Студопедия

КАТЕГОРИИ:


Архитектура-(3434)Астрономия-(809)Биология-(7483)Биотехнологии-(1457)Военное дело-(14632)Высокие технологии-(1363)География-(913)Геология-(1438)Государство-(451)Демография-(1065)Дом-(47672)Журналистика и СМИ-(912)Изобретательство-(14524)Иностранные языки-(4268)Информатика-(17799)Искусство-(1338)История-(13644)Компьютеры-(11121)Косметика-(55)Кулинария-(373)Культура-(8427)Лингвистика-(374)Литература-(1642)Маркетинг-(23702)Математика-(16968)Машиностроение-(1700)Медицина-(12668)Менеджмент-(24684)Механика-(15423)Науковедение-(506)Образование-(11852)Охрана труда-(3308)Педагогика-(5571)Полиграфия-(1312)Политика-(7869)Право-(5454)Приборостроение-(1369)Программирование-(2801)Производство-(97182)Промышленность-(8706)Психология-(18388)Религия-(3217)Связь-(10668)Сельское хозяйство-(299)Социология-(6455)Спорт-(42831)Строительство-(4793)Торговля-(5050)Транспорт-(2929)Туризм-(1568)Физика-(3942)Философия-(17015)Финансы-(26596)Химия-(22929)Экология-(12095)Экономика-(9961)Электроника-(8441)Электротехника-(4623)Энергетика-(12629)Юриспруденция-(1492)Ядерная техника-(1748)

Москва 2009 2 страница




а) б) в)

 

Рис. 2.2. Проецирующие прямые на комплексном чертеже: а) горизонтально-проецирующая прямая; б) фронтально-проецирующая прямая; в) профильно–проецирующая прямая.

 

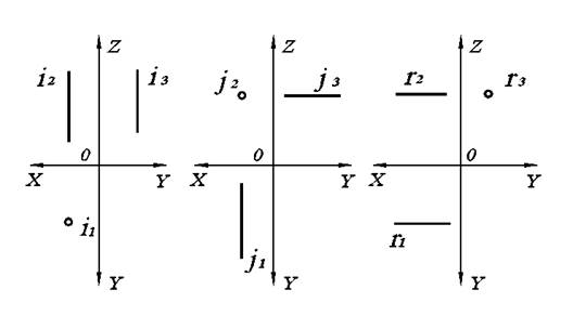
2.1.3. Прямая общего положения

 

Прямой общего положения называется прямая, занимающая общее положение в пространстве, т.е. не параллельная ни к одной из плоскостей проекций, а следовательно, расположенная к каждой из них под углом.

Рис. 2.3. Прямая общего положения на комплексном чертеже.

Естественно, что ни одна из проекций прямой общего положения не показывает ее натуральную величину, а также угол наклона к одной из плоскостей проекций (рис. 2.3). Любая проекция такой прямой меньше самой прямой. Таким образом, для прямой общего положения верно утверждение: натуральная величина больше или равна любой ее проекции.

 

2.2. Деление отрезка прямой в заданном отношении

 

При делении отрезка прямой в заданном отношении используется теорема о подобии треугольников, известная из курса элементарной геометрии. Так, если необходимо отрезок АВ разделить в отношении 2:3, тогда и его проекции будут разделены в том же отношении. Для этого на одной из проекций (например, горизонтальной) из любой граничной точки (например, В) отрезка проведем прямую линию d в произвольном направлении (рис. 2.4).

Рис. 2.4. Деление отрезка в заданном отношении.

 

Затем отложим на ней 5 равных отрезков, после чего соединим полученную точку В* с точкой А1. Далее через вторую засечку на линии d проведем прямую, параллельную А1В*. На отрезке А 1 В 1 получим точку С 1, которая делит его в заданном отношении, т.е. В 1 С 1: А 1 С 1=2: 3.Проведя соответствующие линии проекционной связи, получим проекции точки деления на проекциях А 2 В 2 и А 3 В 3. Таким образом, разделив проекции отрезка в заданном отношении, мы тем самым решили задачу деления самого отрезка.

