поскольку определяется по отношению к внешнему критерию — суммарному результату или оценкам продуктивности реальной дея­тельности испытуемых.

Индекс Д. з. т. вычисляется с примене­нием метода контрастных групп (см. Валидность критериальная, Валидность текущая). Необходимым условием приме­нения метода в этом случае является на­личие близкого к нормальному распреде­ления оценок по валидизации критерию.

Доля членов контрастных групп мо­жет изменяться в широких пределах в за­висимости от величины выборки. Чем больше выборка, тем меньшей долей ис­пытуемых можно ограничиться при выде­лении групп с высоким и низким резуль­татами. Нижняя граница «отсечения групп» составляет 10% от общего числа испытуемых в выборке, верхняя — 33%. Десятипроцентные группы берут редко, поскольку их малочисленность снижает статистическую надежность индексов дис­криминации. Чаще из выборки «извлека­ют» по 27 или 33% испытуемых.

Индекс дискриминации вычисляется как разность между долей лиц, правильно решивших задачу, из «высокопродуктивной» и «низкопродуктивной» групп и обо­значается D:

 

Поскольку Nmax = Nmin (0,10¸0,33), то уравнение приобретает вид

 

Наконец, можно воспользоваться че­тырехпольным коэффициентом корреля­ции:

 

где fg — число лиц, правильно решивших задачу, по отношению к общему числу об­следованных в группе с максимальным ре­зультатом; fd — число лиц, правильно ре­шивших задание в группе с минимальным результатом; р — общая пропорция пра­вильно выполненных заданий; q — число лиц, давших неверное решение (1 - р).

Критические значения этого коэффи­циента, свидетельствующие о диагности­ческой ценности (на уровне р < 0,05), в зависимости от числа обследованных (п) приведены ниже:

п 25 50 100 200

rphi 0,39 0,28 0,20 0,14

Максимальная точность определения rphi достигается в случае, когда макси­мальная и минимальная группы составля­ют по 27% выборки.

При анализе Д. з. т. особое внимание следует уделить определению статис­тической значимости коэффициентов корреляции. В тех случаях, когда значе­ние коэффициента дискриминации приближается к нулю и уровень значимости невысок, проверяемый пункт теста дол­жен быть пересмотрен в связи с некоррек­тностью формулировки задания или вари­антов ответа на него.

ДИСКРИМИНАЦИИ ФОРМ ТЕСТ - тест специальных способностей. Пред­назначен для оценки дискриминативной перцепции геометрических образов, ка­честв внимания. Относится к невербаль­ным тестам. Разработан Й. Шванцарой в 1956 г. В значительной степени продол­жает линию ранних функциональных проб (см. Корректурная проба).

Материал теста состоит из 1250 гео­метрических фигур, размещенных на лис­те белой бумаги формата А4 по 50 в стро­ке. Типов фигур пять, однако размещены они по-разному (развернуты в стороны, вверх или вниз) в случайном порядке (рис. 24). Задача испытуемого — отыски­вать и вычеркивать указанную экспери­ментатором фигуру. Перед началом обсле­дования проводится тренировка. По ука­занию экспериментатора испытуемый от­мечает место на бланке, соответствующее количеству проделанной за истекшее вре­мя работы.

 

Рис. 24. Образцы геометрических фигур теста дискриминации форм

Автор рекомендует Д. ф. т. для обсле­дования лиц в возрасте 9-18 лет. При оценивании фиксируется: время выполне­ния всего задания; количество пропущен­ных знаков; количество неправильных зачеркиваний; количество исправлений. По­лученные данные (раздельно по скорости и точности решения) переводятся в шка­лу стэнов (см. Оценки шкальные). Наря­ду с возрастной дифференциацией, введе­ны раздельные нормы для мальчиков и де­вочек.

Надежность Д. ф. т. устанавливалась методом ретеста на трех различных по возрасту и полу выборках. Благодаря вы­раженному воздействию эффекта обуче­ния, при повторном обследовании коэффициенты надежности оказались мало­удовлетворительными (0,402-0,693). Ко­эффициенты корреляции между парамет­рами теста (скоростью и точностью) и успеваемостью в школе не достигают уровня статистической значимости. При сопоставлении Д. ф. т. со Станфорд— Бине шкалой умственного развития оказалось, что параметр скорости не име­ет связи с интеллектуальными показателями; обнаруживается связь на уровне r = 0,43-0,40 с критерием точности вы­полнения теста. Методика допускает как групповое, так и индивидуальное обследо­вание.

Д. ф. т. рекомендуется в исследова­ниях профессиональной пригодности, для оценки переносимости монотонной деятельности, в психофармакологичес­ких исследованиях, консультативной и клинической практике, при нарушениях внимания и др. (В. Черны, Т. Колларик, 1988).




Поделиться с друзьями:


Дата добавления: 2015-06-04; Просмотров: 3335; Нарушение авторских прав?; Мы поможем в написании вашей работы!


Нам важно ваше мнение! Был ли полезен опубликованный материал? Да | Нет



studopedia.su - Студопедия (2013 - 2025) год. Все материалы представленные на сайте исключительно с целью ознакомления читателями и не преследуют коммерческих целей или нарушение авторских прав! Последнее добавление




Генерация страницы за: 0.014 сек.