Студопедия

КАТЕГОРИИ:


Архитектура-(3434)Астрономия-(809)Биология-(7483)Биотехнологии-(1457)Военное дело-(14632)Высокие технологии-(1363)География-(913)Геология-(1438)Государство-(451)Демография-(1065)Дом-(47672)Журналистика и СМИ-(912)Изобретательство-(14524)Иностранные языки-(4268)Информатика-(17799)Искусство-(1338)История-(13644)Компьютеры-(11121)Косметика-(55)Кулинария-(373)Культура-(8427)Лингвистика-(374)Литература-(1642)Маркетинг-(23702)Математика-(16968)Машиностроение-(1700)Медицина-(12668)Менеджмент-(24684)Механика-(15423)Науковедение-(506)Образование-(11852)Охрана труда-(3308)Педагогика-(5571)Полиграфия-(1312)Политика-(7869)Право-(5454)Приборостроение-(1369)Программирование-(2801)Производство-(97182)Промышленность-(8706)Психология-(18388)Религия-(3217)Связь-(10668)Сельское хозяйство-(299)Социология-(6455)Спорт-(42831)Строительство-(4793)Торговля-(5050)Транспорт-(2929)Туризм-(1568)Физика-(3942)Философия-(17015)Финансы-(26596)Химия-(22929)Экология-(12095)Экономика-(9961)Электроника-(8441)Электротехника-(4623)Энергетика-(12629)Юриспруденция-(1492)Ядерная техника-(1748)

От дальности передвижений




Зависимость коэффициента пользования транспортом

В городах различных категорий

Группа города Численность населения, тыс. чел. КПТ
I 1000-2000 0,52 - 0,55
II 500-1000 0,46 - 0,50
III 250-500 0,40 - 0,45
IV 100-250 0,33 - 0,36

 

Зависимость коэффициента пользования транспорта от дальности и категории передвижений приведена в таблице 18, а график данной зависимости на рисунке 16.

 

Таблица 18

Категория передвижения Коэффициента пользования транспортом при дальности передвижений, км
менее 1,0 1,1-1,5 1,6-2,0 2,1-2,5 2,6-3,0 более 3,0
трудовые 0,30 0,65 0,90 1,0 1,0 1,0
культурно-бытовые 0,15 0,40 0,65 0,80 0,90 1,0

 

Дальность передвижения, км
Коэффициент пользования транспортом

 


Рис. 16. Зависимость коэффициент пользования транспортом от дальности передвижения

 

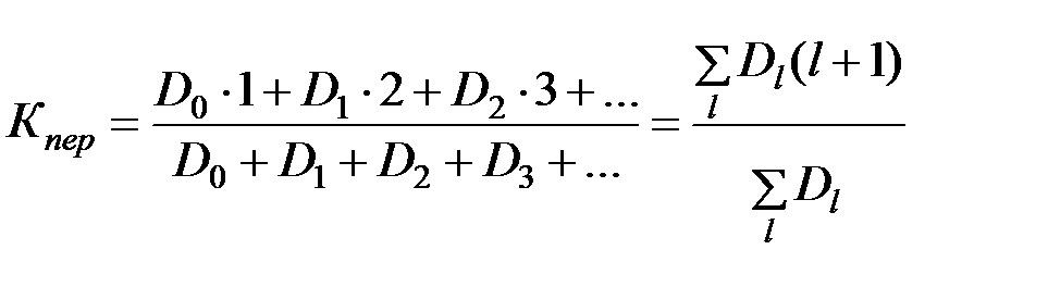
Важнейшей характеристикой передвижений является коэффициент пересадочности, которыйхарактеризует количество поездок (посадок) на одно передвижение.

 

. (66)

 

где Q – количество поездок при совершении D передвижений.

Дробная часть коэффициента пересадочности показывает количество пересадок приходящихся на одно передвижение. Например, если коэффициент пересадочности в городе в среднем составляет 1,4 (), то это означает что в среднем городе при совершении одного передвижения делается 1,4 поездок (посадок) или 0,4 пересадок.

Формулу для коэффициента пересадочности также можно записать следующим образом:

 

, (67)

 

где l – количество пересадок, ( – максимальное количество пересадок); – количество передвижений с l пересадками.

Интересной представляется оценка коэффициента пересадочности через оценку средних дальностей передвижений и маршрутных поездок.

 

, (68)

 

где – средняя дальность передвижений в городе; – средняя дальность маршрутных поездок.

Маршрутный коэффициент оценивает степень разветвленности транспортной сети и определяется суммарной протяженностью всех маршрутов к общей протяженности транспортной сети:

 

, (69)

 

где – суммарная протяженность маршрутной сети, км; – суммарная протяженность транспортной сети, км.

Значения показателей маршрутного коэффициента и коэффициента пересадочности для обеспечения соответствующего уровня качества перевозок приведена в таблице 19.

 

Таблица 19




Поделиться с друзьями:


Дата добавления: 2014-12-08; Просмотров: 711; Нарушение авторских прав?; Мы поможем в написании вашей работы!


Нам важно ваше мнение! Был ли полезен опубликованный материал? Да | Нет



studopedia.su - Студопедия (2013 - 2026) год. Все материалы представленные на сайте исключительно с целью ознакомления читателями и не преследуют коммерческих целей или нарушение авторских прав! Последнее добавление




Генерация страницы за: 0.011 сек.