Студопедия

КАТЕГОРИИ:


Архитектура-(3434)Астрономия-(809)Биология-(7483)Биотехнологии-(1457)Военное дело-(14632)Высокие технологии-(1363)География-(913)Геология-(1438)Государство-(451)Демография-(1065)Дом-(47672)Журналистика и СМИ-(912)Изобретательство-(14524)Иностранные языки-(4268)Информатика-(17799)Искусство-(1338)История-(13644)Компьютеры-(11121)Косметика-(55)Кулинария-(373)Культура-(8427)Лингвистика-(374)Литература-(1642)Маркетинг-(23702)Математика-(16968)Машиностроение-(1700)Медицина-(12668)Менеджмент-(24684)Механика-(15423)Науковедение-(506)Образование-(11852)Охрана труда-(3308)Педагогика-(5571)Полиграфия-(1312)Политика-(7869)Право-(5454)Приборостроение-(1369)Программирование-(2801)Производство-(97182)Промышленность-(8706)Психология-(18388)Религия-(3217)Связь-(10668)Сельское хозяйство-(299)Социология-(6455)Спорт-(42831)Строительство-(4793)Торговля-(5050)Транспорт-(2929)Туризм-(1568)Физика-(3942)Философия-(17015)Финансы-(26596)Химия-(22929)Экология-(12095)Экономика-(9961)Электроника-(8441)Электротехника-(4623)Энергетика-(12629)Юриспруденция-(1492)Ядерная техника-(1748)

Статика




Статика – дененің тепе-теңдігін және тепе-теңдік шарттарын қарастыратын механиканың бөлімі.

Күш моменті

Айналу осі бар денелердің тепе-теңдік шартын анықтау үшін күш моменті деген ұғым енгізілді. Күш моменті - күш модулі мен күш иінінің көбейтіндісіне тең векторлық шама. Оның бағыты күштің бағытымен сәйкес келеді. Күш моментінің бірлігі үшін иіні 1 метрге тең 1 Hьютон күштің моменті алынады М [Н·м].

 

F – күш модулі, d – күш иіні

Күш иіні – айналу осінен күштің түсу

нүктесіне дейінгі аралық.

 

Күш моментін қарастыру үшін қозғалмайтын тіреудің немесе біліктің (осьтің) төңірегінде айналатын кез келген иіндік (рычаг) деп аталатын денені аламыз.

 

О нүктесі – тіреу нүктесі деп атайды, OA, ОС және ОD күш иіндері деп аталады. Иіндік тепе–теңдікте тұру үшін сағат тілі жүрісіне бағыттас күш моменті сағат тілі жүрісіне кері бағыттас күш моментіне тең болу керек.

 

Шарт бойынша: а) егер күш моменті денені са-ғат тілі бойымен айналдырса: М > 0 б) егер сағат тіліне қарама-қарсы айналдырса: М < 0

 

Моменттер ережесі: айналатын дененің тепе‒теңдігін сақтау үшін, денені сағат тілі жүрісіне бағыттас айналдыратын күш моменттердің қосындысы оны сағат тілі жүрісіне қарсы бағытта айналдыратын күш моменттерінің қосындысына тең болу керек. Екінші сөзбен айтсақ: дененің сол жағындағы күштердің моменттерінің қосындысы дененің оң жағындағы күштердің моменттерінің қосындысына тең болу керек.

Жай механизмдер. Күшті түрлендіру үшін қолданылатын тетіктер жай механизмдер деп аталады. Олар: иінтірек (рычаг), блок, көлбеу жазықтық, шығыр, сына, бұрама (винт). Иінтірек дегеніміз – жылжымайтын тіреуден айнала қозғала алатын қатты дене. Тіреу нүктесімен күштің иінтірекке әсер ету бағытын көрсететін түзудің ең қысқа арақашықтығы күштің иіні деп аталады. Иінтірекке әсер ететін күштер осы күштердің иіндеріне кері пропорционал болғанда ғана иінтірек тепе-теңдікте тұрады:, мұндағы F1, F2 – иінтірекке әсер етуші күштер; l1, l2 – осы күштердің иіндері.

 

 

Блок дегеніміз – остің төңірегінде айнала алатын, шетінде науасы бар, өзі құрсауға орнатылған тегершік. Блок науасы арқылы арқан, трос немесе шынжыр тасталады. Жүк көтергенде осі жоғары, төмен қозғалмайтын блок жылжымайтын блок деп аталады. Жылжымайтын блок күштен ұтыс бермейді. Жылжымалы блок күштен екі есе ұтыс береді:

 

Ешбір механизм жұмыстан ұтыс бермейді. Күштен неше есе ұтсақ, жолдан сонша есе ұтыламыз. Осы ереже механиканың алтын ережесі деп аталады.

Механизмнің пайдалы әсер коэффициенті (ПӘК). Пайдалы жұмыстың толық жұмысқа қатынасы механизмнің пайдалы әсер коэффициенті деп аталады:

Денелердің тепе-теңдігі

Денелердің тепе-теңдігі дегеніміз дененің таңдап алған санақ жүйесімен салыстырғандағы қозғалмайтын күйі.

Тепе-теңдіктің шарттары

 

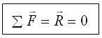
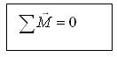
    І шарты: Денеге күш әсер етпеу керек немесе олардың әсері теңгерілуі керек дене ілгермелі қозғалмалы   ІІ шарты: Денеге әсер етуші күштердің моменттерінің алгебралық қосындысы 0-ге тең болу керек   дене айналмалы

Сақталу заңдары (анықтама)

Сақталу заңдары - импульс пен энергияны, олардың сақталу заңдарын зерттейтін механиканың бөлімі. Сақталу заңдары ғылымның даму барысында механика заңдарының салдары ретінде қорытылып шығарылады, олардың қолданылу аясы кең және барлық физикалық құбылыстарға қолдануға болды.

 




Поделиться с друзьями:


Дата добавления: 2014-11-25; Просмотров: 5712; Нарушение авторских прав?; Мы поможем в написании вашей работы!


Нам важно ваше мнение! Был ли полезен опубликованный материал? Да | Нет



studopedia.su - Студопедия (2013 - 2025) год. Все материалы представленные на сайте исключительно с целью ознакомления читателями и не преследуют коммерческих целей или нарушение авторских прав! Последнее добавление




Генерация страницы за: 0.012 сек.