 

2.3. Определение натуральной величины отрезка прямой и углов наклона его к плоскостям проекций методом прямоугольного треугольника

 

Одним из методов определения натуральной величины отрезка прямой является метод прямоугольного треугольника, который можно сформулировать так: натуральной величиной отрезка является гипотенуза прямоугольного треугольника, одним из катетов которого служит горизонтальная (фронтальная) проекция отрезка, другим – разность расстояний от граничных точек фронтальной (горизонтальной) проекции отрезка до оси ОХ. При этом углом наклона отрезка к горизонтальной (фронтальной) плоскости проекции является угол между гипотенузой прямоугольного треугольника и горизонтальной (фронтальной) проекцией отрезка.

В соответствии с этим построения необходимо выполнять в следующей последовательности. Пусть дан отрезок СD, расположенный в первой четверти. Тогда из любой точки (например, D 1) отрезка С 1 D 1 проведем перпендикуляр к нему (рис. 2.5.).

Рис. 2.5. Определение натуральной величины отрезка прямой способом прямоугольного треугольника.

На нем, отложив отрезок длиной Dz, получим точку D*. После соединения точек D* и С 1 получаем прямоугольный треугольник С 1 D 1 D *, в котором С 1 D * - натуральная величина отрезка СD, a - угол наклона отрезка СD к плоскости П 1. Для определения угла наклона к плоскости П 2 проведем аналогичные построения на фронтальной проекции. Здесь С*D 2 – натуральная величина СD, b - угол наклона СD к плоскости П 2.

 

2.4. Взаимное положение прямых в пространстве. Конкурирующие точки. Видимость

 

Прямые в пространстве могут занимать по отношению друг к другу одно из трех положений: а) быть параллельными; б) пересекаться; в) скрещиваться, т.е. не пересекаться, но и не быть параллельными. Рассмотрим на рис. 2.6 как при этом располагаются их проекции. Поскольку профильные проекции прямых можно построить по двум имеющимся, то на рис. 2.6 ограничимся двухкартинным комплексным чертежом.

В соответствии с одним из свойств ортогонального проецирования, если прямые параллельны, то их одноименные проекции параллельны (рис. 2.6, а). Если прямые пересекаются, то их проекции пересекаются, причем точки пересечения проекций лежат на одной линии проекционной связи (А – точка пересечения прямых с и d). Если прямые скрещиваются, то их проекции пересекаются, но точки пересечения проекций не лежат на одной линии проекционной связи (на рис. 2.6, в см. точки С 1 и В 2) не лежат на одной линии проекционной связи. Тогда, следуя по вертикальной линии связи от точки С 1, получим на каждой из прямых n 2 и m 2 соответственно две проекции: точки С 2 и другой точки D 2, а следовательно, на пересечении n 1 и m 1 лежат две точки С 1 и D 1, слившиеся в одну.

 

Рис. 2.6. Двухкартинный комплексный чертеж прямых, занимающих по отношению друг к другу следующее положение: а) а êêb; б) с Ç d; в) n ¸ m

 

Точки, лежащие на одном проецирующем луче, называются конкурирующими. Такие точки могут быть только на скрещивающихся прямых, что очевидно из их пространственного положения. Точки, горизонтальные проекции которых совпадают, называются горизонтально–конкурирующими (на рис. 2.6, в см. точки C и D), а если совпадают фронтальные проекции, то точки называются фронтально-конкурирующими (на рис. 2.6, в точки В и Е).

При этом конкурирующие точки расположены на разном расстоянии от плоскостей проекций. Фронтально-конкурирующая точка, расположенная ближе к П 2, будет закрыта от наблюдателя точкой, расположенной дальше от П 2, а следовательно, ближе к наблюдателю. Значит, ее горизонтальная проекция расположена дальше от ОХ. Тогда в нашем примере точка Е – видимая, а точка В – невидимая. Аналогично С – видимая, а D – невидимая. Таким образом, видимой является точка, у которой проекция расположена дальше от оси ОХ. Чтобы различать точки на чертеже, невидимую заключают в круглые скобки.

