Студопедия

КАТЕГОРИИ:


Архитектура-(3434)Астрономия-(809)Биология-(7483)Биотехнологии-(1457)Военное дело-(14632)Высокие технологии-(1363)География-(913)Геология-(1438)Государство-(451)Демография-(1065)Дом-(47672)Журналистика и СМИ-(912)Изобретательство-(14524)Иностранные языки-(4268)Информатика-(17799)Искусство-(1338)История-(13644)Компьютеры-(11121)Косметика-(55)Кулинария-(373)Культура-(8427)Лингвистика-(374)Литература-(1642)Маркетинг-(23702)Математика-(16968)Машиностроение-(1700)Медицина-(12668)Менеджмент-(24684)Механика-(15423)Науковедение-(506)Образование-(11852)Охрана труда-(3308)Педагогика-(5571)Полиграфия-(1312)Политика-(7869)Право-(5454)Приборостроение-(1369)Программирование-(2801)Производство-(97182)Промышленность-(8706)Психология-(18388)Религия-(3217)Связь-(10668)Сельское хозяйство-(299)Социология-(6455)Спорт-(42831)Строительство-(4793)Торговля-(5050)Транспорт-(2929)Туризм-(1568)Физика-(3942)Философия-(17015)Финансы-(26596)Химия-(22929)Экология-(12095)Экономика-(9961)Электроника-(8441)Электротехника-(4623)Энергетика-(12629)Юриспруденция-(1492)Ядерная техника-(1748)

Пример решения задачи 2.2




Условие. Точка М движется по ободу диска радиусом R=20 см согласно закону s = АМ = 6 t sin(pt/3). Диск вращается вокруг неподвижной оси О1О2, лежащей в плоскости диска, в направлении, указанном стрелкой, с постоянной

угловой скоростью w=0,5 рад/с. Определить абсолютную скорость точки М в момент времени t 1 =5 с (рис.2.4).

Рис. 2.4
Решение. В данной задаче относительное движение точки – движение по ободу диска относительной системы отсчета, связанной с диском; переносное движение – вращение вместе с диском вокруг неподвижной оси; абсолютное движение – движение точки относительно неподвижной оси.

Определим параметры относительного движения точки:

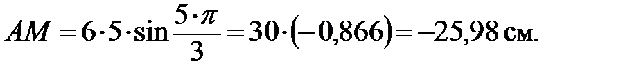
а) положение точки М в заданный момент времени t=5 с:

М

Знак минус означает, что точка М в рассматриваемый момент времени находится в области отрицательных значений дуговой координаты s;

б) определим центральный угол a и отрезок MN:

в) найдем проекцию относительной скорости точки М на касательную в данный момент времени (рис. 2.5).

  Рис. 2.5
Определим модуль переносной скорости точки М как вращательной скорости той точки диска, где в данное мгновение находится точка М

.

М
Вектор переносной скорости перпендикулярен плоскости диска и направлен в сторону его вращения.

Модуль абсолютной скорости точки М (рис. 2.5.) найдем по формуле:

Вектор абсолютной скорости направлен по диагонали прямоугольника, построенного на относительной и переносной скоростях как сторонах.

 

Абсолютное ускорение точки М равно (рис. 2.6) геометрической сумме относительного отн, переносного пер и кориолисова кор ускорений: абс = отн + пер + кор, или с учетом условий задачи в развернутом виде абс = отн + отн + пер + кор

где при t1=5с касательное ускорение в относительном движении:

 
;

нормальное ускорение в относительном движении:

отн = ;

нормальное ускорение в переносном движении:

пер = ;

кориолисово ускорение:

кор = .

Положительный знак отн показывает, что вектор отн направлен в сторону положительных значений S; вектор отн направлен по нормали к траектории движения точки в относительном движении, т.е. по нормали к окружности радиусом MN к её центру, вектор кор направлен согласно правилу векторного произведения векторов и отн (рис. 2.6)

Модуль абсолютного ускорения точки М находим способом проекции на оси х, у и z (рис. 2.6):

абс x = пер + отн cos - отн sin =13,6 + 4,1cos 24,8 – - sin 24,8 = 5,37 см/с2

абс y = - отн sin - отн cos = 4,1sin 24,8 – 28,5cos24,8 = = -27,6 см/с2 абс z = кор = 6,6 см/с2

абс = см/с2

 

Рис.2.6.

Направление вектора абс определяется его углами с осями координат:

( абс ^, ) = аrс cos = абс cos = 79,3

( абс ^, ) = аrс cos = абс cos = 162,7

( абс ^, ) = аrс cos = абс cos = 76,8

 

 

Задача 2.3

Задача 2.3 относится к плоскому движению твердого тела. Скорость ползуна для данного положения механизма можно вычислить с помощью как теоремы о проекциях скоростей двух точек тела, так и мгновенного центра скоростей шатуна. Для этого необходимо знать скорость какой-нибудь точки шатуна (например точки А) и направление скорости ползуна.

Ускорение ползуна в данный момент времени можно найти с помощью векторной формулы распределения ускорений точек плоской фигуры, спроектировав ее на два взаимно перпендикулярных направления. В качестве полюса удобно выбрать точку А. Исходные данные к задаче даны в табл. 2.4. и на рис.2.7.

Условие:

Кривошип ОА длиной R вращается вокруг неподвижной оси О с постоянной угловой скоростью w и приводит в движение шатун АВ длиной L и ползун В. Для заданного положения механизма найти скорость и ускорение ползуна В.

Примечание. Если при заданных значениях углов окажется, что шатун АВ перпендикулярен направляющим ползуна (см. рис. 2.7, схемы 1, 6), то значение угла b следует принять равным 15°.

Таблица 2.4

Цифра шифра 1-я цифра шифра 2-я цифра шифра 3-я цифра шифра
R, см L, cм a, град b, град w, c-1 Номер схемы (рис. 2.7)
             
             
             
             
             
             
             
             
             
             

Рис. 2.7. Схемы к задаче 2.3.




Поделиться с друзьями:


Дата добавления: 2014-11-25; Просмотров: 545; Нарушение авторских прав?; Мы поможем в написании вашей работы!


Нам важно ваше мнение! Был ли полезен опубликованный материал? Да | Нет



studopedia.su - Студопедия (2013 - 2026) год. Все материалы представленные на сайте исключительно с целью ознакомления читателями и не преследуют коммерческих целей или нарушение авторских прав! Последнее добавление




Генерация страницы за: 0.008 сек.