Студопедия

КАТЕГОРИИ:


Архитектура-(3434)Астрономия-(809)Биология-(7483)Биотехнологии-(1457)Военное дело-(14632)Высокие технологии-(1363)География-(913)Геология-(1438)Государство-(451)Демография-(1065)Дом-(47672)Журналистика и СМИ-(912)Изобретательство-(14524)Иностранные языки-(4268)Информатика-(17799)Искусство-(1338)История-(13644)Компьютеры-(11121)Косметика-(55)Кулинария-(373)Культура-(8427)Лингвистика-(374)Литература-(1642)Маркетинг-(23702)Математика-(16968)Машиностроение-(1700)Медицина-(12668)Менеджмент-(24684)Механика-(15423)Науковедение-(506)Образование-(11852)Охрана труда-(3308)Педагогика-(5571)Полиграфия-(1312)Политика-(7869)Право-(5454)Приборостроение-(1369)Программирование-(2801)Производство-(97182)Промышленность-(8706)Психология-(18388)Религия-(3217)Связь-(10668)Сельское хозяйство-(299)Социология-(6455)Спорт-(42831)Строительство-(4793)Торговля-(5050)Транспорт-(2929)Туризм-(1568)Физика-(3942)Философия-(17015)Финансы-(26596)Химия-(22929)Экология-(12095)Экономика-(9961)Электроника-(8441)Электротехника-(4623)Энергетика-(12629)Юриспруденция-(1492)Ядерная техника-(1748)

С сосредоточенными параметрами




Частотные характеристики линейных цепей

 

Частотные характеристики являются важнейшими характеристиками электронных устройств. Они позволяют определить рабочий диапазон частот и оценить возможные амплитудные и фазовые искажения сигнала при его прохождении через цепь. Наиболее удобным методом анализа процесса передачи сигнала через электронное устройство является спектральный метод. Он позволяет сложный сигнала представить в виде ряда или интеграла Фурье, а на основании принципа суперпозиции отклик линейной цепи на сложный сигнал представить как сумму откликов на каждую гармоническую составляющую сложного сигнала.

При теоретическом исследовании основными характеристиками линейных цепей являются их комплексные передаточные или входные функции , связывающие комплексные амплитуды гармоник колебаний реакции и воздействия:

,

, (2.28)

где – частота гармоники, независимая переменная, изменяющаяся в диапазоне от 0 до . Зависимость модуля комплексной передаточной функции от частоты называют амплитудно-частотной характеристикой цепи (АЧХ), а зависимость ее аргумента от частоты фазо - частотной характеристикой (ФЧХ).

Теоретическое исследование цепей проводится по такому алгоритму: 1) для режима гармонических колебаний составляют уравнения цепи; 2) решают эти уравнения; 3) определяют передаточную или входную функцию цепи; 4) определяют ее модуль (АЧХ) и аргумент (ФЧХ); 5) строят графики АЧХ, ФЧХ и анализируют полученные результаты.

 

Частотные характеристики цепи

1) Рассмотрим дифференцирующую цепь, возбуждаемую источником гармонического напряжения с комплексной амплитудой (рис. 2.12). В качестве выходного сигнала рассмотрим напряжение на резисторе .

Рис. 2.12 Дифференцирующая цепь

 

Следуя указанному алгоритму, на основании закона Кирхгофа для напряжений, запишем уравнение цепи:

.

Решая его, находим ток . Используя закон Ома, найдем искомое напряжение

.

Определив выходное напряжение, получаем выражение для комплексной передаточной функции

.

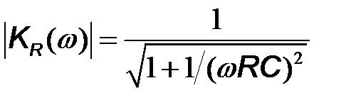
Выделяя модуль и аргумент комплексной передаточной функции, получаем выражения, определяющие АЧХ

 

,

и ФЧХ

.

 

По полученным формулам рассчитываем и строим графики частотных характеристик. Характерный вид амплитудно-частотной характеристики и фазо-частотной характеристики для конкретных значений и показан на рис. 2.13 и 2.14.

 
Рис. 2.13 АЧХ   Рис. 2.14 ФЧХ

 

2) Рассмотрим интегрирующую цепь, возбуждаемую гармоническим напряжением с комплексной амплитудой (рис. 2.15). В качестве выходного сигнала рассмотрим напряжение на ёмкости .

Следуя указанному алгоритму, на основании закона Кирхгофа для напряжений, запишем уравнение цепи:

.

Рис. 2.15. Интегрирующая цепь

 

Из решения уравнения цепи найдем ток . Определив ток по закону Ома, найдем искомое напряжение .

Определив выходное напряжение, выделяем комплексную передаточную функцию

.

Выделяя модуль и аргумент комплексной передаточной функции, получаем выражения, определяющие АЧХ

 

и ФЧХ

.

 

По полученным формулам рассчитаем и построим графики частотных характеристик цепи. Типичный вид амплитудно-частотной характеристики и фазо-частотной характеристики интегрирующей цепи для конкретных значений и показан на рис. 2.16 и 2.17.

 
Рис. 2.16 АЧХ   Рис. 2.17 ФЧХ



Поделиться с друзьями:


Дата добавления: 2014-11-16; Просмотров: 460; Нарушение авторских прав?; Мы поможем в написании вашей работы!


Нам важно ваше мнение! Был ли полезен опубликованный материал? Да | Нет



studopedia.su - Студопедия (2013 - 2026) год. Все материалы представленные на сайте исключительно с целью ознакомления читателями и не преследуют коммерческих целей или нарушение авторских прав! Последнее добавление




Генерация страницы за: 0.007 сек.