Студопедия

КАТЕГОРИИ:


Архитектура-(3434)Астрономия-(809)Биология-(7483)Биотехнологии-(1457)Военное дело-(14632)Высокие технологии-(1363)География-(913)Геология-(1438)Государство-(451)Демография-(1065)Дом-(47672)Журналистика и СМИ-(912)Изобретательство-(14524)Иностранные языки-(4268)Информатика-(17799)Искусство-(1338)История-(13644)Компьютеры-(11121)Косметика-(55)Кулинария-(373)Культура-(8427)Лингвистика-(374)Литература-(1642)Маркетинг-(23702)Математика-(16968)Машиностроение-(1700)Медицина-(12668)Менеджмент-(24684)Механика-(15423)Науковедение-(506)Образование-(11852)Охрана труда-(3308)Педагогика-(5571)Полиграфия-(1312)Политика-(7869)Право-(5454)Приборостроение-(1369)Программирование-(2801)Производство-(97182)Промышленность-(8706)Психология-(18388)Религия-(3217)Связь-(10668)Сельское хозяйство-(299)Социология-(6455)Спорт-(42831)Строительство-(4793)Торговля-(5050)Транспорт-(2929)Туризм-(1568)Физика-(3942)Философия-(17015)Финансы-(26596)Химия-(22929)Экология-(12095)Экономика-(9961)Электроника-(8441)Электротехника-(4623)Энергетика-(12629)Юриспруденция-(1492)Ядерная техника-(1748)

Теоремы Больцан-Коши и Вейерштрасса




Доказательство следствия

Доказательство предела

Следствия

Доказательство предела

Доказательство следствия

Следствия

Доказательство следствий

Следствия

:

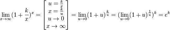
Замечательный показательно-степенной предел Править

(без доказательства)

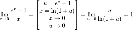
Замечательный логарифмический предел Править

§ Используя замечательный показательно-степенной предел:

§ Используя правило Лопиталя:

Замечательный показательный предел Править

для ,

Замечательный степенной предел Править

(без доказательства)

Ответ: Т еорема Больцано — Вейерштрасса, или лемма Больцано — Вейерштрасса о предельной точке — предложение анализа, одна из формулировок которого гласит: из всякой ограниченной последовательности точек пространства R n можно выделить сходящуюся подпоследовательность. Теорема Больцано — Вейерштрасса, в особенности случай числовой последовательности (n =1), входит в каждый курс анализа. Она используется при доказательстве многих предложений анализа, например, теоремы о достижении непрерывной на отрезке функцией своих точных верхней и нижней граней. Теорема носит имена чешского математика Больцано и немецкого математика Вейерштрасса, которые независимо друг от друга её сформулировали и доказали.

Первая формулировка [править | править вики-текст]

Пусть предложена последовательность точек пространства R n:

x 1, x 2,…

и пусть эта последовательность ограничена, то есть

xk ∥⩽ C, k =1,2,…

где C >0 — некоторое число.

Тогда из данной последовательности можно выделить подпоследовательность

xk 1, xk 2,…

которая сходится к некоторой точке пространства R n.

Теорему Больцано — Вейерштрасса в такой формулировке иногда называют принципом компактности ограниченной последовательности.

Расширенный вариант первой формулировки [править | править вики-текст]

Нередко теорему Больцано — Вейерштрасса дополняют следующим предложением.

Если последовательность точек пространства R n неограничена, то из неё можно выделить подпоследовательность, имеющую предел ∞.

Для случая n =1 эту формулировку можно уточнить: из любой неограниченной числовой последовательности можно выделить подпоследовательность, имеющую пределом бесконечность определенного знака (+∞ или −∞).

Таким образом, всякая числовая последовательность содержит подпоследовательность, имеющую предел в расширенном множестве действительных чисел R¯¯¯.

Вторая формулировка [править | править вики-текст]

Следующее предложение является альтернативной формулировкой теоремы Больцано — Вейерштрасса.

Всякое ограниченное бесконечное подмножество E пространства R n имеет по крайней мере одну предельную точку в R n.

Более подробно, это означает, что существует точка x 0∈R n, всякая окрестность (x 0) которой содержит бесконечное число точек множества E.

 




Поделиться с друзьями:


Дата добавления: 2014-10-31; Просмотров: 1483; Нарушение авторских прав?; Мы поможем в написании вашей работы!


Нам важно ваше мнение! Был ли полезен опубликованный материал? Да | Нет



studopedia.su - Студопедия (2013 - 2025) год. Все материалы представленные на сайте исключительно с целью ознакомления читателями и не преследуют коммерческих целей или нарушение авторских прав! Последнее добавление




Генерация страницы за: 0.008 сек.