Студопедия

КАТЕГОРИИ:


Архитектура-(3434)Астрономия-(809)Биология-(7483)Биотехнологии-(1457)Военное дело-(14632)Высокие технологии-(1363)География-(913)Геология-(1438)Государство-(451)Демография-(1065)Дом-(47672)Журналистика и СМИ-(912)Изобретательство-(14524)Иностранные языки-(4268)Информатика-(17799)Искусство-(1338)История-(13644)Компьютеры-(11121)Косметика-(55)Кулинария-(373)Культура-(8427)Лингвистика-(374)Литература-(1642)Маркетинг-(23702)Математика-(16968)Машиностроение-(1700)Медицина-(12668)Менеджмент-(24684)Механика-(15423)Науковедение-(506)Образование-(11852)Охрана труда-(3308)Педагогика-(5571)Полиграфия-(1312)Политика-(7869)Право-(5454)Приборостроение-(1369)Программирование-(2801)Производство-(97182)Промышленность-(8706)Психология-(18388)Религия-(3217)Связь-(10668)Сельское хозяйство-(299)Социология-(6455)Спорт-(42831)Строительство-(4793)Торговля-(5050)Транспорт-(2929)Туризм-(1568)Физика-(3942)Философия-(17015)Финансы-(26596)Химия-(22929)Экология-(12095)Экономика-(9961)Электроника-(8441)Электротехника-(4623)Энергетика-(12629)Юриспруденция-(1492)Ядерная техника-(1748)

Общие сведения. Лекции 18-19. Непрерывная случайная величина




Лекции 18-19. Непрерывная случайная величина

и её характеристики

Непрерывная случайная величина характеризуется тем, что её реализации, в виде численных значений, могут находиться в любой точке интервала: от минимальной до максимальной границы его значений.

Непрерывная случайная величина характеризуется дифференциальной и интегральной функциями распределения вероятностей.

Наиболее широко в практике исследований для обобщения случайных процессов применяется «нормальное распределение плотностей вероятностей». Нормальное распределение (распределение Гаусса).

Дифференциальная функция распределения плотности вероятностей выражается формулой:

 

Интегральная функция распределения плотности распределения вероятностей выражается формулой:

 

Первичные обобщения реальных процессов, осуществляются посредством использования параметров случайной величины.

В теории вероятностей каждый вид распределения фигурирует как «закон распределения» Формально такой закон закрепляется интегральной и дифференциальной функциями плотности распределения вероятностей.

Среднее значение случайной величины для эмпирических процессов приближённо соответствует теоретическому понятию «математического ожидания М» случайной величины Х, которая характеризуется своими реализациями хi.

Расчёт математического ожидания для дискретной случайной величины производится по формуле:

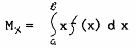
Для непрерывной случайной величины используется формула:

 

Здесь: Мx - математическое ожидание,

xi -реализация случайной величины X,

n - число групп с одинаковыми значениями случайной величины,

pi - относительная частота попадания конкретного значения случайной

величины в соответствующую группу.

Кроме математического ожидания используются, и другие параметры, которые позволяют получить другие полезные сведения о реальном случайном процессе. Параметры случайной величины, с одной стороны, позволяют обобщить ряд её реализаций (из-за большого их количества они становятся необозримы для анализа); с другой стороны, их сопоставление позволяет с определённой степенью уверенности, высказать суждение о случайности (стохастичности) процесса и отнести его к определённому виду (закону) теоретического распределения. Используются также следующие дополнительные параметры.

Мода (M0). Модой дискретной случайной величины называётся её наиболее вероятное значение, то есть значение, вероятность которого наибольшая. Для непрерывной случайной величины мода - это такое её значение, при котором плотность распределения максимальна.

Рис. 14.1. Мода дискретной Рис. 14.2.Мода непрерывной




Поделиться с друзьями:


Дата добавления: 2014-01-05; Просмотров: 480; Нарушение авторских прав?; Мы поможем в написании вашей работы!


Нам важно ваше мнение! Был ли полезен опубликованный материал? Да | Нет



studopedia.su - Студопедия (2013 - 2026) год. Все материалы представленные на сайте исключительно с целью ознакомления читателями и не преследуют коммерческих целей или нарушение авторских прав! Последнее добавление




Генерация страницы за: 0.007 сек.