Студопедия

КАТЕГОРИИ:


Архитектура-(3434)Астрономия-(809)Биология-(7483)Биотехнологии-(1457)Военное дело-(14632)Высокие технологии-(1363)География-(913)Геология-(1438)Государство-(451)Демография-(1065)Дом-(47672)Журналистика и СМИ-(912)Изобретательство-(14524)Иностранные языки-(4268)Информатика-(17799)Искусство-(1338)История-(13644)Компьютеры-(11121)Косметика-(55)Кулинария-(373)Культура-(8427)Лингвистика-(374)Литература-(1642)Маркетинг-(23702)Математика-(16968)Машиностроение-(1700)Медицина-(12668)Менеджмент-(24684)Механика-(15423)Науковедение-(506)Образование-(11852)Охрана труда-(3308)Педагогика-(5571)Полиграфия-(1312)Политика-(7869)Право-(5454)Приборостроение-(1369)Программирование-(2801)Производство-(97182)Промышленность-(8706)Психология-(18388)Религия-(3217)Связь-(10668)Сельское хозяйство-(299)Социология-(6455)Спорт-(42831)Строительство-(4793)Торговля-(5050)Транспорт-(2929)Туризм-(1568)Физика-(3942)Философия-(17015)Финансы-(26596)Химия-(22929)Экология-(12095)Экономика-(9961)Электроника-(8441)Электротехника-(4623)Энергетика-(12629)Юриспруденция-(1492)Ядерная техника-(1748)

Влияние формы лопастей вентилятора на основные показатели его работы




 

Выразим зависимость между теоретическим напором НТ, расходом воздуха Q (м3/сек) от размеров и формы лопастей.

Для этой цели еще раз рассмотрим отдельные составляющие скоростей воздуха на лопасти.

Разложим скорость воздуха С на направление окружной u и касательной t скорости. Нетрудно убедиться, что

.

Рис. 5. Треугольник скоростей на входе и выходе с лопаток

 

В свою очередь расход воздуха Q зависит о сr:

так что

,

где b – ширина вентилятора.

Подставим cr в уравнение для ct и получим

.

Для входа и выхода это уравнение запишется:

,

а для выхода

.

Подставим значения c t1 и c t2 в уравнение Эйлера

(2)

Обратим внимание на тот факт, что зависимость НТ от Q носит вид прямой линии (рис. 6).

 

Найденная зависимость носит название теоретической характеристики вентилятора.

 

Если принять из треугольника скоростей (рис. 6)

,

,

а из условия неразрывности потока

,

то

. (3)

Величины и являются постоянными для одного и того же вентилятора.

Рис.6. Теоретическая характеристика вентилятора

 

При постоянном числе оборотов (u2 = const) напорная линия представляет собой прямую линию, которая в зависимости от коэффициента В будет параллельна оси абсцисс или наклонна к ней. В вентиляторах, применяемых в сельском хозяйстве, a1» 0…40°, а поэтому tg a1 всегда имеет положительное значение или же в частном случае равно нулю. Угол a2 колеблется в пределах от + 40 до -30°, а поэтому в зависимости от формы лопастей выражение tg a2 — tg a1 может быть положительным, равным нулю или отрицательным.

В зависимости от соотношения между углами a2 и a1 возможны три формы изменения напора от расхода.

Если В > 0,.что имеет место при tg a2>tg a1 то с увеличением расхода Q напор НТ будет уменьшаться. Напорная линия будет нисходящей прямой; чем больше угол a2, тем круче к оси Q располагается прямая.

Если В = 0, т. е. tg a2 = tg a1 то напор будет равен и не будет зависеть от расхода. Напорная линия будет прямой, параллельной оси абсцисс.

Если В < 0, т. е. tg a2 < tg a1, линия напора будет восходящей прямой

Для случая tg a2 tg a1 напорная линия будет пересекать ось абсцисс левее начала координат.

 

Действительная напорная линия. Действительная напорная линия получается, если учесть влияние конечного числа лопастей, гидравлические потери и потери на удар. Конечное число лопастей учитывается некоторым коэффициентом c, который можно считать постоянным при всех режимах работы одного и того же вентилятора, но разным для вентиляторов с другими числами лопастей, различными их формами и разной формой кожуха. Этот коэффициент, согласно опытным данным, меньше единицы, причем для вентиляторов с малым количеством лопастей он меньше, чем для вентиляторов с большим их числом. Уравнение теоретической напорной линии с учетом числа лопастей будет

.

В этом уравнении А' = Аc и В' = Вc.

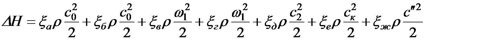
Гидравлические потери и потери на удар можно записать так:

,

где с0, w1, с2, ски с¢¢ — соответственно скорость входа в вентилятор,

относительная скорость при входе в колесо, абсолютная при выходе из колеса,

в кожухе и в выходном канале;

x а, x б, x в, x г, x д, x е, x ж — коэффициенты потерь соответственно во входном отверстии, при повороте потока, на удар при входе в колесо, при протекании потока между лопатками, на выходе из колеса, на трение в кожухе и при выходе потока к выходному сечению.

Уравнение действительной напорной линии, учитывающее влияние конечного числа лопастей, гидравлические потери и потери на удар, имеет следующий вид:

, (4)

где ; ; ;

;

mz — коэффициент, учитывающий перекрытие поверхности прохода

воздуха лопастями;

ms — коэффициент поджатия струи;

lе — приведенный коэффициент сопротивления, характеризующий потери, связанные с протеканием потока воздуха между лопастями.

 

а б в

Рис. 7. Действительные напорные линии в зависимости от формы лопастей

 

Таким образом, действительная напорная линия представляет параболу, раскрывающуюся книзу.

Коэффициент полезного действия. Коэффициент полезного действия вентилятора есть отношение мощности потока к полной мощности, расходуемой двигателем на валу вентилятора,

, (5)

где А*, В* и т — постоянные величины, зависящие от конструкции вентилятора.

Изменение КПД в зависимости от подачи воздуха может быть представлено графиком (рис. 8).

Рис. 8. Изменение КПД в зависимости от подачи

Максимальное значение КПД hmах, соответствующее оптимальной подаче Qonm, довольно низкое. Так, у промышленных вентиляторов общего назначения оно не превышает 0,6—0,7, а у вентиляторов сельскохозяйственных машин оно еще ниже и не превышает 0,5, что связано с особенностями их конструкции.




Поделиться с друзьями:


Дата добавления: 2015-06-04; Просмотров: 3379; Нарушение авторских прав?; Мы поможем в написании вашей работы!


Нам важно ваше мнение! Был ли полезен опубликованный материал? Да | Нет



studopedia.su - Студопедия (2013 - 2025) год. Все материалы представленные на сайте исключительно с целью ознакомления читателями и не преследуют коммерческих целей или нарушение авторских прав! Последнее добавление




Генерация страницы за: 0.009 сек.