Студопедия

КАТЕГОРИИ:


Архитектура-(3434)Астрономия-(809)Биология-(7483)Биотехнологии-(1457)Военное дело-(14632)Высокие технологии-(1363)География-(913)Геология-(1438)Государство-(451)Демография-(1065)Дом-(47672)Журналистика и СМИ-(912)Изобретательство-(14524)Иностранные языки-(4268)Информатика-(17799)Искусство-(1338)История-(13644)Компьютеры-(11121)Косметика-(55)Кулинария-(373)Культура-(8427)Лингвистика-(374)Литература-(1642)Маркетинг-(23702)Математика-(16968)Машиностроение-(1700)Медицина-(12668)Менеджмент-(24684)Механика-(15423)Науковедение-(506)Образование-(11852)Охрана труда-(3308)Педагогика-(5571)Полиграфия-(1312)Политика-(7869)Право-(5454)Приборостроение-(1369)Программирование-(2801)Производство-(97182)Промышленность-(8706)Психология-(18388)Религия-(3217)Связь-(10668)Сельское хозяйство-(299)Социология-(6455)Спорт-(42831)Строительство-(4793)Торговля-(5050)Транспорт-(2929)Туризм-(1568)Физика-(3942)Философия-(17015)Финансы-(26596)Химия-(22929)Экология-(12095)Экономика-(9961)Электроника-(8441)Электротехника-(4623)Энергетика-(12629)Юриспруденция-(1492)Ядерная техника-(1748)

Кинематика




 

Кинематика – механикалық қозғалыстың себебін түсіндірмей, қозғалыстың математикалық сипаттамасын қарастыратын механиканың бөлімі.

Кинематиканың негізгі ұғымдары

Материялық нүкте – қозғалыстың қарастырылып отырған жағдайында өлшемдері еленбейтіндей денені айтады. Мысалы: Бала мектептен үйге дейін 1км немесе одан да көп қашықтықты жүріп өтсе, материялық нүкте болып есептеледі. Бала ертеңгілік денешынықтыру жаттығуларын жасап жатқанда, материялық нүкте деуге болмайды.

Қозғалыстың салыстырмалылығы - әр түрлі денеге қатысты, дене әр түрлі қозғалады (тыныштық – қозғалыстың белгілі бір жағдайы). Мысалы: жүзгіш қайық үстіндегі бақылаушыға және жағадағы бақылаушыға қатысты, әр түрлі жылдамдықпен қозғалады. Қозғалыс траекториясы дене бойымен қозғалатын сызық.

S[м] ← Жүрілген жол – дене бойымен қозғалған траекторияның ұзындығы.

[м] ← Орын ауыстыру – қозғалыс траекториясының бастапқы

және соңғы нүктелерін қосатын бағытталған кесінді (сурет).

 

Өзінің сандық мәнімен қоса кеңістіктегі бағытымен де сипатталатын шамалар векторлық шамалар деп аталады. Мысалы, жылдамдық, орын ауыстыру, үдеу, күш, импульс, т.б. Вектордың сандық мәні оның модулі деп аталады. Векторларға амалдар қолдануда математика курсындағы векторларды қосу ережелері қолданылды.

 

Дене координаталары х0, y0 болатын М0 нүктеден координаталары М (х,у) нүктеге S орын ауыстырды делік. Sх, Sу [м] ← Орын ауыстырудың Х, У осьтеріндегі проекциялары. Дененің бастапқы орнының координаталарын x0 және y0 деп, ал келесі орнының координаталарын – x және y деп белгілейміз. Суреттен x=x0+Sx, y=y0+Sy.Осыдан Sx = x- x0, Sy=y-y0.

 

 

Санақ жүйесі – санақ денесімен байланысқан координаталар жүйесі және уақыт өлшейтін прибор.

Координаталар жүйесі:

 

а) бірөлшемді (соқпақ жол, трасса, т.б)

 

б)екі өлшемді (су бетіндегі жүзгіш, теңіздегі кеме, т.б)

 

в) үшөлшемді (ұшақ, ғаламшарлар, т.б.)

