Студопедия

КАТЕГОРИИ:


Архитектура-(3434)Астрономия-(809)Биология-(7483)Биотехнологии-(1457)Военное дело-(14632)Высокие технологии-(1363)География-(913)Геология-(1438)Государство-(451)Демография-(1065)Дом-(47672)Журналистика и СМИ-(912)Изобретательство-(14524)Иностранные языки-(4268)Информатика-(17799)Искусство-(1338)История-(13644)Компьютеры-(11121)Косметика-(55)Кулинария-(373)Культура-(8427)Лингвистика-(374)Литература-(1642)Маркетинг-(23702)Математика-(16968)Машиностроение-(1700)Медицина-(12668)Менеджмент-(24684)Механика-(15423)Науковедение-(506)Образование-(11852)Охрана труда-(3308)Педагогика-(5571)Полиграфия-(1312)Политика-(7869)Право-(5454)Приборостроение-(1369)Программирование-(2801)Производство-(97182)Промышленность-(8706)Психология-(18388)Религия-(3217)Связь-(10668)Сельское хозяйство-(299)Социология-(6455)Спорт-(42831)Строительство-(4793)Торговля-(5050)Транспорт-(2929)Туризм-(1568)Физика-(3942)Философия-(17015)Финансы-(26596)Химия-(22929)Экология-(12095)Экономика-(9961)Электроника-(8441)Электротехника-(4623)Энергетика-(12629)Юриспруденция-(1492)Ядерная техника-(1748)

Альтернативный оптимум




 

При решении задач линейного программирования сим­плексным методом критерием оптимальности является условие Δ j ≥ 0 для задач на максимум и условие Δ j < 0 для задач на минимум. Если на каком-то шаге окажется, что хотя бы одна оценка свободной переменной Δ j = 0, а все остальные Δ j > 0 для задач на максимум (Δ j < 0 для задач на минимум), то, приняв в качестве ключевого столбца столбец, где Δ j = 0, и найдя новое оптимальное решение, заметим, что значение це­левой функции при этом не изменится. Говорят, что в этом случае задача имеет альтернативный оптимум.

Критерием альтернативного оптимума при решении за­дач симплексным методом является равенство нулю хотя бы одной оценки свободной переменной (Δ j = 0).

Если только одна оценка свободной переменной равна ну­лю, то решение находится по формуле

 

 

где 0 ≤ t ≤ 1.

Если две оценки и более, например S, свободных перемен­ных равны нулю, то оптимальное решение определяется по формуле

 

В задачах, имеющих альтернативный оптимум, возникает возможность включения в ее модель других критериев эффек­тивности.

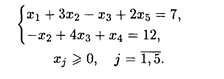
Пример. Дана задача линейного программирования

 

 

при ограничениях:

 

 

Решение. Составим симплексную таблицу (табл. 21.6).

В индексной строке имеется одна положительная оцен­ка. Полученное решение можно улучшить. Ключевым элемен­том является (4). Составляем симплексную таблицу 2-го шага (табл. 21.7).

Получаем

 

 

Так как Δ2 = 0, то задача имеет альтернативный оптимум. Найдем еще одно оптимальное решение, введя вместо базисной переменной х 1 свободную переменную х 2 (табл. 21.8).

Получаем

 

 

Найдем координаты оптимального решения задачи:

 

 

Давая t значения из [0,1], получим различные опт, при кото­рых L() = -12.




Поделиться с друзьями:


Дата добавления: 2014-10-15; Просмотров: 385; Нарушение авторских прав?; Мы поможем в написании вашей работы!


Нам важно ваше мнение! Был ли полезен опубликованный материал? Да | Нет



studopedia.su - Студопедия (2013 - 2026) год. Все материалы представленные на сайте исключительно с целью ознакомления читателями и не преследуют коммерческих целей или нарушение авторских прав! Последнее добавление




Генерация страницы за: 0.01 сек.