Вопросы для самоконтроля:

 

1. Что называется прямой общего положения?

2. Какая прямая называется прямой уровня?

3. Какая прямая называется проецирующей прямой?

4. Какое положение прямые могут занимать в пространстве по отношению друг к другу?

5. Как определить натуральную величину отрезка прямой по ее комплексному чертежу?

 

Тестовые задания

 

1. Фронтальная прямая уровня параллельна:

а) П2;

б) П3;

в) П1.

 

2. Прямая общего положения по отношению к плоскостям проекций занимает следующее положение:

а) параллельна одной из плоскостей проекций;

б) перпендикулярна одной из плоскостей проекций;

в) не параллельно ни одной из плоскостей проекций.

 

3. Если прямые в пространстве параллельны:

а) их проекции пересекаются;

б) их проекции параллельны;

в) их проекции имеют общую точу.

 

4. Горизонтально-проецирующая прямая перпендикулярна:

а) П2;

б) П3;

в) П1.

 

5. Фронтальный след прямой это:

а) точка пересечения прямой с горизонтальной плоскостью проекций;

б) точка пересечения прямой с фронтальной плоскостью проекций;

в) точка пересечения проекций прямой.

Глава 3. Плоскость

Плоскость является простейшей поверхностью, которую можно представить как веер линий, полученных при движении прямой (образующей), закрепленной в некоторой точке, по другой прямой (направляющей). В дальнейшем мы увидим, что и образующая, и направляющая могут быть непрямыми линиями.

Несмотря на то, что плоскость является самой простой из всех поверхностей, ее описание выделено в отдельную главу, так как в технике она составляет большую часть всех используемых поверхностей.

 

3.1. Способы задания плоскости на чертеже

 

Положение плоскости в пространстве может быть однозначно определено одним из хорошо известных в геометрии элементов. В соответствии с этим плоскость может быть задана одним из шести способов:

а) тремя точками, не лежащими на одной прямой;

б) прямой и точкой, не лежащей на этой прямой;

в) двумя параллельными прямыми;

г) двумя пересекающимися прямыми;

д) плоской фигурой;

е) следами.

Тогда на чертеже (рис. 3.1) соответствующие геометрические объекты (точки, прямые) выглядят в виде проекций.

Рис. 3.1. Безосный двухкартинный комплексный чертеж геометрических объектов, задающих плоскость.

 

3.2. Плоскости частного и общего положения

 

Плоскостью частного положения называется плоскость, занимающая частное положение в пространстве, т.е. параллельная или перпендикулярная одной из плоскостей проекций.

 

3.2.1. Плоскости уровня

 

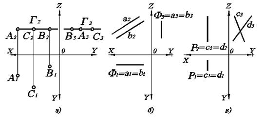
Плоскостью уровня называется плоскость, параллельная одной из плоскостей проекций, а следовательно, перпендикулярная двум другим. Тогда проекциями плоскости уровня будут прямые, параллельные соответствующим осям (рис. 3.2), вне зависимости от того, чем задана плоскость. От способа задания плоскости зависит лишь ее проекция на ту плоскость проекций, которой заданная плоскость параллельна.

Плоскость, параллельная П 1, называется горизонтальной плоскостью уровня (Г). На рис. 3.2, а она задана тремя точками.

Плоскость, параллельная П 2, называется фронтальной плоскостью уровня (Ф). Зададим ее параллельными прямыми (рис. 3.2, б). Причем, очевидно, расстояние от Ф 1 до ОХ равно расстоянию от Ф3 до ОZ.

Плоскость, параллельная П 3, называется профильной плоскостью уровня (Р). Считаем ее заданной пересекающимися прямыми (рис. 3.2, в).