 

Жылдамдық -бірлік уақыт ішіндегі дененің орынауыстыруының мәнін көрсететін векторлық шама [м/с]. Жиі кездесетін жылдамдықтың өлшем бірлігі – км/сағ. 1 м/с = 3,6 км/сағ.

 

Лездік жылдамдық - траекторияның берілген нүктесіндегі, берілген уақыт мезетіндегі дененің жылдамдығы [м/с], вектор.

Орташа жылдамдық - барлық жүрген жолдың барлық уақытқа қатынасымен өлшенетін физикалық шама

 

[м/с], скаляр.

Бір қалыпты түзу сызықты қозғалыс

Бірқалыпты түзусызықты қозғалыс – кезкелген бірдей уақыт аралығында дене бірдей орынауыстыру жасайтын қозғалыс.

Жылдамдық – дененің бірлік уақыт ішіндегі орынауыстыруын көрсететін векторлық физикалық шама υ-const.

 

 

Дене координата осінің оң бағытымен орынауыстырса, υ>0; дене х осіне қарсы бағытта қозғалса, υ<0.

 

Орынауыстыру
орынауыстыру векторының х осіндегі проекциясы

 

 

 

Қозғалыстағы денелердің кездесу орнында x1=x2 яғни олардың координаталары өзара тең. Осы теңдікті пайдаланып, денелердің кездесу уақытын және кездесу координатасын анықтауға болады.

Қозғалысты графикпен сипаттау – механикалық қозғалысты зерттеудің тиімді әдістерінің бірі. График арқылы дененің кез келген уақыт мезетіндегі қозғалысты сипаттайтын шамалардың мәндерін анықтауға болады. Сонымен қатар қозғалыстың түрлерінің сипатын оңай табуға болады.

 

υ= 6 м/с, υ= 2 м/с υ= 4 м/с, υ= - 2 м/с Sх= υх·t х1= υ·t, х2= υ·t, х3=100+υt, х4= 100-υt,
Жылдамдықтың уақытқа тәуелділігі Орынауыстырудың уақытқа тәуелділігі Координатаның уақытқа тәуелділігі

Қозғалыстың салыстырмалылығы

Механиканың ең маңызды принциптерінің қатарына Г.Галилей тұжырымдаған салыстырмалық принципі жатады. И. Ньютон оны механиканың басқа заңдарының жүйесіне ендірді. XX ғасырдың басында А.Эйнштейн осы принцип негізінде салыстырмалықтың жаңа теориясын жасады. Г.Галилейдің салыстырмалық принципіне сәйкес барлық инерциялық санақ жүйелеріндегі механикалық құбылыстар бірдей жүреді. Барлық инерциялық санақ жүйелері бірдей құқылы. Мысалы, тұрақты жылдамдықпен қозғалып келе жатқан вагон ішіндегі денелер қозғалысын бақыласақ, нәтиже тура сондай болады: бақылаушы отырған орындық сол орнында қалады, үстел үстіне құлаған нәрсе вагон еденіне түседі, вагон еденіне түсу уақыты сондай биіктіктен дененің жерге түсу уақытына тең. Жолаушы терезеден қозғалмайтын санақ жүйелеріне (ағашқа, бағанға т.б.) қарамаса поездың тұрғанын немесе қозғалыста екенін ажырата алмайды.

 

 

 

 

 

Галилейдің түрлендіруі бойынша қозғалмайтын санақ жүйесі t, υ, S – қозғалатын санақ жүйесі U – қозғалатын санақ жүйесіндегі дененің жылдамдығы Дененің қозғалмайтын санақ жүйесіне қатысты жылдамдығы дененің санақ жүйесіне қатысты жылдымдығы және қозғалатын санақ жүйесінің өзінің жылдамдығының геометриялық қосындысына тең Жылдамдықтарды қосудың классикалық заңы.  

