Студопедия

КАТЕГОРИИ:


Архитектура-(3434)Астрономия-(809)Биология-(7483)Биотехнологии-(1457)Военное дело-(14632)Высокие технологии-(1363)География-(913)Геология-(1438)Государство-(451)Демография-(1065)Дом-(47672)Журналистика и СМИ-(912)Изобретательство-(14524)Иностранные языки-(4268)Информатика-(17799)Искусство-(1338)История-(13644)Компьютеры-(11121)Косметика-(55)Кулинария-(373)Культура-(8427)Лингвистика-(374)Литература-(1642)Маркетинг-(23702)Математика-(16968)Машиностроение-(1700)Медицина-(12668)Менеджмент-(24684)Механика-(15423)Науковедение-(506)Образование-(11852)Охрана труда-(3308)Педагогика-(5571)Полиграфия-(1312)Политика-(7869)Право-(5454)Приборостроение-(1369)Программирование-(2801)Производство-(97182)Промышленность-(8706)Психология-(18388)Религия-(3217)Связь-(10668)Сельское хозяйство-(299)Социология-(6455)Спорт-(42831)Строительство-(4793)Торговля-(5050)Транспорт-(2929)Туризм-(1568)Физика-(3942)Философия-(17015)Финансы-(26596)Химия-(22929)Экология-(12095)Экономика-(9961)Электроника-(8441)Электротехника-(4623)Энергетика-(12629)Юриспруденция-(1492)Ядерная техника-(1748)

Элементы теории четырехполюсников




 

Четырехполюсниками называют цепи, взаимодействующие с другими цепями посредством двух пар зажимов (полюсов).

Методы теории четырехполюсников применяют для упрощения анализа сложных цепей, а также для анализа устройств, внутреннее строение которых неизвестно. В этом случае четырехполюсники моделируют некоторые процессы, являясь «черным ящиком», связанным с внешним миром посредством четырех полюсов (зажимов). Так, например, в радиотехнике моделируют процессы в электронных лампах и транзисторах.

Электрическое состояние четырехполюсника однозначно и полностью описывается четырьмя величинами: входными напряжением и током и выходными напряжением и током . Направление отсчетов мгновенных значений напряжений и токов выберем, как указано на рис. 2.10.

 

Рис. 2.10. Направление отсчетов мгновенных значений напряжений и токов на зажимах четырехполюсника

 

Из четырех величин , , , две могут рассматриваться как заданные, являясь воздействиями, аргументами, а две другие – как их функции, отклики. Существует шесть вариантов такого представления, определяя шесть разновидностей систем уравнений второго порядка, описывающих электрическое состояние четырехполюсника в тех или иных параметрах. Рассмотрим те из них, которые наиболее широко используются в радиоэлектронике.

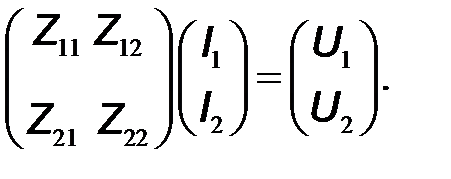
1.Система параметров. Для определения параметров четырехполюсника в качестве аргументов используют токи , , а в качестве функций – напряжения , : на основании второго закона Кирхгофа записывают систему уравнений

 

(2.22)

 

которая в матричной форме имеет вид:

(2.23)

 

Размерность параметров – размерность сопротивления, Ом.

Для определения параметров и выяснения их физического смысла применим процедуру мысленного размыкания одной из пар зажимов четырехполюсника, определяя параметры в режиме холостого хода, когда или или .

– входное сопротивление в режиме холостого хода выхода;

– взаимное сопротивление обратной передачи с выхода на вход в режиме холостого хода входа;

– взаимное сопротивление прямой передачи в режиме холостого хода выхода;

– выходное сопротивление в режиме холостого хода входа.

2.Система параметров. В этом случае в качестве аргументов используются напряжения , , а в качестве функций – токи , . На основании первого закона Кирхгофа записываем систему уравнений

 

(2.24)

 

которая в матричной форме имеет вид:

(2.25)

Размерность параметров – размерность проводимости, См.

параметры четырехполюсника и их физический смысл определяются в режиме короткого замыкания, когда или , или .

– входная проводимость при короткозамкнутом выходе;

– взаимная проводимость обратной передачи при короткозамкнутом входе;

– взаимная проводимость прямой передачи в режиме короткого замыкания выхода;

– выходная проводимость в режиме короткого замыкания входа.

3. Система параметров. При определении гибридных параметров в качестве аргументов используются входной ток и выходное напряжение , а в качестве функций – входное напряжение и выходной ток . Система уравнений имеет следующий вид:

(2.26)

В матричной форме (2.26) имеет вид:

(2.27)

Гибридные коэффициенты определяются в разных режимах.

– входное сопротивление в режиме короткого замыкания выхода;

– безразмерный коэффициент обратной передачи напряжения в режиме холостого хода входа;

– безразмерный коэффициент прямой передачи тока в режиме короткого замыкания выхода;

– выходная проводимость в режиме холостого хода входа.

Для примера на рис. 2.11 приведена формальная эквивалентная схема замещения четырехполюсника в системе параметров.

Исторически сложилось так, что в радиотехнических справочниках характеристики электронных ламп и полевых транзисторов приводятся в системе параметров, а характеристики биполярных транзисторов – в системе параметров. В дальнейшем при анализе схем на электронных приборах, работающих в линейном режиме, будем пользоваться формальной эквивалентной схемой замещения в системе параметров.

Рис. 2.11. Формальная эквивалентная схема замещения четырехполюсника в системе параметров

 




Поделиться с друзьями:


Дата добавления: 2014-11-16; Просмотров: 603; Нарушение авторских прав?; Мы поможем в написании вашей работы!


Нам важно ваше мнение! Был ли полезен опубликованный материал? Да | Нет



studopedia.su - Студопедия (2013 - 2025) год. Все материалы представленные на сайте исключительно с целью ознакомления читателями и не преследуют коммерческих целей или нарушение авторских прав! Последнее добавление




Генерация страницы за: 0.012 сек.