Студопедия

КАТЕГОРИИ:


Архитектура-(3434)Астрономия-(809)Биология-(7483)Биотехнологии-(1457)Военное дело-(14632)Высокие технологии-(1363)География-(913)Геология-(1438)Государство-(451)Демография-(1065)Дом-(47672)Журналистика и СМИ-(912)Изобретательство-(14524)Иностранные языки-(4268)Информатика-(17799)Искусство-(1338)История-(13644)Компьютеры-(11121)Косметика-(55)Кулинария-(373)Культура-(8427)Лингвистика-(374)Литература-(1642)Маркетинг-(23702)Математика-(16968)Машиностроение-(1700)Медицина-(12668)Менеджмент-(24684)Механика-(15423)Науковедение-(506)Образование-(11852)Охрана труда-(3308)Педагогика-(5571)Полиграфия-(1312)Политика-(7869)Право-(5454)Приборостроение-(1369)Программирование-(2801)Производство-(97182)Промышленность-(8706)Психология-(18388)Религия-(3217)Связь-(10668)Сельское хозяйство-(299)Социология-(6455)Спорт-(42831)Строительство-(4793)Торговля-(5050)Транспорт-(2929)Туризм-(1568)Физика-(3942)Философия-(17015)Финансы-(26596)Химия-(22929)Экология-(12095)Экономика-(9961)Электроника-(8441)Электротехника-(4623)Энергетика-(12629)Юриспруденция-(1492)Ядерная техника-(1748)

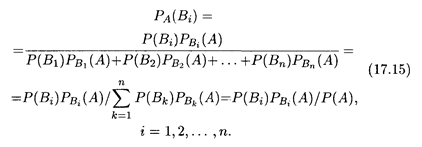
Формулы Байеса. Пусть события B1, B2, , Вп несовместны и образуют пол­ную группу, а событие А может наступить при условии появле­ния одного из них




 

Пусть события B 1, B 2,..., Вп несовместны и образуют пол­ную группу, а событие А может наступить при условии появле­ния одного из них. События Bi называют гипотезами, так как заранее неизвестно, какое из них наступит. Пусть произведено испытание и в результате появилось событие А. Тогда оказывается возможным определить условные вероятности гипотез Bi по следующим формулам:

 

 

Формулы (17.15) называются формулами Байеса, по имени их автора. Они позволяют оценить вероятность гипотезы Вi во всех испытаниях, где наступает событие А. Иными слова­ми, зная вероятность Р(Вi) до проведения испытания, мы мо­жем переоценить ее после проведения испытания, в результате которого появилось событие А.

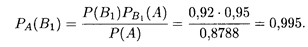
Пример 5. Вероятность изготовления изделия с браком равна 0,08. После изготовления все изделия подвергаются проверке, в результате которой изделия без брака признаются годными с вероятностью 0,95, а изделия с браком — с вероятностью 0,06. Найти долю изделий, выпущенных после проверки, а так­же вероятность того, что выпущенное после проверки изделие окажется без брака.

Решение. Независимые события (гипотезы), образующие полную группу, — это B 1 (изделие без брака) и В 2 (изделие с браком). Пусть событие А заключается в том, что при проверке изделие признается годным. Ответ на первый вопрос задачи дает формула (17.14):

 

 

Следовательно, после проверки признаются годными около 88% всех изготовленных изделий.

Ответ на второй вопрос задачи дает формула Байеса (17.15) при п = 2 и i = 1:

 

 

Иными словами, среди изделий, прошедших проверку, содер­жится 99, 5% изделий без брака.

Пример 6. В среднем из каждых 100 клиентов отделения бан­ка 60 обслуживаются первым операционистом и 40 — вторым операционистом. Вероятность того, что клиент будет обслужен без помощи заведующего отделением, только самим операци­онистом, составляет 0,9 и 0,75 соответственно для первого и второго служащих банка. Найти вероятность полного обслу­живания клиента первым операционистом.

Решение. Вероятность того, что клиент попадет к перво­му операционисту (событие B 1), составляет 0,6, ко второму — 0,4 (событие В 2). Искомая вероятность полного обслуживания клиента первым операционистом (событие А) определяется по формулам (17.14) и (17.15):

 

 

Иными словами, 64% клиентов, попавших на обслуживание к первому операционисту, будут обслужены им полностью.

 




Поделиться с друзьями:


Дата добавления: 2014-10-15; Просмотров: 485; Нарушение авторских прав?; Мы поможем в написании вашей работы!


Нам важно ваше мнение! Был ли полезен опубликованный материал? Да | Нет



studopedia.su - Студопедия (2013 - 2026) год. Все материалы представленные на сайте исключительно с целью ознакомления читателями и не преследуют коммерческих целей или нарушение авторских прав! Последнее добавление




Генерация страницы за: 0.012 сек.