Студопедия

КАТЕГОРИИ:


Архитектура-(3434)Астрономия-(809)Биология-(7483)Биотехнологии-(1457)Военное дело-(14632)Высокие технологии-(1363)География-(913)Геология-(1438)Государство-(451)Демография-(1065)Дом-(47672)Журналистика и СМИ-(912)Изобретательство-(14524)Иностранные языки-(4268)Информатика-(17799)Искусство-(1338)История-(13644)Компьютеры-(11121)Косметика-(55)Кулинария-(373)Культура-(8427)Лингвистика-(374)Литература-(1642)Маркетинг-(23702)Математика-(16968)Машиностроение-(1700)Медицина-(12668)Менеджмент-(24684)Механика-(15423)Науковедение-(506)Образование-(11852)Охрана труда-(3308)Педагогика-(5571)Полиграфия-(1312)Политика-(7869)Право-(5454)Приборостроение-(1369)Программирование-(2801)Производство-(97182)Промышленность-(8706)Психология-(18388)Религия-(3217)Связь-(10668)Сельское хозяйство-(299)Социология-(6455)Спорт-(42831)Строительство-(4793)Торговля-(5050)Транспорт-(2929)Туризм-(1568)Физика-(3942)Философия-(17015)Финансы-(26596)Химия-(22929)Экология-(12095)Экономика-(9961)Электроника-(8441)Электротехника-(4623)Энергетика-(12629)Юриспруденция-(1492)Ядерная техника-(1748)

Расчет статически неопределимых балок




Вопросы для самопроверки

1. Что такое рама? Какие существуют разновидности рамных конструкций?

2. Какие внутренние силовые факторы возникают в сечениях плоских рам при изгибе?

3. Каковы особенности правила знаков для изгибающего момента при построении эпюр для рам?

4. Что такое узел рамы? Какие бывают разновидности узлов?

5. В чем состоит проверка равновесия узлов рамы? Как определяются направления внутренних силовых факторов при проверке равновесия узлов?

 

 

Под статически неопределимой системой имеется в виду такая кинематически неизменяемая система, для которой определение внешних реакций и внутренних силовых факторов не может быть произведено при помощи метода сечений и уравнений равновесия.

Разность между числом неизвестных (реакций опор и внутренних силовых факторов) и числом независимых уравнений статики, которые могут быть составлены для рассматриваемой системы, носит название степени или числа статической неопределимости. В зависимости от этого числа системы разделяются на один, два, три…, n раз статически неопределимые. Иногда говорят, что степень статической неопределимости равна числу дополнительных связей, наложенных на систему [1–11].

Положение жесткого бруса в пространстве определяется шестью независимыми координатами, иначе говоря, жесткий брус обладает шестью степенями свободы. На брус могут быть наложены связи, т. е. ограничения, обусловливающие его определенное положение в пространстве. Наиболее простыми связями являются такие, при которых полностью исключается то или иное обобщенное перемещение для некоторых сечений бруса. Наложение одной связи снимает одну степень свободы с бруса как с жесткого целого. Следовательно, если на свободный жесткий брус наложено шесть связей, то положение его в пространстве как жесткого целого будет, за некоторыми исключениями, определено полностью и система из механизма, обладающего шестью степенями свободы, превращается в кинематически неизменяемую систему. То число связей, при котором достигается кинематическая неизменяемость, носит название необходимого числа связей. Всякую связь, наложенную сверх необходимых, называют дополнительной. Число дополнительных связей равно степени статической неопределимости системы.

В разделах 3 и 4 рассмотрены статически определимые системы, у которых опорные реакции определялись из условий равновесия. Очень часто, по условиям работы конструкции, оказывается необходимым увеличить число опорных закреплений, тогда мы получаем так называемую статически неопределимую систему. Примеры статически неопределимых балок приведены на рис. 5.1.

 

Рис.5.1. Схемы статически неопределимых балок

 

Например, для уменьшения пролета балки АВ на двух опорах (рис. 5.1, а) можно поставить опору еще посередине, а для уменьшения деформаций балки, защемленной одним концом (рис. 5.1, б), можно подпереть ее свободный конец.

Для подбора сечения таких балок, так же как и в рассмотренных ранее задачах, необходимо построить обычным порядком эпюры изгибающих моментов и поперечных сил, а стало быть, определить опорные реакции.

Во всех подобных случаях число опорных реакций, которые могут возникнуть, превышает число уравнений статики, например, для балок, изображенных на рис. 5.2, это соответственно четыре, четыре и пять опорных реакций.

Рис. 5.2. Механизм появления дополнительных связей

 

Поэтому необходимо составить дополнительные уравнения, выражающие условия совместности деформаций, которые вместе с обычными уравнениями равновесия и дадут возможность определить все опорные реакции. Совместное решение уравнений статики и уравнений совместности деформаций позволяет определить все опорные реакции, т.е. раскрыть статическую неопределимость заданной системы.

Для лучшего понимания методики раскрытия статической неопределимости рассмотрим простой пример. Определим опорные реакции и построим эпюру моментов для балки, находящейся под действием равномерно распределенной нагрузки q (рис. 5.3). Сначала изобразим все реакции, которые по устройству опор могут возникнуть в этой балке. Таких реакций может быть на опоре А три: вертикальная R А, горизонтальная и опорный момент , на опоре В возможно появление лишь одной реакции RВ. Таким образом, число опорных реакций на одну больше, чем уравнений статики.

Одна из реакций является добавочной, как говорят, «лишней» неизвестной. Этот термин прочно укоренился в технической литературе, между тем принять его можно лишь условно.

