Студопедия

КАТЕГОРИИ:


Архитектура-(3434)Астрономия-(809)Биология-(7483)Биотехнологии-(1457)Военное дело-(14632)Высокие технологии-(1363)География-(913)Геология-(1438)Государство-(451)Демография-(1065)Дом-(47672)Журналистика и СМИ-(912)Изобретательство-(14524)Иностранные языки-(4268)Информатика-(17799)Искусство-(1338)История-(13644)Компьютеры-(11121)Косметика-(55)Кулинария-(373)Культура-(8427)Лингвистика-(374)Литература-(1642)Маркетинг-(23702)Математика-(16968)Машиностроение-(1700)Медицина-(12668)Менеджмент-(24684)Механика-(15423)Науковедение-(506)Образование-(11852)Охрана труда-(3308)Педагогика-(5571)Полиграфия-(1312)Политика-(7869)Право-(5454)Приборостроение-(1369)Программирование-(2801)Производство-(97182)Промышленность-(8706)Психология-(18388)Религия-(3217)Связь-(10668)Сельское хозяйство-(299)Социология-(6455)Спорт-(42831)Строительство-(4793)Торговля-(5050)Транспорт-(2929)Туризм-(1568)Физика-(3942)Философия-(17015)Финансы-(26596)Химия-(22929)Экология-(12095)Экономика-(9961)Электроника-(8441)Электротехника-(4623)Энергетика-(12629)Юриспруденция-(1492)Ядерная техника-(1748)

Еркін тербелістер пайда болу шарты




Еркін тербелістер

Механикалық тербелістер мен толқындар - қозғалыстың ерекше түрі тербелістер және тербелістің кеңістікте таралуын қарастыратын механиканың бөлімі.

Тербелістер - белгілі бір уақыт аралығында қайталанып отыратын қозғалыс немесе процесс. Механикалық тербелістер механикалық шамалардың (ығысу, жылдамдық, үдеу, энергия және т.б.) тербелісі.

Күнделікті өмірде тербелістер жиі кездеседі. Мәселен, жел соққан кезде ағаш бұтақтарының тербелісі, әткеншек, бесік, қабырға сағатының маятнигі, серіппеге ілінген жүк, домбра шегі.

 

 

Еркін Еріксіз Автотербеліс
Жүйе тепе-теңдік күйден шығарылып, өз еркіне жіберілгеннен кейін ішкі күштердің әсерінен ж.йеде пайда болатын тербелістер периодты өзгеріп отыратын сыртқы күштердің әсерінен пайда болатын тербелістер (тербелмелі жүйеге периодты түрде энергияның сырттан келіп түсуі керек) Ішкі күштердіңпериодты әсерінен туатын тербелістер (тербелмелі жүйе ішіндегі меншікті көзден периодты түрде энергияның түсуі керек)  

 

 

→ Тербелмелі жүйе орнықты тепе­теңдік жағдайында болу керек
  → Тепе­теңдік күйден шығарғанда, жүйені бастапқы күйіне қайтаратын тең әрекетті күш пайда болу керек
→ Жүйенің инерттілігі
→ Үйкеліс күшінің (кедергі) аз болуы

 

 

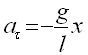
Математикалық маятник - с алмақсыз созылмайтын жіпке ілінген материалдық нүкте.

Егер маятникті тепе­теңдік күйінен ауытқытатын болсақ, онда ол әрекет етуші күштерді теңгеруші күштің әрекетінен бастапқы тепе­теңдік күйіне қайта оралады.

Бір толық тербеліс жасауға кеткен уақыт ‒ Т – период деп аталады. Тербеліс периодының тербеліс амплитудасына тәуелді болмайтындығын 1583 жылы итальяндық физик және астроном Галилео Галилей ашқан. Аңыз бойынша Галилей бұл жаңалықты шіркеудегі шырақтың шайқалуын бақылай отырып ашқан екен. Сағат ретінде ол өз тамырының соғуын пайдаланған. Құлшылық ету кезінде ол шырақтың тербеліс құлашының біртіндеп кішірейетінін, яғни тербеліс амплитудасының азайатынын, бірақ периодтың өзгермей қалатынын байқаған. Сондықтан маятниктерді уақыт өлшеуіші ретінде сағаттарда пайдалануды ұсынды. Тек 70 жылдан астам уақыт өткенде 1656 жылы Х. Гюйгенс осы идеяны жүзеге асырып, маятникті сағат құрастырып шығарды.

 

α бұрышы аз болғанда: х – тепе-­теңдік жағдайдан ығысу l – жіп ұзындығы      
тепе­-теңдік жағдайы математикалық маятниктің периоды

 

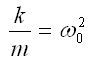
Абсолют серпімді серіппеге ілінген дене серіппелі маятник деп аталады.

 

орнықты тепе­теңдік жағдайы
  (Гук заңы)  
х ‒ тепе­-теңдіктен ауытқуы   Серппелі мятниктің периоды

 

Тербелістегі шамалар уақыт бойынша синус немесе косинус заңы бойынша өзгеретін тербелістер гармонилық тербелістер деп аталады.

Теңдеулер мен графиктер

 

x ‒ тепе­-теңдіктен ығысу [м]
xmамплитуда [м] ‒ тепе-теңдіктен ең үлкен ауытқуы
  Т – период [с] ‒ бір толық тербеліс жасауға кеткен уақыт
ν ‒ жиілік [Гц]=[1/с] ‒ бірлік уақыт ішінде жасалған толық тербеліс саны
ω0 ‒ циклді жиілік [рад/с]‒2πс ішінде жасалған толық тербеліс саны  
Гармониялық тербеліс жасаған дененің координатасы,жылдамдығы, үдеуі және оған әсер ететін қорытқы күш периодты түрде өзгереді.     φ ‒ фаза [рад] ‒ берілген уақыт мезе-тіндегі дененің орнын, қозғалу бағытын көрсететін бұрыштық шама
φ0 ‒ бастапқы фаза [рад]    

 




Поделиться с друзьями:


Дата добавления: 2014-11-25; Просмотров: 3115; Нарушение авторских прав?; Мы поможем в написании вашей работы!


Нам важно ваше мнение! Был ли полезен опубликованный материал? Да | Нет



studopedia.su - Студопедия (2013 - 2026) год. Все материалы представленные на сайте исключительно с целью ознакомления читателями и не преследуют коммерческих целей или нарушение авторских прав! Последнее добавление




Генерация страницы за: 0.011 сек.