 

Галилейдің салыстырмалылық принципі Барлық инерциялық санақ жүйелері бірдей. Бұл механиканың заңдарының барлық санақ жүйелерінде бірдей өрнектелетінінен көрінеді.  

 

Инерциялды санақ жүйесі Денеге басқа денелер әрекет етпегенде немесе олардың әрекеті теңгерілгенде, дене бірқалыпты түзу сызықты қозғалатын санақ жүйелері.  

Теңүдемелі түзусызықты қозғалыс

Кең тараған механикалық қозғалыстардың бірі айнымалы қозғалыс, траекторияның әрбір нүктесінде жылдамдық өзгеріп отырады. Айнымалы қозғалыстың қарапайым түрі теңайнымалы қозғалыс. Оның теңүдемелі және теңбаяулайтын түрлері бар. Теңүдемелі қозғалыс кезінде жылдамдығы әр уақыт бірлігінде бірдей шамаға артып отырады, ал теңбаяулайтын қозғалыста жылдамдық әр уақыт бірлігінде бірдей шамаға кеміп отырады. Мысалы: таудан сырғанаған шана немесе тауға көтерілген дене.

Теңүдемелі түзусызықты қозғалыс дене кез келген тең уақыт аралығында жылдамдығы бірдей шамаға өзгеретін қозғалыс. (бірдей t, бағыты сақталады).

 

Үдеу [м/с2] бірлік уақыт ішінде жылдамдық өзгерісін көрсететін векторлық физикалық шама. Өлшем бірлігі м/с2

 

Бірқалыпты түзусызықты қозғалыста υ-const жылдамдық тұрақты болғандықтан a=0

Лездік жылдамдық.

 

- кезкелген уақыт мезетіндегі жылдамдық
бастапқы жылдамдық (t=0 болған кездегі)  

 

Егер бастаптқы жылдамдық және үдеу векторларының проециясынын бағыттары бірдей болса, дене жылдамдығының модулі артады, яғни қозғалыс теңүдемелі болады. Бастапқы жылдамдық және үдеу векторларының проекциясының бағыттары қарама-қарсы болса, дене жылдамдығының модулі кемиді, яғни қозғалыс теңбаяу болады.

Орынауыстыру – дененің жүрілген жолының (орынауыстыруының) сандық мәні V(t) графигіндегі фигураның ауданына тең.

 

 

а, b (υ, υ0) – трапецияның табандары;

h (t) – трапецияның биіктігі;

S – трапецияның ауданы

графиктегі фигура – трапеция түрінде кескінделеді (жүрген жол)

 

Формуланы қорыту Формулалар:

 

в) Дененің n-ші секундтағы орынауыстыруы

 

Тең үдемелі қозғалыстың координатасының теңдеуі

х0 – бастапқы координата, Sx– Х осіндегі орынауыстырудың проекциясы.

 

 

 
а(t) үдеу графигі, a-const S(t) жолдың графигі

 

 
υ(t) жылдамдықтың графигі х(t) координатаның графигі

Дененің тік төмен және тік жоғары қозғалысы

Денелердің еркін түсуі

Бастапқы жылдамдықсыз ортаның кедергісі болмағанда дененің Жерге тартылу салдарынан құлауы еркін түсу деп аталады. Жер бетінің маңында тек ауырлық күші ғана әсер етсе барлық дене тік төмен бағытталған бірдей үдеумен қозғалады, бұл еркін түсу үдеуі деп аталады және g=9,8 м/с2.

 

дененің құлау биіктігі - дененің түсу уақыты

- дененің құлау биіктігі, - дененің n-ші секундтағы құлау биіктігі немесе - еркін түскен дененің

 

жылдамдығы

 

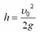
Тік жоғары лақтырылған дененің қозғалысы

 

дененің көтерілу биіктігі, мұндағы һ0 – бастапқы биіктік, υ0 – бастапқы жылдамдық, - дененің көтерілу биіктігі

- дененің жылдамдығы. Көтерілудің соңында

дененің көтерілу уақыты дененің қозғалыс уақыты

 

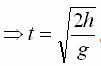
Тік төмен лақтырылған дененің қозғалысы

 

дененің түсу биіктігі, мұндағы һ0 – бастапқы биіктік, υ0 – бастапқы жылдамдық;

дененің жылдамдығы дененің түсу уақыты (υ0=0 болғанда).

