Студопедия

КАТЕГОРИИ:


Архитектура-(3434)Астрономия-(809)Биология-(7483)Биотехнологии-(1457)Военное дело-(14632)Высокие технологии-(1363)География-(913)Геология-(1438)Государство-(451)Демография-(1065)Дом-(47672)Журналистика и СМИ-(912)Изобретательство-(14524)Иностранные языки-(4268)Информатика-(17799)Искусство-(1338)История-(13644)Компьютеры-(11121)Косметика-(55)Кулинария-(373)Культура-(8427)Лингвистика-(374)Литература-(1642)Маркетинг-(23702)Математика-(16968)Машиностроение-(1700)Медицина-(12668)Менеджмент-(24684)Механика-(15423)Науковедение-(506)Образование-(11852)Охрана труда-(3308)Педагогика-(5571)Полиграфия-(1312)Политика-(7869)Право-(5454)Приборостроение-(1369)Программирование-(2801)Производство-(97182)Промышленность-(8706)Психология-(18388)Религия-(3217)Связь-(10668)Сельское хозяйство-(299)Социология-(6455)Спорт-(42831)Строительство-(4793)Торговля-(5050)Транспорт-(2929)Туризм-(1568)Физика-(3942)Философия-(17015)Финансы-(26596)Химия-(22929)Экология-(12095)Экономика-(9961)Электроника-(8441)Электротехника-(4623)Энергетика-(12629)Юриспруденция-(1492)Ядерная техника-(1748)

Граничные условия




На границе двух веществ скачок нормальной компоненты вектора определяется поверхностной плотностью свободных зарядов:

(в СГС)

(в СИ)

Здесь — нормальная производная, — точка на поверхности раздела, — вектор нормали к этой поверхности в данной точке, — поверхностная плотность свободных зарядов. Уравнение не зависит от выбора нормали (внешней или внутренней). В частности, для диэлектриков уравнение означает, что нормальная компонента вектора непрерывна на границе сред. Простого уравнения для касательной составляющей записать нельзя, она должна определяться из граничных условий для и материальных уравнений.

 

2. Корпускулярно-волновой дуализм. Волны де Бройля. Опыты Джермера- Девиссона и Томсона по дифракции электронов

Корпускулярно-волновой дуализм — теория в квантовой механике, гласящая, что в зависимости от системы отсчета поток электромагнитного излучения можно рассматривать и как поток частиц (корпускул), и как волну. В частности, свет — это и корпускулы (фотоны), и электромагнитные волны. Свет демонстрирует свойства волны в явлениях дифракции и интерференции при масштабах, сравнимых с длиной световой волны. Например, одиночные фотоны, проходящие через двойную щель, создают на экране интерференционную картину, определяемую уравнениями Максвелла.[1]. Тем не менее, эксперимент показывает, что фотон не есть короткий импульс электромагнитного излучения, например, он не может[ источник не указан 2274 дня ] быть разделён на несколько пучков оптическими делителями лучей. Корпускулярные свойства света проявляются при фотоэффекте. Фотон ведет себя и как частица, которая излучается или поглощается целиком объектами, размеры которых много меньше его длины волны (например, атомными ядрами), или вообще могут считаться точечными (например,электрон). Физика атомов, молекул и их коллективов, в частности кристаллов, а также атомных ядер и элементарных частиц изучается в квантовой механике. Объекты микромира, изучаемые квантовой механикой, имеют линейные размеры порядка см. Если частицы движутся со скоростями много меньше, чем скорость света в вакууме , то применяется нерелятивистская квантовая механика; при скоростях близких к — релятивистская квантовая механика.

В основе квантовой механики лежат представления Планка о дискретном характере изменения энергии атомов, Эйнштейна о фотонах, данные о квантованности некоторых физических величин (например, импульса и энергии), характеризующих в определенных условиях состояния частиц микромира. Основополагающей в квантовой механике явилась идея о том, что корпускулярно-волновая двойственность свойств, установленная для света, имеет универсальный характер. Она должна проявляться для любых частиц, обладающих импульсом . Все частицы, имеющие конечный импульс , обладают волновыми свойствами, и их движение сопровождается некоторым волновым процессом.

Формула де Бройля устанавливает зависимость длины волны , связанной с движущейся частицей вещества, от импульса частицы:

где — масса частицы, — ее скорость, — постоянная Планка. Волны, о которых идет речь, называются волнами де Бройля.

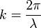
Другой вид формулы де Бройля:

где — волновой вектор, модуль которого — волновое число — есть число длин волн, укладывающихся на единицах длины, — единичный вектор в направлении распространения волны, Дж·с.

Длина волны де Бройля для частицы с массой , имеющей кинетическую энергию

В частности, для электрона, ускоряющегося в электрическом поле с разностью потенциалов вольт

Формула де Бройля экспериментально подтверждается опытами по рассеянию электронов и других частиц на кристаллах и по прохождению частиц сквозь вещества. Признаком волнового процесса во всех таких опытах является дифракционная картина распределения электронов (или других частиц) в приемниках частиц.

Волновые свойства не проявляются у макроскопических тел. Длины волн де Бройля для таких тел настолько малы, что обнаружение волновых свойств оказывается невозможным.

Фазовая скорость волн де Бройля свободной частицы

где — циклическая частота, — энергия свободной частицы, — импульс частицы, — ее масса, — ее скорость, — длина дебройлевской волны. Зависимость фазовой скорости дебройлевских волн от длины волны указывает на то, что эти волны испытывают дисперсию.

Групповая скорость волн де Бройля равна скорости частицы :

Связь между энергией частицы и частотой волны де Бройля

Волны де Бройля имеют специфическую природу, не имеющую аналогии среди волн, изучаемых в классической физике: квадрат модуля амплитуды волны де Бройля в данной точке является мерой вероятности того, что частица обнаруживается в этой точке. Дифракционные картины, которые наблюдаются в опытах, являются проявлением статистической закономерности, согласно которой частицы попадают в определенные места в приёмниках — туда, где интенсивность волны де Бройля оказывается наибольшей. Частицы не обнаруживаются в тех местах, где, согласно статистической интерпретации, квадрат модуля амплитуды «волны вероятности» обращается в нуль.

 




Поделиться с друзьями:


Дата добавления: 2015-08-31; Просмотров: 626; Нарушение авторских прав?; Мы поможем в написании вашей работы!


Нам важно ваше мнение! Был ли полезен опубликованный материал? Да | Нет



studopedia.su - Студопедия (2013 - 2026) год. Все материалы представленные на сайте исключительно с целью ознакомления читателями и не преследуют коммерческих целей или нарушение авторских прав! Последнее добавление




Генерация страницы за: 0.008 сек.