Студопедия

КАТЕГОРИИ:


Архитектура-(3434)Астрономия-(809)Биология-(7483)Биотехнологии-(1457)Военное дело-(14632)Высокие технологии-(1363)География-(913)Геология-(1438)Государство-(451)Демография-(1065)Дом-(47672)Журналистика и СМИ-(912)Изобретательство-(14524)Иностранные языки-(4268)Информатика-(17799)Искусство-(1338)История-(13644)Компьютеры-(11121)Косметика-(55)Кулинария-(373)Культура-(8427)Лингвистика-(374)Литература-(1642)Маркетинг-(23702)Математика-(16968)Машиностроение-(1700)Медицина-(12668)Менеджмент-(24684)Механика-(15423)Науковедение-(506)Образование-(11852)Охрана труда-(3308)Педагогика-(5571)Полиграфия-(1312)Политика-(7869)Право-(5454)Приборостроение-(1369)Программирование-(2801)Производство-(97182)Промышленность-(8706)Психология-(18388)Религия-(3217)Связь-(10668)Сельское хозяйство-(299)Социология-(6455)Спорт-(42831)Строительство-(4793)Торговля-(5050)Транспорт-(2929)Туризм-(1568)Физика-(3942)Философия-(17015)Финансы-(26596)Химия-(22929)Экология-(12095)Экономика-(9961)Электроника-(8441)Электротехника-(4623)Энергетика-(12629)Юриспруденция-(1492)Ядерная техника-(1748)

Линейное однородное дифференциальное уравнение n-го порядка с постоянными коэффициентами





Характеристическое уравнение

- корни характеристического уравнения.


Общее решение

1. Все корни характеристического уравнения различные, тогда

Если среди корней есть пары комплексно-сопряженных корней, например , решение можно записать в виде

2. Среди корней характеристического уравнения есть кратные, например, имеет кратность k (остальные - простые), тогда

Если среди корней есть пары сопряженных корней кратности k, например , решение можно записать в виде


Линейное неоднородное уравнение с постоянными коэффициентами

Общее решение неоднородного уравнения есть сумма общего решения однородного уравнения и некоторого частного решения неоднородного уравнения.


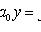
Вид частного решения y* неоднородного уравнения в некоторых конкретных случаях

( - заданные многочлены степени m, l; - искомые многочлены степени не выше m, k)

 

1. :

a) число 0 не является корнем характеристического уравнения, тогда

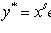
б) число 0 - корень кратности s характеристического уравнения:

2. :

a) число a не является корнем характеристического уравнения, тогда

б) число a - корень кратности s характеристического уравнения:

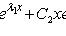
3. :

a) числа не являются корнями характеристического уравнения, тогда

б) числа - корни кратности s:

4. :

a) числа не являются корнями характеристического уравнения, тогда

б) числа - корни кратности s:




Поделиться с друзьями:


Дата добавления: 2015-07-02; Просмотров: 421; Нарушение авторских прав?; Мы поможем в написании вашей работы!


Нам важно ваше мнение! Был ли полезен опубликованный материал? Да | Нет



studopedia.su - Студопедия (2013 - 2025) год. Все материалы представленные на сайте исключительно с целью ознакомления читателями и не преследуют коммерческих целей или нарушение авторских прав! Последнее добавление




Генерация страницы за: 0.01 сек.