Студопедия

КАТЕГОРИИ:


Архитектура-(3434)Астрономия-(809)Биология-(7483)Биотехнологии-(1457)Военное дело-(14632)Высокие технологии-(1363)География-(913)Геология-(1438)Государство-(451)Демография-(1065)Дом-(47672)Журналистика и СМИ-(912)Изобретательство-(14524)Иностранные языки-(4268)Информатика-(17799)Искусство-(1338)История-(13644)Компьютеры-(11121)Косметика-(55)Кулинария-(373)Культура-(8427)Лингвистика-(374)Литература-(1642)Маркетинг-(23702)Математика-(16968)Машиностроение-(1700)Медицина-(12668)Менеджмент-(24684)Механика-(15423)Науковедение-(506)Образование-(11852)Охрана труда-(3308)Педагогика-(5571)Полиграфия-(1312)Политика-(7869)Право-(5454)Приборостроение-(1369)Программирование-(2801)Производство-(97182)Промышленность-(8706)Психология-(18388)Религия-(3217)Связь-(10668)Сельское хозяйство-(299)Социология-(6455)Спорт-(42831)Строительство-(4793)Торговля-(5050)Транспорт-(2929)Туризм-(1568)Физика-(3942)Философия-(17015)Финансы-(26596)Химия-(22929)Экология-(12095)Экономика-(9961)Электроника-(8441)Электротехника-(4623)Энергетика-(12629)Юриспруденция-(1492)Ядерная техника-(1748)

Количественное определение. 1. Кислотность водного извлечения




Чистота

1. Кислотность водного извлечения.

2. Потеря в массе при высушивании.

3. Предельное содержание хлоридов

4.Предельное содержание примеси щелочных и щелочно-земельных металлов обнаруживают по образованию сухого остатка (примеси) после осаждения висмута Н2S из солянокислого раствора:

Bi(NO3)3 + HCI → Bi3++ Н2S → Bi2S3

 

5. не допустимые примеси солей меди, свинца,

допустимая в пределах эталона примесь серебра.

Методика: JIB растворяют в кислоте азотной концентрированной, и полученный раствор разбавляют водой. В осадок выпадают основные соли висмута, которые отфильтровывают, а примеси солей меди, свинца, серебра остаются в фильтрате в виде нитратов.

Катион меди (II) в фильтрате обнаруживают по реакции комплексообразования с раствором аммиака (должен оставаться бесцветным):

Cu(NO3)2 + 4NH4OH → [Cu(NH3)4](NO3)2 + 4Н2O

синее окрашивание

Катион свинца - по реакции осаждения кислотой серной (не должна появляться муть):

Pb(NO3)2 + H2SO4 → PbSO4↓ + 2HNO3

Катион серебра - по реакции осаждения кислотой хлороводородной (допускается опалесценция, не превышающая опалесценцию эталонного раствора):

AgNO3 + HCl →AgCl↓ + HNO3

  1. не допускаются примеси мышьяка и теллура, испытание проводится по фармакопейной методике, описанной в статье «испытания на мышьяк»

 

  1. не допускаются примеси карбонатов (при растворении в HNO3 не д.б. пузырьков СО2), солей аммония (+ NаOН не д.б. запаха аммиака ) и сульфаты(+ BаNO3 не д.б. мути )

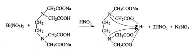
Комплексонометрический метод. Основан на свойстве ионов висму­та образовывать с трилоном Б прочные, бесцветные, растворимые в воде комплексные соединения.

ЛВ растворяют в разведенной азотной кислоте.

Bi2O3 + 6 HNO3 → 2Bi(NO3)3 + 3 H2O

 

Титрование проводят в азотнокислой среде рН = 2 – 3.

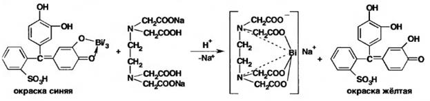
Индикатор - пирокатехиновый фиолетовый или ксиленоловый оранжевый.

  1. До начала титрования, когда добавляем индикатор к азотнокислому раствору препарата, образуется комплекс с индикатором: с ксиленовым оранжевым комплекс красного цвета, с пирокатехиновым фиолетовым комплекс синего цвета.

  1. В процессе титрования трилоном Б образуется комплексное соединение его с висмутом:

f (висмута)=1

  1. Вблизи т.э. менее устойчивый комплекс индикатора с металлом разрушается и висмут связывается в более прочный комплекс с трилоном Б. Окраска раствора примет окраску свободного индикатора – желтую:

 

Висмута нитрат основной не имеет постоянного состава, поэтому расчет количественного содержания проводят по висмута оксиду (Bi2O3), которого в JIB должно быть 79,0 - 82,0%.

Висмута оксид содержит 2 атома висмута, на связывание их израсхо­дуется 2 молекулы трилона Б, поэтому:

f (висмута оксида)=1/2

Препарат удовлетворяет требования ФС, если содержание висмута в пересчете на Bi2O3 – не менее 79% инее более 82%




Поделиться с друзьями:


Дата добавления: 2014-11-06; Просмотров: 4394; Нарушение авторских прав?; Мы поможем в написании вашей работы!


Нам важно ваше мнение! Был ли полезен опубликованный материал? Да | Нет



studopedia.su - Студопедия (2013 - 2026) год. Все материалы представленные на сайте исключительно с целью ознакомления читателями и не преследуют коммерческих целей или нарушение авторских прав! Последнее добавление




Генерация страницы за: 0.009 сек.