 

 

Рис. 3.2. Плоскости уровня на комплексном чертеже.

 

3.2.2. Проецирующие плоскости

 

Проецирующей называется плоскость, перпендикулярная одной из плоскостей проекций. Исходя из определения, такая плоскость вырождается в прямую при проецировании на ту плоскость проекций, к которой она перпендикулярна.

Горизонтально-проецирующей называется плоскость, перпендикулярная П 1, фронтально-проецирующей – перпендикулярная П 2, и профильно-проецирующей – плоскость, перпендикулярная П 3. На чертеже, первая из них задана плоской фигурой (рис. 3.3, а), вторая – точкой и прямой (рис. 3.3, б), третья - двумя параллельными прямыми (рис. 3.3, в).

Рис. 3.3. Проецирующие плоскости на комплексном чертеже.

 

3.2.3.Плоскости общего положения

 

Плоскостью общего положения называется плоскость, не перпендикулярная и не параллельная ни одной из плоскостей проекций, а значит, расположенная под произвольным углом к каждой из них.

У такой плоскости все проекции будут плоские фигуры. Например, если плоскость общего положения задана плоской фигурой (треугольником), то все три проекции ее будут треугольниками (рис. 3.4).

Рис. 3.4. Плоскость общего положения, заданная треугольником

 

3.3. Принадлежность точки и прямой плоскости

 

Признаки принадлежности хорошо известны из курса планиметрии. Наша задача рассмотреть их применительно к проекциям геометрических объектов.

Точка принадлежит плоскости, если она принадлежит прямой, лежащей в этой плоскости. Принадлежность прямой плоскости определяется по одному из двух признаков:

а) прямая проходит через две точки, лежащие в этой плоскости;

б) прямая проходит через точку и параллельна прямой, лежащим в этой плоскости.

 

3.4. Главные линии плоскости

 

Главными линиями плоскости называются линии уровня, лежащие в данной плоскости. Эти линии (прямые) играют существенную роль при решении ряда задач начертательной геометрии.

Рассмотрим построение главных линий плоскости, заданной треугольником (рис. 3.5).

Горизонталь плоскости DАВС начинаем с вычерчивания ее фронтальной проекции h 2, которая, как известно, параллельна оси ОХ. Поскольку эта горизонталь принадлежит данной плоскости, то она проходит через две точки плоскости DАВС, а именно, точки А и 1. Имея их фронтальные проекции А 2 и 12, по линии связи получим горизонтальные проекции (А 1 уже есть) 11. Соединив точки А 1 и 11, имеем горизонтальную проекцию h 1 горизонтали плоскости DАВС. Профильная проекция h 3 горизонтали плоскости DАВС будет параллельна оси ОХ по определению.

Рис. 3.5. Построение главных линий плоскости, заданной треугольником

Фронталь плоскости DАВС строится аналогично (рис. 3.5) с той лишь разницей, что ее вычерчивание начинается с горизонтальной проекции f 1, так как известно, что она параллельна оси ОХ. Профильная проекция f 3 фронтали должна быть параллельна оси ОZ и пройти через проекции С 3, 23 тех же точек С и 2.

Профильная линия плоскости DАВС имеет горизонтальную р 1 и фронтальную р 2 проекции, параллельные осям OY и OZ, а профильную проекцию р 3 можно получить по фронтальной, используя точки пересечения В и 3 с D АВС.

При построении главных линий плоскости необходимо помнить лишь одно правило: для решения задачи всегда нужно получить две точки пересечения с данной плоскостью.

 

 

3.5. Взаимное положение прямых и плоскостей

 

3.5.1. Параллельность прямых и плоскостей

 

а). Если прямые параллельны друг другу, тогда параллельны и их одноименные проекции. Это свойство достаточно очевидно и в пояснениях не нуждается.б). Прямая параллельна плоскости, если она параллельна какой - либо прямой, лежащей в этой плоскости.

Рис. 3.6. Построение параллельно расположенных геометрических объектов.