Рис. 5.3. Исходная расчетная схема статически неопределимой балки

 

Действительно, добавочная реакция и соответствующее ей добавочное опорное закрепление являются «лишними» только с точки зрения необходимости этих закреплений для равновесия балки как жесткого целого. С точки же зрения инженера, добавленное закрепление во многих случаях не только не является лишним, а наоборот, позволяет осуществить такую конструкцию, которая без него была бы невозможна. Поэтому мы будем пользоваться термином «лишняя опорная реакция», «лишняя неизвестная» лишь условно.

Составим все уравнения статики для нашей балки, приравнивая к нулю сумму проекций всех сил на направление оси балки, на перпендикуляр к ней, и сумму моментов относительно точки А. Получим систему:

,

.

Из первого уравнения сразу определяется опорная реакция . Для определения трех других остаются лишь два уравнения.

За лишнюю реакцию можно взять любую из этих трех: попробуем взять реакцию опоры В. В таком случае мы должны считать, что рассматриваемая балка получилась из статически определимой балки АВ, защемленной концом А, у которой потом поставили добавочную опору в точке В. Эта статически определимая балка, которая получается из статически неопределимой при удалении добавочного, лишнего опорного закрепления, называется основной системой. Выбрав какую-либо из реакций за лишнюю неизвестную, мы тем самым выбираем основную систему.

Попробуем теперь превратить основную систему без опоры В в систему, полностью совпадающую с заданной статически неопределимой балкой (рис. 5.3).

 

Рис. 5.4. Эквивалентная система

 

Для этого загрузим ее сплошной нагрузкой q и в точке В приложим лишнюю реакцию В (рис. 5.4).

Однако этого мало: в балке, представленной на рис. 5.4, точка В может перемещаться по вертикали под действием нагрузок q и В; между тем в нашей статически неопределимой балке точка В не имеет этой возможности, она должна совпадать с опорным шарниром. Поэтому, чтобы привести к окончательному совпадению, надо к последней добавить условие, что прогиб точки В основной системы под действием нагрузок q и RВ равен нулю:

.

Это и будет добавочное уравнение, определяющее реакцию RВ; оно является условием совместности деформаций в рассматриваемом случае: конец В балки не отрывается от опоры.

Решение этого добавочного уравнения возможно несколькими способами.

Способ сравнения деформаций. Выполняя решение уравнения , названного уравнением совместности деформаций, можно рассуждать следующим образом.

Прогиб точки В основной системы под действием нагрузок q и RВ складывается из двух прогибов: одного , вызванного лишь нагрузкой q, и другого , вызванного реакцией RВ. Таким образом,

. (5.1)

Остается вычислить эти прогибы. Для этого загрузим основную систему одной нагрузкой q (рис. 5.5, а).

Рис.5.5. Расчет прогиба: а) от исходной нагрузки; б) от реакции RВ

 

Тогда прогиб точки В от действия нагрузки q будет равен [1–7]:

.

При нагружении основной системы реакцией RВ (рис. 5.5, б) имеем:

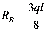
Подставляя эти значения прогибов в уравнение (5.1), получаем:

,

откуда .

Таким образом, статическая неопределимость балки раскрыта.

В этом способе мы сначала даем возможность основной системе деформироваться под действием внешней нагрузки q, а затем подбираем такую силу RВ, которая бы вернула точку В обратно. Таким образом, мы подбираем величину неизвестной дополнительной реакции В с тем расчетом, чтобы уравнять прогибы от нагрузки q и силы RВ. Этот способ и называют способом сравнения деформаций.

Подставляя значение лишней реакции RВ в уравнения статики, получаем:

, .

 

Рис. 5.6. Эпюры поперечных сил и внутренних
изгибающих моментов

 

Выражение изгибающего момента получаем, рассматривая правую часть балки и подставляя значение RВ:

.

Поперечная сила Q выражается формулой

.

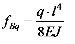
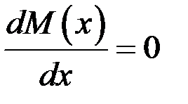
Эпюры моментов и поперечных сил изображены на рис. 5.7, 5.8. Сечение с наибольшим положительным моментом соответствует абсциссе , определяемой равенством:

, т.е. ,

откуда .

Соответствующая ордината эпюры моментов, равна:

.

Метод сил. Вводя обозначение , уравнение (5.1) можно записать в виде:

, (5.2)

где – перемещение сечения В, вызванное действием единичной силы, – перемещение сечения В, вызванное действием заданной нагрузки.

Прогибы балки от действия заданной нагрузки и «лишней» неизвестной могут быть найдены путем перемножения эпюр изгибающих моментов от действия единичной и заданной нагрузки методом Мора–Верещагина [1–11].

Для многократно статически неопределимой системы составляется необходимое количество уравнений вида (5.2), равное степени статической неопределимости системы:

, (5.3)

где i – индекс «лишней» неизвестной;

j – индекс единичного состояния системы [1–11].

Т.к. неизвестными в системе уравнений (5.3) служат опорные реакции (т.е. силы), то данный метод получил название метода сил.

В данном разделе рассмотрен пример расчета дважды статически неопределимой балки методом сил.

 

ЗАДАЧА 5

Необходимо раскрыть статическую неопределимость балки; построить эпюры изгибающих моментов и поперечных сил.

Дано: расчетная схема приведена на рис. 5.7, а, где

кН·м, кН, м

Решение




Поделиться с друзьями:


Дата добавления: 2015-06-30; Просмотров: 1339; Нарушение авторских прав?; Мы поможем в написании вашей работы!


Нам важно ваше мнение! Был ли полезен опубликованный материал? Да | Нет



studopedia.su - Студопедия (2013 - 2026) год. Все материалы представленные на сайте исключительно с целью ознакомления читателями и не преследуют коммерческих целей или нарушение авторских прав! Последнее добавление




Генерация страницы за: 0.013 сек.