Студопедия

КАТЕГОРИИ:


Архитектура-(3434)Астрономия-(809)Биология-(7483)Биотехнологии-(1457)Военное дело-(14632)Высокие технологии-(1363)География-(913)Геология-(1438)Государство-(451)Демография-(1065)Дом-(47672)Журналистика и СМИ-(912)Изобретательство-(14524)Иностранные языки-(4268)Информатика-(17799)Искусство-(1338)История-(13644)Компьютеры-(11121)Косметика-(55)Кулинария-(373)Культура-(8427)Лингвистика-(374)Литература-(1642)Маркетинг-(23702)Математика-(16968)Машиностроение-(1700)Медицина-(12668)Менеджмент-(24684)Механика-(15423)Науковедение-(506)Образование-(11852)Охрана труда-(3308)Педагогика-(5571)Полиграфия-(1312)Политика-(7869)Право-(5454)Приборостроение-(1369)Программирование-(2801)Производство-(97182)Промышленность-(8706)Психология-(18388)Религия-(3217)Связь-(10668)Сельское хозяйство-(299)Социология-(6455)Спорт-(42831)Строительство-(4793)Торговля-(5050)Транспорт-(2929)Туризм-(1568)Физика-(3942)Философия-(17015)Финансы-(26596)Химия-(22929)Экология-(12095)Экономика-(9961)Электроника-(8441)Электротехника-(4623)Энергетика-(12629)Юриспруденция-(1492)Ядерная техника-(1748)

Расчет координат связанных объектов




Часто реальные установки содержат различное число движущихся компонентов, в том числе взаимосвязанных. Например, крановая тележка, крюк с грузом, мостовой кран управляются отдельно по каждому механизму, однако движение одного (например, крана) вызывает движение и других, связанных с ним механизмов.

Пусть установка состоит из 2-х механизмов, причем механизм 2 связан с механизмом 1 (рисунок 2.3).

 

Форма
Form.ClientWidth
Left1
Top1
Shape2
Left2
Top2
LeftMin
LeftMax
TopMin
TopMax
Width1
Width2
Height1
Height2
x 1
y 1
Мех.2
y 2
d 1
h 1
h 2
d 2
L
x
y
X max

Рисунок 2.3

 

Механизм 1 может перемещаться как в горизонтальном, так и в вертикальном направлениях, а механизм 2 только вдоль механизма 1. Обозначим реальные координаты механизма 1 через x 1 y 1, а положение механизма 2 относительно механизма 1 через y 2 (рисунок 2.3). Максимальное перемещение механизма 1 по координате x равно L, а по координате y равно H. Геометрические размеры механизма 1 – h 1, d 1, а механизма 2 – h 2, d 2.

Сначала необходимо определиться с масштабом пересчета координат. Дело в том, что для сохранения пропорций необходимо иметь один и тот же масштаб по вертикали и горизонтали. Однако форма может иметь разные пропорции и если перемещение объектов по одной оси в форму помещается, то по другой может выйти за пределы формы.

Определим необходимый масштаб.

1. Длина отрезка по осям x и y, в котором перемещаются оба механизма с учетом их геометрических размеров (рисунок 2.3):

;

.

2. Примем ограничения перемещения объектов по форме в горизонтальном направлении 10% и 90% ширины соответственно. Ограничения по вертикали составляют 10% сверху и 70% высоты снизу (снизу будут располагаться органы управления механизмами). Поэтому масштабы пересчета по оси x и y равны:

;

.

3. Конечный масштаб принимается по минимальному значению между Dx и Dy:

. (2.2)

4. Размеры объектов на форме должны быть пропорциональны геометрическим размерам механизмов с учетом выбранного масштаба:

5. Положение объекта Shape1 (механизм 1) на форме рассчитывается по формулам:

(2.3)

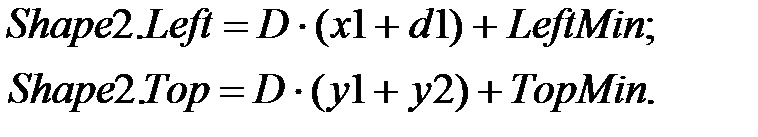
6. Положение объекта Shape2 (механизм 2) на форме рассчитывается с учетом ширины механизма 1 и его положения:

(2.4)




Поделиться с друзьями:


Дата добавления: 2015-07-02; Просмотров: 329; Нарушение авторских прав?; Мы поможем в написании вашей работы!


Нам важно ваше мнение! Был ли полезен опубликованный материал? Да | Нет



studopedia.su - Студопедия (2013 - 2026) год. Все материалы представленные на сайте исключительно с целью ознакомления читателями и не преследуют коммерческих целей или нарушение авторских прав! Последнее добавление




Генерация страницы за: 0.011 сек.