 

Тогда для построения параллельной прямой а (рис. 3.6, а) необходимо, чтобы обе ее проекции были параллельны одноименным проекциям прямой (например, АВ), лежащей в данной плоскости. В соответствии с рис. 3.6, а прямая а параллельна плоскости Н, заданной двумя пересекающимися прямыми АВ и ВС.

в) Плоскости параллельны друг другу, если две пересекающиеся прямые одной плоскости попарно параллельны двум пересекающимся прямым другой плоскости. Для интерпретации этого свойства достаточно дополнить построения на рис. 3.6, а еще одной прямой в, пересекающей а и параллельной ВС (рис. 3.6, б).

3.5.2. Перпендикулярность прямых и плоскостей

 

Вопрос перпендикулярности геометрических объектов начинаем с рассмотрения перпендикулярности прямой и плоскости, так как остальные сочетания зависят от этого признака.

а). Прямая перпендикулярна к плоскости, если она перпендикулярна к двум пересекающимся прямым, лежащим в этой плоскости, одна из которых фронталь, а другая горизонталь.

Хотя для перпендикулярности вполне достаточно, чтобы указанными пересекающимися прямыми были любые прямые в данной плоскости, однако только горизонталь и фронталь позволяют получить без искажений проекции прямого угла, образованного перпендикуляром к плоскости и фронталью (на П 2) и перпендикуляром к плоскости и горизонталью (на П 1). Тогда очевидно, что горизонтальная проекция этого перпендикуляра расположена под прямым углом к горизонтальной проекции горизонтали, а фронтальная проекция - под прямым углом к фронтальной проекции фронтали.

 

Рис. 3.7. Построение перпендикулярно расположенных геометрических объектов.

 

б). Плоскости перпендикулярны друг к другу, если одна из них содержит перпендикуляр к другой.

Обратимся к рис. 3.7, а, где перпендикуляр g к плоскости уже построен, необходимо через точку D провести произвольную прямую q (рис. 3.7, б).

 

3.6. Позиционные задачи на плоскости

 

Позиционными называются задачи на определение каких-либо общих элементов геометрических объектов, например, точки пересечения прямой и плоскости, линии пересечения двух плоскостей.

 

3.6.1. Пересечение прямой и плоскости

 

Задачу на пересечение прямой и плоскости можно решать с помощью вспомогательной секущей плоскости, которая должна удовлетворять следующим условиям:

а) быть плоскостью частного положения, так как именно плоскость частного положения проецируется на соответствующую плоскость проекций в виде прямой;

б) проходить через прямую, точку пересечения которой с плоскостью мы отыскиваем.

А. Рассмотрим сначала частный случай. Пусть плоскость занимает частное положение в пространстве, например, является горизонтально - проецирующей и задана треугольником АВС (рис. 3.8 а). Необходимо найти точку пересечения ее с прямой а, заданной произвольно. Поскольку на П 1 горизонтально–проецирующая плоскость вырождается в прямую S1, то горизонтальной проекцией точки пересечения будет К 1. Далее по линии связи на прямой а 2 (очевидно точка пересечения К принадлежит прямой а) найдем фронтальную проекцию К 2 точки пересечения.

Осталось определить видимые участки прямой а, поскольку на П 2 часть указанной прямой будет закрыта от наблюдателя плоскостью DАВС. Для этого необходимо рассмотреть точку, где пересекаются фронтальные проекции а и какой-либо прямой (например, АС), лежащей в плоскости DАВС. Обозначим эту точку 12. Но пересекаться прямая а и DАВС могут только в одной точке, которую мы отыскали (К 2). Все остальные точки будут точками, где они скрещиваются. Следовательно, прямая а и АС скрещиваются в пространстве. Значит, все точки, где пересекаются их проекции, будут конкурирующими, а именно 12=22. Тогда на П 1 имеем по линии связи 11Î А 1 С 1 и 21 Î а 1. Видимой является точка 2, которая принадлежит прямой а. Это сохраняется до точки пересечения К 2. Затем, естественно, участок прямой а будет невидим (обозначается пунктирной линией) до выхода из-под плоскости DАВС. Теперь задачу можно считать полностью решенной.

