Студопедия

КАТЕГОРИИ:


Архитектура-(3434)Астрономия-(809)Биология-(7483)Биотехнологии-(1457)Военное дело-(14632)Высокие технологии-(1363)География-(913)Геология-(1438)Государство-(451)Демография-(1065)Дом-(47672)Журналистика и СМИ-(912)Изобретательство-(14524)Иностранные языки-(4268)Информатика-(17799)Искусство-(1338)История-(13644)Компьютеры-(11121)Косметика-(55)Кулинария-(373)Культура-(8427)Лингвистика-(374)Литература-(1642)Маркетинг-(23702)Математика-(16968)Машиностроение-(1700)Медицина-(12668)Менеджмент-(24684)Механика-(15423)Науковедение-(506)Образование-(11852)Охрана труда-(3308)Педагогика-(5571)Полиграфия-(1312)Политика-(7869)Право-(5454)Приборостроение-(1369)Программирование-(2801)Производство-(97182)Промышленность-(8706)Психология-(18388)Религия-(3217)Связь-(10668)Сельское хозяйство-(299)Социология-(6455)Спорт-(42831)Строительство-(4793)Торговля-(5050)Транспорт-(2929)Туризм-(1568)Физика-(3942)Философия-(17015)Финансы-(26596)Химия-(22929)Экология-(12095)Экономика-(9961)Электроника-(8441)Электротехника-(4623)Энергетика-(12629)Юриспруденция-(1492)Ядерная техника-(1748)

Пример 3. Оценка эксперта: 2 балла




Оценка эксперта: 2 балла.

Комментарий.

Пример 2.

Оценка эксперта: 0 баллов.

Комментарий.

Пример 1.

Ответ верен. Более того «…построена математическая модель, решение сведено к исследованию этой модели…», см. критерии; в данном случае – арифметическая, числовая модель. Однако, эта модель построена неверно, т.е. она не соответствует условию. По решению видно, что сначала идет платеж долга, потом – начисление процента, а в условии – наоборот.

 


 

Здесь и ответ верен, и движение денег в целом описано верно. К сожалению, в вычислениях есть просчет в первой клетке третьей строки. Добавлен не 1%, а 10%. Эта ошибка «играет» в пользу клиента, но вычислительная ошибка имеется.

 


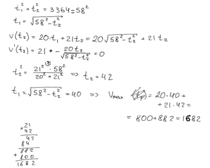
Первичная информация разделяется по серверам №1 и №2 и обрабатывается на них. С сервера №1 при объеме гб. входящей в него информации выходит , а с сервера №2 при объеме гб. входящей в него информации выходит гб. обработанной информации; . Каков наибольший общий объем выходящей информации при общем объеме входящей информации в 3364 гб.? Ответ: 1682.

 




Поделиться с друзьями:


Дата добавления: 2015-07-02; Просмотров: 440; Нарушение авторских прав?; Мы поможем в написании вашей работы!


Нам важно ваше мнение! Был ли полезен опубликованный материал? Да | Нет



studopedia.su - Студопедия (2013 - 2026) год. Все материалы представленные на сайте исключительно с целью ознакомления читателями и не преследуют коммерческих целей или нарушение авторских прав! Последнее добавление




Генерация страницы за: 0.015 сек.