Студопедия

КАТЕГОРИИ:


Архитектура-(3434)Астрономия-(809)Биология-(7483)Биотехнологии-(1457)Военное дело-(14632)Высокие технологии-(1363)География-(913)Геология-(1438)Государство-(451)Демография-(1065)Дом-(47672)Журналистика и СМИ-(912)Изобретательство-(14524)Иностранные языки-(4268)Информатика-(17799)Искусство-(1338)История-(13644)Компьютеры-(11121)Косметика-(55)Кулинария-(373)Культура-(8427)Лингвистика-(374)Литература-(1642)Маркетинг-(23702)Математика-(16968)Машиностроение-(1700)Медицина-(12668)Менеджмент-(24684)Механика-(15423)Науковедение-(506)Образование-(11852)Охрана труда-(3308)Педагогика-(5571)Полиграфия-(1312)Политика-(7869)Право-(5454)Приборостроение-(1369)Программирование-(2801)Производство-(97182)Промышленность-(8706)Психология-(18388)Религия-(3217)Связь-(10668)Сельское хозяйство-(299)Социология-(6455)Спорт-(42831)Строительство-(4793)Торговля-(5050)Транспорт-(2929)Туризм-(1568)Физика-(3942)Философия-(17015)Финансы-(26596)Химия-(22929)Экология-(12095)Экономика-(9961)Электроника-(8441)Электротехника-(4623)Энергетика-(12629)Юриспруденция-(1492)Ядерная техника-(1748)

Расчет норм времени




 

При техническом нормировании определяется время (мин):

· оперативное – Tоп;

· дополнительное (на операцию) – Tд;

· штучное – Tшт;

· подготовительно-заключительное – Tп.з;

· штучно-калькуляционное – Tшт-к

 

015 Токарно-винторезная операция

 

Оперативное время Топ, мин:

 

Топ = То + Тв, (17)

 

где То – основное время, мин;

Тв – вспомогательное время, мин.

 

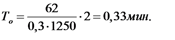
Основное время рассчитывается в зависимости в зависимости от вида обработки [16, с.76]. На токарную операцию основное время определяется по формуле

 

(18)

 

где Lрх – длина рабочего хода инструмента, мм;

Sф – фактическая подача инструмента за один оборот детали, мм/об;

na–фактическая частота вращения детали, мин-1;

i – количество проходов.

 

Lрх = L1 + L + L2, (19)

 

где L1 – длина врезания резца, мм;

L – длина обработки, мм;

L2 – длина перебега резца, мм.

 

Lрх = 1+60+1 = 62 мм.

 

Тогда,

 

Вспомогательное время на операцию Твсп, мин:

 

Тв = Тв.у + Тв.п + Тв.з, (20)

 

где Тв.у – вспомогательное время на установку-снятие детали, мм;

Тв.п – вспомогательное время, связанное с каждым переходом, мм;

Тв.з – вспомогательное время, связанное с замерами детали, мм.

 

Тв = 0,3 + 0,1 + 0,2 = 0,6 мин

 

Оперативное время Топ, мин:

 

Топ = То + Твсп, (21)

 

Топ = 0,33 + 0,6 = 0,93 мин.

 

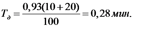
Дополнительное время Тд, мин:

 

(22)

 

где а обс, а отл – процент от оперативного времени соответственно на организационно-техническое обслуживание рабочего мета, отдых и личные надобности, %.

 

Штучное время Тшт, мин:

 

Тшт = То + Тв + Тд = Топ + Тд, (23)

 

Тшт = 0,93 + 0,28 = 1,2 мин

 

В подготовительно-заключительное время входит время на подготовку станка к работе, время на инструктаж, время на завершение работы. Тп.з определяется по таблицам нормативов на каждую операцию в зависимости от организации рабочего места, сложности обрабатываемой детали, конструкции оборудования и приспособлений [17].

Штучно-калькуляционное Тшт-к, мин:

 

Тшт-к = Тшт + , (24)

 

где N – размер партии деталей, шт.

 

Тшт-к = 1,2 +30/10000 = 1,207 мин

Расcчитанные и выбранные нормы времени сводятся в таблицу 7.

 

Таблица 7 –Нормы времени, мин

Номер и наименование операции (перехода) То Тв.у Тв.п. Тв.з Тв Топ Тд Тшт Тп.з Тшт.к
015 Токарно-винторезная Точить поверхность под подшипник, выдерживая размер ∅ 20,4мм     0,33     0,3     0,1     0,2     0,6     0,93     0,28     1,2         1,207

 

 




Поделиться с друзьями:


Дата добавления: 2015-06-28; Просмотров: 730; Нарушение авторских прав?; Мы поможем в написании вашей работы!


Нам важно ваше мнение! Был ли полезен опубликованный материал? Да | Нет



studopedia.su - Студопедия (2013 - 2026) год. Все материалы представленные на сайте исключительно с целью ознакомления читателями и не преследуют коммерческих целей или нарушение авторских прав! Последнее добавление




Генерация страницы за: 0.009 сек.