Рис. 3.8. Пересечение прямой и плоскости

 

В. Рассмотрим общий случай пересечения прямой и плоскости, когда обе они занимают общее положение в пространстве. Пусть плоскость задана треугольником DАВС. Здесь и в дальнейшем используем задание плоскости в основном треугольником, так как в этом случае решение задачи наиболее наглядно. Необходимо найти точку пересечения произвольно заданной прямой в с DАВС (рис. 3.8, б).

Как указано выше, нужно через прямую в провести плоскость частного положения (например, фронтально-проецирующую). Линия пересечения этой плоскости совпадает с прямой в на П 2, т.е. S2= в 2 . Тогда по точкам пересечения 32 и 42 построим точки 31 и 41, а следовательно, и прямую 3141, являющуюся горизонтальной проекцией линии пересечения плоскости S и DАВС. Но так как прямая 34Ì DАВС, то точка К1 будет горизонтальной проекцией точки пересечения прямой в и DАВС. По ней найдем и фронтальную проекцию К 2, которая, очевидно, должна быть расположена на в 2 (ведь точка пересечения принадлежит и прямой в и D АВС).

Определим видимые участки прямой в на обеих проекциях по конкурирующим точкам. Для определения видимости на П 2 используем фронтально-конкурирующие точки (например, точки 32=52, где скрещиваются в 2 и А 2 В 2). Очевидно, что точка 31 ближе к нам, чем точка 51. Следовательно, на П 2 выше 32, тогда в этой точке А 2 В 2 выше, а в 2 лежит под ней. Это верно только до точки пересечения К 2. Далее, естественно, выше будет в 2. Аналогично по горизонтально–конкурирующим точкам (например, 61=71) определяем, что в точках 61=71 прямая В 1 С 1 лежит выше, чем в 1, так как точка 72 расположена выше, чем точка 62. Невидимый участок прямой в обозначаем пунктирной линией.

 

3.6.2. Пересечение плоскостей. Метод вспомогательных секущих плоскостей

 

Поскольку линией пересечения двух плоскостей является прямая, то для ее построения необходимо определить лишь две точки пересечения плоскостей.

Для решения указанной задачи применяется метод вспомогательных секущих плоскостей, который заключается в следующем.

Вводятся две дополнительные плоскости, пересекающие заданные. Для каждой дополнительной (вспомогательной) плоскости строим линию ее пересечения с заданными плоскостями. Точка пересечения двух полученных линий и будет точкой пересечения заданных плоскостей. Поскольку дополнительных плоскостей две, то и точек пересечения заданных плоскостей тоже две. Соединяя их, получаем линию пересечения плоскостей. Разумеется, каждая дополнительная плоскость должна занимать частное положение в пространстве, тогда на плоскость проекций, к которой вспомогательная плоскость перпендикулярна, она проецируется в прямую. Иначе, если вспомогательная плоскость занимает общее положение, введение дополнительной плоскости не упрощает решение задачи.

Проиллюстрируем на двух примерах.

А. Найти линию пересечения двух треугольников АВС и DEF и определить видимость сторон (рис. 3.9). Построим линию пересечения треугольников, воспользовавшись методом дополнительных секущих плоскостей. Для упрощения решения задачи секущие плоскости будем проводить через стороны треугольников.

Пусть дополнительная горизонтально–проецирующая плоскость S проходит через сторону DE. Тогда S1= D 1 E 1. Это и есть горизонтальная проекция линии пересечения S с DАВС и DDEF. Построим фронтальную проекцию. Для DDEF таковой является, очевидно, D 2 E 2. Для DАВС по горизонтальным проекциям 11 и 21 точек пересечения найдем их фронтальные проекции 12 и 22, соединив которые, получим фронтальную проекцию линии пересечения плоскости S и DАВС. Продлив линии D 2 E 2 и 12 22, найдем точку их пересечения N 2*, которая и является точкой пересечения плоскостей, заданных треугольниками. Надо заметить, что точка N 2* не принадлежит треугольникам, поэтому и является точкой пересечения не треугольников, а плоскостей, в которых лежат треугольники.

