Студопедия

КАТЕГОРИИ:


Архитектура-(3434)Астрономия-(809)Биология-(7483)Биотехнологии-(1457)Военное дело-(14632)Высокие технологии-(1363)География-(913)Геология-(1438)Государство-(451)Демография-(1065)Дом-(47672)Журналистика и СМИ-(912)Изобретательство-(14524)Иностранные языки-(4268)Информатика-(17799)Искусство-(1338)История-(13644)Компьютеры-(11121)Косметика-(55)Кулинария-(373)Культура-(8427)Лингвистика-(374)Литература-(1642)Маркетинг-(23702)Математика-(16968)Машиностроение-(1700)Медицина-(12668)Менеджмент-(24684)Механика-(15423)Науковедение-(506)Образование-(11852)Охрана труда-(3308)Педагогика-(5571)Полиграфия-(1312)Политика-(7869)Право-(5454)Приборостроение-(1369)Программирование-(2801)Производство-(97182)Промышленность-(8706)Психология-(18388)Религия-(3217)Связь-(10668)Сельское хозяйство-(299)Социология-(6455)Спорт-(42831)Строительство-(4793)Торговля-(5050)Транспорт-(2929)Туризм-(1568)Физика-(3942)Философия-(17015)Финансы-(26596)Химия-(22929)Экология-(12095)Экономика-(9961)Электроника-(8441)Электротехника-(4623)Энергетика-(12629)Юриспруденция-(1492)Ядерная техника-(1748)

Повороты вокруг оси х




Вы, пожалуй, подумаете: «Это становится смешным. Чему же нас теперь будут учить— поворотам на 47° вокруг оси у, потом на 33° вокруг x? Долго ли это будет продолжаться?» Нет, оказы­вается, я почти все рассказал. Зная только два преобразова­ния — на 90° вокруг оси у и на произвольный угол вокруг оси z (как вы помните, именно с этого мы начали),— мы уже способны производить любые повороты.

Для иллюстрации предположим, что нас интересует пово­рот на угол а вокруг оси х. Мы знаем, как быть с поворотом на угол а вокруг оси z, но нам нужен поворот вокруг оси х. Как его определить? Сперва повернем ось z вниз до оси х, а это есть поворот на +90° вокруг оси у (фиг. 4.8).

Фиг. 4.8. Поворот на угол a вокруг оси х равнозначен повороту на +90° вокруг оси у (а), за которым следует поворот ни а вокруг оси z' (б), вслед за которым про­исходит поворот на -90° вокруг оси. у" (в).

 

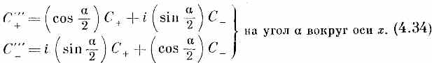
Затем во­круг оси z' повернемся на угол a. А потом повернемся на -90° вокpуг оси у".

Итог этих трех поворотов тот же самый, что при повороте вокруг оси х на угол a. Таково свойство пространства. (Все эти сочетания поворотов их результат очень трудно себе представить. Не правда ли, странно, что, живя в трех измерениях, мы все же с трудом воспринимаем, что произойдет, если сперва повернуться так, а потом еще как-нибудь. Вероятно, если бы мы были птицами или рыбами и если а мы на собственном опыте знали, что бывает, когда все время крутишь разные сальто в пространстве, нам было бы легче воспринимать подобные вещи.) Во всяком случае, давайте выведем преобразование для поворота на угол а вокруг оси х, пользуясь тем, что нам уже известно. При первом повороте на +90 ° вокруг оси у амплитуды следуют закону (4.32). Если повернутые оси обозначить х', y' и z', то последующий поворот на угол а вокруг оси z переводит нас в систему отсчета х". у", z", для которой

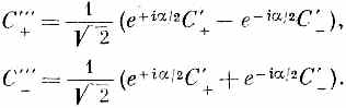
Последний поворот на -90° вокруг оси у" переводит нас в систему х'", у'", z'"; из(4.33) следует

Сочетая эти два последних преобразования, получаем

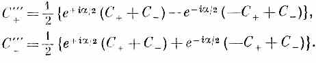
Подставляя сюда вместо С'+ и С'- (4.32), придем к полному преобразованию

А если вспомнить, что

то эти формулы можно записать проще:

Это и есть наше искомое преобразование для поворота вокруг оси х на любой угол a. Оно лишь чуть посложнее остальных,




Поделиться с друзьями:


Дата добавления: 2015-06-04; Просмотров: 502; Нарушение авторских прав?; Мы поможем в написании вашей работы!


Нам важно ваше мнение! Был ли полезен опубликованный материал? Да | Нет



studopedia.su - Студопедия (2013 - 2026) год. Все материалы представленные на сайте исключительно с целью ознакомления читателями и не преследуют коммерческих целей или нарушение авторских прав! Последнее добавление




Генерация страницы за: 0.008 сек.