Студопедия

КАТЕГОРИИ:


Архитектура-(3434)Астрономия-(809)Биология-(7483)Биотехнологии-(1457)Военное дело-(14632)Высокие технологии-(1363)География-(913)Геология-(1438)Государство-(451)Демография-(1065)Дом-(47672)Журналистика и СМИ-(912)Изобретательство-(14524)Иностранные языки-(4268)Информатика-(17799)Искусство-(1338)История-(13644)Компьютеры-(11121)Косметика-(55)Кулинария-(373)Культура-(8427)Лингвистика-(374)Литература-(1642)Маркетинг-(23702)Математика-(16968)Машиностроение-(1700)Медицина-(12668)Менеджмент-(24684)Механика-(15423)Науковедение-(506)Образование-(11852)Охрана труда-(3308)Педагогика-(5571)Полиграфия-(1312)Политика-(7869)Право-(5454)Приборостроение-(1369)Программирование-(2801)Производство-(97182)Промышленность-(8706)Психология-(18388)Религия-(3217)Связь-(10668)Сельское хозяйство-(299)Социология-(6455)Спорт-(42831)Строительство-(4793)Торговля-(5050)Транспорт-(2929)Туризм-(1568)Физика-(3942)Философия-(17015)Финансы-(26596)Химия-(22929)Экология-(12095)Экономика-(9961)Электроника-(8441)Электротехника-(4623)Энергетика-(12629)Юриспруденция-(1492)Ядерная техника-(1748)

Виды геометрических характеристик




 

Рассмотрим произвольное плоское сечение площадью А в системе отсчёта YX (рис. 4.2).

Рис.4.2

 

Любая из геометрических характеристик сечения может быть представлена в виде интегральной функции или. При n = 0 получается площадь сечения . При n = 1 имеем с татический момент площади относительно оси X или Y

(4.1)

Интегрируя, можно убедиться, что статический момент площади относительно оси равен произведению площади на расстояние от центра тяжести сечения с до рассматриваемой оси:

(4.2)

здесь − координаты центра тяжести сечения. Из выражений (4.2) следует, что статический момент сечения относительно оси, проходящей через центр тяжести, равен нулю.

Эта характеристика помогает определить положение центра тяжести сложного составного сечения.

Размерность статического момента − см 3 или м 3; он может быть как положительным, так и отрицательным.

При n = 2 интегралы произведения элемента площади dA на квадрат расстояния его до осей представляют осевые моменты инерции

. (4.3)

Размерность осевых моментов инерции − см4, м4; они всегда положительны.

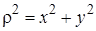
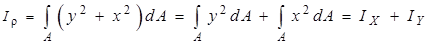
Если под интегралом произведение элемента площади на квадрат расстояния его до точки О (полюса), получается характеристика, называемая полярным моментом инерции

. (4.4)

Подставляя в (4.4) , получаем связь между осевыми и полярным моментом инерции сечения:

. (4.5)

Интегральная функция вида позволяет оценить ещё одну геометрическую характеристику центробежный момент инерции сечения. Центробежный момент инерции может быть положительным, отрицательным и даже равным нулю. Оси, относительно которых центробежный момент инерции сечения равен нулю, называют главными. Осевые моменты инерции относительно главных осей достигают экстремальных значений.




Поделиться с друзьями:


Дата добавления: 2014-01-05; Просмотров: 767; Нарушение авторских прав?; Мы поможем в написании вашей работы!


Нам важно ваше мнение! Был ли полезен опубликованный материал? Да | Нет



studopedia.su - Студопедия (2013 - 2026) год. Все материалы представленные на сайте исключительно с целью ознакомления читателями и не преследуют коммерческих целей или нарушение авторских прав! Последнее добавление




Генерация страницы за: 0.012 сек.