Студопедия

КАТЕГОРИИ:


Архитектура-(3434)Астрономия-(809)Биология-(7483)Биотехнологии-(1457)Военное дело-(14632)Высокие технологии-(1363)География-(913)Геология-(1438)Государство-(451)Демография-(1065)Дом-(47672)Журналистика и СМИ-(912)Изобретательство-(14524)Иностранные языки-(4268)Информатика-(17799)Искусство-(1338)История-(13644)Компьютеры-(11121)Косметика-(55)Кулинария-(373)Культура-(8427)Лингвистика-(374)Литература-(1642)Маркетинг-(23702)Математика-(16968)Машиностроение-(1700)Медицина-(12668)Менеджмент-(24684)Механика-(15423)Науковедение-(506)Образование-(11852)Охрана труда-(3308)Педагогика-(5571)Полиграфия-(1312)Политика-(7869)Право-(5454)Приборостроение-(1369)Программирование-(2801)Производство-(97182)Промышленность-(8706)Психология-(18388)Религия-(3217)Связь-(10668)Сельское хозяйство-(299)Социология-(6455)Спорт-(42831)Строительство-(4793)Торговля-(5050)Транспорт-(2929)Туризм-(1568)Физика-(3942)Философия-(17015)Финансы-(26596)Химия-(22929)Экология-(12095)Экономика-(9961)Электроника-(8441)Электротехника-(4623)Энергетика-(12629)Юриспруденция-(1492)Ядерная техника-(1748)

Преобразователи кодов




Сумматор одноразрядных десятичных чисел.

Так как один разряд десятичных чисел представляется четырьмя разрядами двоичных чисел, то сумматор одноразрядных десятичных чисел будет содержать 4 последовательно включенных сумматора одноразрядных двоичных чисел. Схема и условное графическое обозначение одноразрядного сумматора десятичных чисел показаны на рис. 9.11а и рис. 9.11б соответственно.

а) б)

Рис. 9.11. Схема и условное графическое обозначение одноразрядного

сумматора десятичных чисел

Для преставления информации в цифровой технике применяют различные цифровые коды. В ЭВМ при выполнении операций используются несколько разновидностей двоичных кодов: прямой, обратный, дополнительный и т.д. В цифровых системах связи применяют, например, коды с проверкой четности, коды Хемминга. Такие коды уменьшают вероятность появления ошибок и позволяют даже их исправлять.

Например,в процессоре преобразователь прямого кода в обратный отрицательное двоичное число X по значению знакового разряда (Z=1) переводит в обратный код .Положительное число (Z=0) он передает на выход без изменения . Эту логическую функцию в каждом разряде выполняет логическое устройство “Исключающее ИЛИ” . В цифровых системах всегда возникает необходимость в преобразовании информации из одного кода в другой. Эту логическую функцию выполняют преобразователи кодов. К преобразователям кодов относятся и шифраторы, и дешифраторы. На рис. 9.12 приведены УГО преобразователя кодов, шифратора и дешифратора соответственно.

DD1 DD2 DD3

Рис. 9.12. УГО преобразователя кодов, шифратора и дешифратора

 

9.8.8. Шифраторы и дешифраторы.

 

Шифратором (кодером) называется КЛУ, которое преобразует M -разрядный код в N -разрядный двоичный код, причем . Шифратор каждой из 2 M комбинации входных переменных однозначно ставит в соответствие набор из 2 N выходных переменных. Поскольку , то для передачи цифровой информации на выходе шифратора требуется меньше линий связи, т.е. шифратор производит “сжатие” информации.

Рассмотрим принцип работы шифраторов на примере шифратора из 10 в 4, который преобразует одноразрядные десятичные числа от 0 до 9 в прямой двоично-десятичный код. Это КЛУ имеет 10 входов и 4 выхода. При подаче 1 на один из 10 входов на выходе формируется 4-х разрядный прямой двоичный код, соответствующий номеру входа, на который был подан уровень 1.

Характер функционирования устройства задает таблица истинности (табл. 9.3). Используя таблицу истинности можно записать следующие алгебраический выражения:

На рис. 9.13 приведена соответствующая логическая схема шифратора из 10 в 4.

Таблица 9.3

Таблица истинности шифратора из 10 в 4

x9 x8 x7 x6 x5 x4 x3 X2 x1 x0 Y3 Y2 Y1 Y0
                             

 

Рис. 9.13. Логическая схема шифратора из 10 в 4

 

Дешифраторы (декодеры) – это КЛУ, которые информацию, представленную в виде двоичного кода преобразуют в исходный М-разрядный код. Дешифраторы выполняют операцию обратную шифраторам.

В цифровых системах дешифраторы часто исполняют роль “детектора”. Они распознают кодовые комбинации и выдают нужную информацию. Дешифраторы входят в состав исполнительных устройств и в зависимости от входного кода команды формируют сигнал управления для других блоков цифровых систем. Так, например в ЗУ по коду адреса дешифратор вырабатывает сигнал на подключение к шине данных ячейки памяти с указанным номером.