Аналогично, вводя дополнительную горизонтально–проецирующую плоскость S*, проходящую через сторону ВС треугольника АВС, найдем точку М 2 пересечения заданных треугольников.

Соединив точки N 2* и M 2, найдем фронтальную проекцию линии пересечения плоскостей треугольников АВС и DEF. Выделив участок N 2 M 2, лежащий в плоскости обоих треугольников, получаем фронтальную проекцию линии пересечения треугольников АВС и DEF. По токам N 2 M 2, определяем и горизонтальную проекцию N 1 M 1 линии пересечения заданных треугольников.

Рис. 3.9. Пересечение двух треугольников

 

Следует заметить, что дополнительные плоскости выбраны нами совершенно произвольно. Видимость сторон, а вместе с ними и отдельных частей треугольников определяется с помощью конкурирующих точек. Две такие точки уже имеются (21=31). Из рассмотрения фронтальных проекций, очевидно, что 21 невидимая. Значит, в этой точке прямая D 1 E 1 выше В 1 С 1, а следовательно, она выше по всей длине, так как плоскость треугольника 1 В 1 С 1 нигде не пересекает. Тогда с другой стороны от N 1 M 1 плоскость треугольника D 1 E 1 F 1 будет ниже. Аналогично определяем видимость на фронтальной проекции, рассматривая кокурирующие точки 5 и 6 на скрещивающихся прямых DE и АВ (рис. 3.9). В случае затруднений в определении видимости можно использовать несколько пар скрещивающихся сторон заданных треугольников.

 

Вопросы для самоконтроля:

1. Что такое проецирующая плоскость?

2. В каком случае точка и прямая принадлежат плоскости?

3. Какие прямые называются главными линиями плоскости?

4. Условие параллельности прямой и плоскости.

5. В чем заключается метод вспомогательных секущих плоскостей?

Тестовые задания

 

1. Фронтальная плоскость уровня параллельна:

а) П2;

б) П3;

в) П1.

 

2. Плоскость общего положения по отношению к плоскостям проекций занимает следующее положение:

а) параллельна одной из плоскостей проекций;

б) перпендикулярна одной из плоскостей проекций;

в) не параллельно ни одной из плоскостей проекций.

 

3. Прямая параллельна плоскости:

а) если она перпендикулярна прямой, лежащей в этой плоскости;

б) если она параллельна какой-нибудь прямой, лежащей в этой плоскости;

в) если она параллельна двум прямым, лежащим в данной плоскости.

 

4. Горизонтально-проецирующая плоскость перпендикулярна:

а) П2;

б) П3;

в) П1.

 

5. К чему сводится задача на построение линии пересечения двух плоскостей общего положения:

а) к построению плоскости частного положения;

б) к построению прямой уровня;

в) к построению двух точек, принадлежащих каждой из заданных плоскостей.


Глава 4. Способы преобразования чертежа

Способы преобразования чертежа служат для решения метрических задач по определению натуральной величины геометрических объектов (отрезка прямой или плоскости), либо кратчайшего расстояния между геометрическими объектами.




Поделиться с друзьями:


Дата добавления: 2015-06-30; Просмотров: 1108; Нарушение авторских прав?; Мы поможем в написании вашей работы!


Нам важно ваше мнение! Был ли полезен опубликованный материал? Да | Нет



studopedia.su - Студопедия (2013 - 2026) год. Все материалы представленные на сайте исключительно с целью ознакомления читателями и не преследуют коммерческих целей или нарушение авторских прав! Последнее добавление




Генерация страницы за: 0.009 сек.