 

Ескерту

1) Дененің көтерілу уақыты сол биіктіктен дененің түсу уақытына тең: tk=tT.

2) Дене қандай жылдамдықпен лақтырылса, жер бетіне сол жылдамдықпен құлайды.

3) Максимал биіктікте дененің лездік жылдамдығы 0-ге тең, яғни

Шеңбер бойымен қозғалыс

Табиғатта дененің қозғалыс траекториясы қисықсызықты болатын жағдайлар жиі кездеседі. Көкжиекке бұрыш жасай лақтырылған дененің қозғалысы, Жердің Күнді айнала қозғалысы, велосипед және автомобиль доңғалақтарындағы нүктелердің қозғалысы қисықсызықты болады. Мұндай қозғалыстар айнымалы болады, себебі қозғалысты сипаттайтын шамалар өзгеріп отырады. Егер қозғалыс жылдамдығының модулі тұрақты болса, қозғалыс бірқалыпты қисықсызықты деп аталады. Шеңбер бойымен бірқалыпты қозғалысты қарастырайық. Мұндай қозғалыс түзусызықты қозғалыс кезіндегідей орынауыстыру, жылдамдық, үдеу т.б. кинематикалық шамалармен сипатталады.

 

Қисықсызықты қозғалыс – траекториясы қисық сызық және шеңбердің доғасы болып келетін қозғалыс.

Шеңбер бойымен бірқалыпты қозғалыс -жылдамдық модулі тұрақты қозғалыс υ-const. Дене шеңбер бойымен бір айналым жасағанда жүрген жол шеңбердің ұзындығына тең, орынауыстыру =0, ал жылдамдығы

формуласымен анықталады, яғни

- сызықтық жылдамдық

 

Сызықтық жылдамдық – бірлік уақыт ішінде дененің жүрілген жолын көрсететін физикалық шама. υ [м/с] – шеңбердің жанамасы бойымен бағытталады, яғни шеңбердің әр нүктесінде бағыт өзгеріп отырады.

Бұрыштық жылдамдық – бірлік уақыт ішіндегі бұрыштық ығысуды көрсететін скаляр шама. ω [рад/с]; φ [рад] – бұрыштық ығысу (бұрылу бұрышы). Радиан – L доғасының ұзындығы R радиусқа тең болатын φ центрлік бұрыш

 

 

 

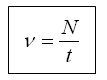
Период Т[с] дененің шеңбер бойымен толық бір айналым жасауына кеткен уақыт:

 

 

Жиілік ν[Гц=1/с] бірлік уақыт ішіндегі тербелістің саны:

 

 

Шеңбер бойымен бірқалыпты қозғалыс үшін:

 

 

 

Центрге тартқыш үдеу (шеңбер бойымен бірқалыпты қозғалыс кезінде)

[м/с2] – (шеңбердің центріне бағытталған, жылдамдық бағытының өзгерісінен туады)

 

 

 

 

Шеңбер бойымен бірқалыпсыз қозғалыс

ац центрге тартқыш үдеу (жылдамдық бағытының өзгерісін сипаттайды)

а т – тангенциал үдеу (жылдамдық модулінің өзгерісін сипаттайды)

 

 




Поделиться с друзьями:


Дата добавления: 2014-11-25; Просмотров: 17582; Нарушение авторских прав?; Мы поможем в написании вашей работы!


Нам важно ваше мнение! Был ли полезен опубликованный материал? Да | Нет



studopedia.su - Студопедия (2013 - 2026) год. Все материалы представленные на сайте исключительно с целью ознакомления читателями и не преследуют коммерческих целей или нарушение авторских прав! Последнее добавление




Генерация страницы за: 0.015 сек.