Студопедия

КАТЕГОРИИ:


Архитектура-(3434)Астрономия-(809)Биология-(7483)Биотехнологии-(1457)Военное дело-(14632)Высокие технологии-(1363)География-(913)Геология-(1438)Государство-(451)Демография-(1065)Дом-(47672)Журналистика и СМИ-(912)Изобретательство-(14524)Иностранные языки-(4268)Информатика-(17799)Искусство-(1338)История-(13644)Компьютеры-(11121)Косметика-(55)Кулинария-(373)Культура-(8427)Лингвистика-(374)Литература-(1642)Маркетинг-(23702)Математика-(16968)Машиностроение-(1700)Медицина-(12668)Менеджмент-(24684)Механика-(15423)Науковедение-(506)Образование-(11852)Охрана труда-(3308)Педагогика-(5571)Полиграфия-(1312)Политика-(7869)Право-(5454)Приборостроение-(1369)Программирование-(2801)Производство-(97182)Промышленность-(8706)Психология-(18388)Религия-(3217)Связь-(10668)Сельское хозяйство-(299)Социология-(6455)Спорт-(42831)Строительство-(4793)Торговля-(5050)Транспорт-(2929)Туризм-(1568)Физика-(3942)Философия-(17015)Финансы-(26596)Химия-(22929)Экология-(12095)Экономика-(9961)Электроника-(8441)Электротехника-(4623)Энергетика-(12629)Юриспруденция-(1492)Ядерная техника-(1748)

Основные соотношения вентиляторов




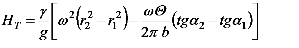
Величина теоретического напора НТ по уравнению Эйлера, несколько ранее получила такую зависимость (2)

.

Если внести в уравнение значение

,

и разделить обе части уравнения на n2.

то можно получить

. (6)

Расход Q зависит от скорости воздуха Q = c × F, где F – площадь выходного окна вентилятора.

В свою очередь скорость воздуха с вых. канала зависит от давления НТ

.

Тогда подставив в (6) получим

,

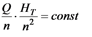
но это квадратное уравнение относительно , а его корень определяется значениями постоянных коэффициентов.

Значит - const для данного вентилятора. (7)

Поскольку , то

. (8)

Иными словами: расход воздуха Q пропорционален числу оборотов для всякого вентилятора.

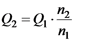
Если вентилятор подает Q 1 м3/сек при п 1 мин-1, то расход при п 2 мин-1 составит

; . (9)

Это 1-ое важное соотношение для вентилятора.

В соответствии с уравнением (7) = cons.,

значит

(10)

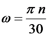
или принимая во внимание, что

. (11)

Это 2-ое важное соотношение.

Иными словами, давление (напор) на выходе вентилятора пропорционален квадрату оборотов крылача

; . (12)

Так как , то

, то есть . (13)

Это 3-е важное соотношение вентилятора.

 

Отсюда расход энергии пропорционален кубу оборотов

; . (14)

 




Поделиться с друзьями:


Дата добавления: 2015-06-04; Просмотров: 963; Нарушение авторских прав?; Мы поможем в написании вашей работы!


Нам важно ваше мнение! Был ли полезен опубликованный материал? Да | Нет



studopedia.su - Студопедия (2013 - 2025) год. Все материалы представленные на сайте исключительно с целью ознакомления читателями и не преследуют коммерческих целей или нарушение авторских прав! Последнее добавление




Генерация страницы за: 0.008 сек.