Для индикации одноразрядных десятичных чисел на световых табло, в цифровых измерительных приборах, в калькуляторах широко используются семисегментные индикаторы. Для их работы 4-х разрядный двоично-десятичный код с помощью дешифратора из 4 в 7 преобразуется в 7 выходных функций. Рассмотрим принцип работы такого дешифратора. Вид семисегментного индикатора показан на рис. 9.14. Его сегменты пронумеруем, как показано на рис. 9.14, а их состояние будем описывать логическими функциями (Yn, n = 1, 2, 3, 4, 5, 6, 7).

Рис. 9.14. Общий вид семи сегментного индикатора

 

Пусть логическая функция равна нулю (Y =0) в случае, когда сектор светится, и Y =1 – когда сектор не светится. Логику работы дешифратора описывает таблица истинности, которая представлена в таблице 9.4.

Таблица 9.4

Таблица истинности дешифратора из 4 в 7

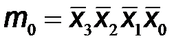
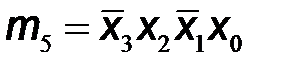
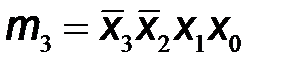
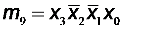
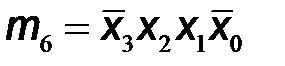
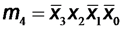
  X3 X2 X1 X0 Y1 Y2 Y3 Y4 Y5 Y6 Y7 mi
                       
                       
                       
                       
                       
                       
                       
                       
                       
                       

 

Используя обозначения логических произведений mi на каждом из наборов входных переменных, которые приведены в последнем столбце таблицы, выходные логические функции запишем в следующем виде

Из таблицы истинности следует, что логическая функция принимает значение логической единицы на шести наборах входных переменных и равна логическому нулю на четырех наборах. Поэтому для уменьшения количества слагаемых сначала записали выражение для ее инверсии: , а затем, используя двойное отрицание, логическую функцию представили как . Вариант логической схемы дешифратора из 4 в 7, который соответствует приведенным формулам без упрощения алгебраического выражения (оптимизации) показан на рис. 9.15.

 

 

Рис. 9.15. Логическая схема дешифратора из 4 в 7

9.8.9. Мультиплексоры и демультиплексоры.

 

Мультиплексоры – это КЛУ, выполняющие управляемую передачу данных из нескольких источников (каналов) в один выходной канал. Мультиплексоры имеют две группы входов: информационные (D0, D1,…, DN) и адресные (A0, A1, …, AM). Количество информационных входов связаны с разрядностью адресных входов соотношением N=2M.

Принцип работы мультиплексора состоит в следующем: К выходному каналу подключается информационный входной канал, номер которого совпадает с кодом адреса.

Для примера, синтезируем мультиплексор с двухразрядным адресом. Данному словесному описанию работы мультиплексора соответствует таблица истинности (рис. 9.16а). По таблице истинности записываем алгебраическое выражение в виде суммы логических произведений, состоящих из адресных кодов, умноженных на значение выходной функции:

 

.

 

Здесь под значением выходной функции подразумеваются входные данные, поступающие по входному каналу, номер которого совпадает с кодом адреса. Полученным алгебраическим выражениям соответствует логическая схема, показанная на рис. 9.16б. УГО мультиплексора представлено на рис. 9.16в.

 

   
№ набора A1 A0 Y
      D0 D1 D2 D3

 

 
а) б) в)

Рис. 9.16. Таблица истинности, схема и УГО мультиплексора

с двухразрядным адресным входом

 

Демультиплексор – это КЛУ, которое выполняет управляемую передачу данных от одного источника информации в один из нескольких выходных каналов. Демультиплексор имеет один информационный вход, M -разрядный адресный вход и N выходных каналов. Количество информационных выходных каналов определяется разрядностью адресных входов соотношением N=2M. Принцип работы демультиплексора состоит в следующем. По коду адреса информационный входной канал подключается к выходному каналу, номер которого совпадает с кодом адреса, т.е. демультиплексор имеет N выходных функций. Данному словесному описанию работы демультиплексора в случае двухразрядного адресного входа соответствует таблица истинности (рис. 9.17а). Как видно из таблицы истинности логика работы демультиплексора описывается алгебраическими выражениями в виде логических произведений, состоящих из адресных кодов, умноженных на значение входной функции:

 

.

Полученным алгебраическим выражениям соответствует логическая схема, показанная на рис. 9.17б. УГО демультиплексора представлено на рис. 9.17в.

 

   
№ набора A1 A0 Y0 Y1 Y2 Y3
      D - - -
      - D - -
      - - D -
      - - - D

 

   
а) б) в)

Рис. 9.17. Таблица истинности, схема и УГО демультиплексора

с двухразрядным адресным входом





Поделиться с друзьями:


Дата добавления: 2014-11-16; Просмотров: 727; Нарушение авторских прав?; Мы поможем в написании вашей работы!


Нам важно ваше мнение! Был ли полезен опубликованный материал? Да | Нет



studopedia.su - Студопедия (2013 - 2025) год. Все материалы представленные на сайте исключительно с целью ознакомления читателями и не преследуют коммерческих целей или нарушение авторских прав! Последнее добавление




Генерация страницы за: 0.009 сек.