Студопедия

КАТЕГОРИИ:


Архитектура-(3434)Астрономия-(809)Биология-(7483)Биотехнологии-(1457)Военное дело-(14632)Высокие технологии-(1363)География-(913)Геология-(1438)Государство-(451)Демография-(1065)Дом-(47672)Журналистика и СМИ-(912)Изобретательство-(14524)Иностранные языки-(4268)Информатика-(17799)Искусство-(1338)История-(13644)Компьютеры-(11121)Косметика-(55)Кулинария-(373)Культура-(8427)Лингвистика-(374)Литература-(1642)Маркетинг-(23702)Математика-(16968)Машиностроение-(1700)Медицина-(12668)Менеджмент-(24684)Механика-(15423)Науковедение-(506)Образование-(11852)Охрана труда-(3308)Педагогика-(5571)Полиграфия-(1312)Политика-(7869)Право-(5454)Приборостроение-(1369)Программирование-(2801)Производство-(97182)Промышленность-(8706)Психология-(18388)Религия-(3217)Связь-(10668)Сельское хозяйство-(299)Социология-(6455)Спорт-(42831)Строительство-(4793)Торговля-(5050)Транспорт-(2929)Туризм-(1568)Физика-(3942)Философия-(17015)Финансы-(26596)Химия-(22929)Экология-(12095)Экономика-(9961)Электроника-(8441)Электротехника-(4623)Энергетика-(12629)Юриспруденция-(1492)Ядерная техника-(1748)

Импульс




Қозғалыстағы денені оның массасы мен жылдамдығына байланысты болатын бір шамамен сипаттау керек. Мұндай физикалық шама дене импульсі (грекше impulsus-соққы дегенді білдіреді) немесе қозғалыс мөлшері деп аталады.

 

Денеге белгілі уақыт аралығындағы күш әсерінің өлшемі болып келетін векторлық физи- калық шама

 

  Механикалық қозғалыстың өлшемі (қозғалыс мөлшері) болып келетін векторлық физикалық шама

 

Дене импульсі мен күш импульсі арасындағы байланысты Ньютоның екінші заңы арқылы өрнектейміз.

 

Табиғатта барлық денелер бір-бірімен әрекеттеседі. Көп жағдайларда екі немесе одан да көп денелердің қозғалысы қарастырылады. Сондықтан физикада денелердің тұйық жүйесі деп аталатын ұғым енгізіледі. Тұйық жүйедеп сыртқы күштер әрекет етпеген жағдайда жүйеге енетін денелер бір-бірімен ішкі күштер арқылы ғана әрекеттесетін жүйені айтады. Негізгі сақталу заңдарының бірі импульстің сақталу заңын қарастырамыз.

 

Тұйық жүиеде өзара әрекеттесетін денелер импульстарының векторлық қосындысы өзгермейді (сақталады). Бұл импульстің сақталу заңы деп аталады.

 

жүйедегі дене массалары, әсерлескенге дейінгі денелер жылдамдығы, әсерлескеннен дейінгі денелердің жылдамды

 

Импульстің сақталу заңы техникада реактивті қозғалысты пайдалануда қолданылады. Реактивті қозғалыстың қарапайым мысалына үрленген ауа шарының қозғалысы жатады. Үрленген шардың ішіндегі қысым сыртқы атмосфералық қысымнан едәуір артық, ал бос қоя берілген шардың ішіңдегі біраз ауаның төменгі саңылау арқылы сыртқа шығуы шардың жоғары қарай көтерілуін тудырады.

 

Дененің бір бөлігі одан қандай да бір жылдамдықпен бөлініп шыққан кездегі қозғалысы реактивті қозғалыс деп аталады. Қазіргі заманғы Жердің жасанды серіктерінің, планетааралық саяхат жасайтын зымырандардың қозғалысы реактивті қозғалысқа негізделген.

 

Жұмыс. Энергия

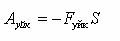
Жұмыс - күш әсерінің кеңістіктік сипаты болып келетін скаляр физикалық шама.

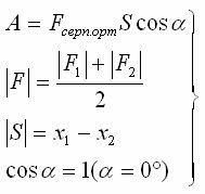
Механикалық жұмыс тұрақты күш модулінің орын ауыстыру модуліне және олардың арасындағы бұрыштың косинусының көбейтіндісіне тең

 

 

 

мұндағы A- жұмыс, F-күш, S-орын ауыстыру

Дене 1 Н күш әсерінен 1 м-ге орын ауыстырғанда 1 Дж жұмыс атқарылады Механикалық жұмыс оң да, теріс те болуы мүмкін:

 

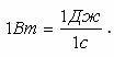
Бірлік уақыт ішінде атқарылатын жұмысты сипаттайтын скаляр физикалық шама (жұмыстың істелу жылдамдығы) қуат деп аталады

мұндағы N-қуат, A- жұмыс, t-оның орындалу уақыты.

Қуаттың бірлігі ватт: Ол XVIII ғасырдың соңында алғашқы бу машинасын ойлап тапқан ағылшын инженері - өнертапқыш Джеймс Уаттың құрметіне аталған. Тұрмыста қуаттың 1ат күші = 736 Вт өлшем бірлігі жиі қолданылады.

