Студопедия

КАТЕГОРИИ:


Архитектура-(3434)Астрономия-(809)Биология-(7483)Биотехнологии-(1457)Военное дело-(14632)Высокие технологии-(1363)География-(913)Геология-(1438)Государство-(451)Демография-(1065)Дом-(47672)Журналистика и СМИ-(912)Изобретательство-(14524)Иностранные языки-(4268)Информатика-(17799)Искусство-(1338)История-(13644)Компьютеры-(11121)Косметика-(55)Кулинария-(373)Культура-(8427)Лингвистика-(374)Литература-(1642)Маркетинг-(23702)Математика-(16968)Машиностроение-(1700)Медицина-(12668)Менеджмент-(24684)Механика-(15423)Науковедение-(506)Образование-(11852)Охрана труда-(3308)Педагогика-(5571)Полиграфия-(1312)Политика-(7869)Право-(5454)Приборостроение-(1369)Программирование-(2801)Производство-(97182)Промышленность-(8706)Психология-(18388)Религия-(3217)Связь-(10668)Сельское хозяйство-(299)Социология-(6455)Спорт-(42831)Строительство-(4793)Торговля-(5050)Транспорт-(2929)Туризм-(1568)Физика-(3942)Философия-(17015)Финансы-(26596)Химия-(22929)Экология-(12095)Экономика-(9961)Электроника-(8441)Электротехника-(4623)Энергетика-(12629)Юриспруденция-(1492)Ядерная техника-(1748)

Пример расчета основных параметров вентилятора методом подобия




Универсальные характеристики

Качественные характеристики. Качество потока в выходном канале характеризуется эпюрой скоростей с", в выходном канале, или графиком изменения скорости по сечению, или, наконец, графиком изменения средних относительных скоростей воздуха по ширине и высоте потока.

Рис. 12. Качественные характеристики вентилятора комбайна

 

Регулирование вентиляторов. В сельскохозяйственных вентиляторах регулирование работы осуществляется:

1. изменением числа оборотов лопастного колеса;

2. изменением размеров входных окон;

3. созданием добавочного сопротивления воздушному потоку с помощью регулируемых клапанов.

 

 

Допустим, что требуется определить параметры вентилятора зерноуборочного комбайна с пропускной способностью q = 6 кг/с, для которого необходимо обеспечить расход воздуха Q = 2м3/с, напор h = 478 Па.

Если для вентилятора-образца принять параметры комбайна с пропускной способность q = 3 кг/с, характеристика которого приведена на рис.

Для этого вентилятора параметры равны Qокт = 1 м3/с; h = 239 Па; d = 0,57 м; b = 1 м; n = 725 мин-1; N = 0,49 кВт.

Требуется определить соответствующие значения параметров проектируемого вентилятора Qx; hx; dx; bx; nx и Nx.

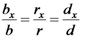
Если учесть, что у подобных вентиляторов все линейные размеры пропорциональны, то

,

то первое из соотношений (21) можно представить в виде

, откуда . (22)

Из второго соотношения (21) следует

, (23)

поскольку , так как .

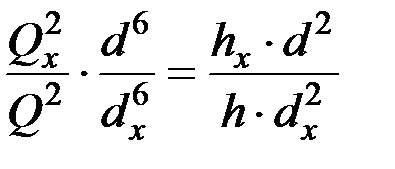
Если соотношение (22) возвести в квадрат и приравнять к правой части уравнения (23), то можно получить

, (24)

или после сокращений

, откуда

м.

Зная d и dx можно определить коэффициент геометрического подобия

и затем все размеры проектируемого вентилятора, в частности

м.

Число оборотов крылача можно найти по уравнению (22)

мин-1.

Потребляемая мощность по третьему соотношению (21) для серии подобных вентиляторов

кВт.

 

Литература

 

1. Б.Г. Турбин и др. Сельскохозяйственные машины. Л.: Машгиз. 1967.

2. Б.Г. Турбин. Вентиляторы сельскохозяйственных машин. Л.: Машиностроение. 1968.

3. Т.С. Соломахова. Центробежные вентиляторы, аэродинамические схемы и характеристики. М.: Машиностроение. 1980.

4. Н.П. Сычугов. Повышение эффективности функционирования семяочистительных машин путем совершенствования рабочих органов пневмосистем. Киров, Вятская ГСХА, 2006.


 




Поделиться с друзьями:


Дата добавления: 2015-06-04; Просмотров: 758; Нарушение авторских прав?; Мы поможем в написании вашей работы!


Нам важно ваше мнение! Был ли полезен опубликованный материал? Да | Нет



studopedia.su - Студопедия (2013 - 2025) год. Все материалы представленные на сайте исключительно с целью ознакомления читателями и не преследуют коммерческих целей или нарушение авторских прав! Последнее добавление




Генерация страницы за: 0.01 сек.