F күш тұрақты болған жағдайда қуат бірқалыпты қозғалған дененің жылдамдығына байланысты болады.

 

 

 

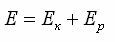
Механикада дененің механикалық күйін сипаттайтын шамалар дененің координаталары және жылдамдығы болады. Бұл шамалар үздіксіз өзгеріп отырады. Механикалық энергия дененің механикалық күйін сипаттайды. Дене жұмыс атқарғанда энергиясы өзгереді.

Энергия - дененің жұмыс істеу қабілетін сипаттайтын физикалық скаляр шама Е [Дж]

 

Кинетикалық энергия

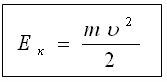
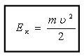
Кинетикалық энергия (кинема – қозғалыс деген грек сөзінен шыққан) - дене қозғалған кезіндегі энергиясы (дене қозғалысын сипаттайды) Ек [Дж].

Қозғалыстағы су гидроэлектр станциясының турбиналарын айналдырып, өзінің кинетикалық энергиясын шығындатып жұмыс істейді. Қозғалыстағы ауаның – желдің де кинетикалық энергиясы болады. Атылған оқтың кинетикалық энергиясы оның жылдамдығының есебінен артады.Кинетикалық энергия дененің жылдамдығының квадратына және оның массасына тәуелді.

Кинетикалық энергия туралы теория

күштің әсерінен дене орынауыстыру жасайды және оның жылдамдығы ден ге дейін артады

 

Атқарылған жұмысты есептейміз

1) (Ньютонның ІІ заңы)

 

2)

3)

 

 

Дененің массасы мен жылдамдығы квадратының көбейтіндісінің жартысына тең шаманы кинетикалық энергия деп атайды.

а) Таңдап алынған санақ жүйесінде:   - Егер дене қозғалмаса - Егер дене қозғалса, онда б) Санақ жүйесін сайлап алуға байланысты болғандықтан кинетикалық энергия салыстырмалы шама  

 

Потенциалдық энергия

Потенциалдық энергия - денелердің немесе олардың бөлшектерінің өзара әсерлесуіне байланысты энергия [Дж]

Ол денелердің өзара орналасуына немесе серпімді деформация шамасына тәуелді.

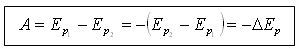
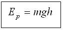
Жерден жоғары көтерілген дененің потенциалдық энергиясы (Ауырлық күшінің жұмысы)

 

 

Fа ауырлық күшінің жұмысы теріс таңбамен алынған потенциалдық энергияның өзгерісіне тең.

- Дене құлағанда: А > 0; Ер кемиді

- Дене көтерілгенде: А < 0; Ер артады,

- Дене горизонталь қозғалғанда: A=0; Ер= const

Жер бетінен жоғары көтерілген дененің потенциялдық энергиясы

 

- Дененің Жермен өзара әсерлесу энергиясы

 

Нөлдік деңгейдің (h=0) сайланып алуына байланысты болғандықтан потенциялдық энергия салыстырмалы

 

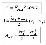
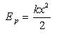
Серпімді деформацияланған дененің потенциалдық энергиясы. Серпімділік күшінің жұмысы.

Гук заңы бойынша:

 

 

Графиктік тәсіл: Серпімділік күші жқмысының сан мәні F=(х) графигімен шектелген фигураның ауданына тең   Трапецияның ауданы

 

Fсерп const болғандықтан Fсерп күшінің орташа мәні алынады

 

 

Серпімділік күшінің жұмысы теріс таңбаменалынған потенциялдық энергияның өзгерісіне тең

 

Серпімді деформацияланған дененің потенциалдық энергиясы

 

- дене бөлшектерінің әрекеттесу энергия

 

 

Ер деформацияға тәуелді:

– деформация көп болса Ер

– егер деформацияланбаса Ер=0

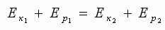
Механикалық энергияның сақталу заңы

Тек ауырлық күші мен серпімділік күші әсерлескен тұйық денелер жүйесінің толық механикалық энергиясы Е, кез-келген қозғалған дене үшін тұрақты

 

Дене бірінші механикалық күйден екінші механикалық күйге көшкенде

 

немесе

- толық механикалық энергиясы оның потенциялық және кинетикалық энергияларының қосындысына тең.

 

Егер жүйе тұйықталмаған және денелер үйкеліс күші арқылы әсерлессе, онда кинетикалық энергия мен потенциалдық энергияның өзгерістерінің қосындысы үйкеліс күшінің жұмысына тең

 

 

Дене энергиясы еш уақытта жоғалмайды және жоқтан пайда болмайды,ол бір күйден екінші күйге айналады. Бұл қағида – энергияның айналу және сақталу заңы барлық жерде орындалады.

Механикалық тербелістер мен Толқындар




Поделиться с друзьями:


Дата добавления: 2014-11-25; Просмотров: 4925; Нарушение авторских прав?; Мы поможем в написании вашей работы!


Нам важно ваше мнение! Был ли полезен опубликованный материал? Да | Нет



studopedia.su - Студопедия (2013 - 2025) год. Все материалы представленные на сайте исключительно с целью ознакомления читателями и не преследуют коммерческих целей или нарушение авторских прав! Последнее добавление




Генерация страницы за: 0.012 сек.