Студопедия

КАТЕГОРИИ:


Архитектура-(3434)Астрономия-(809)Биология-(7483)Биотехнологии-(1457)Военное дело-(14632)Высокие технологии-(1363)География-(913)Геология-(1438)Государство-(451)Демография-(1065)Дом-(47672)Журналистика и СМИ-(912)Изобретательство-(14524)Иностранные языки-(4268)Информатика-(17799)Искусство-(1338)История-(13644)Компьютеры-(11121)Косметика-(55)Кулинария-(373)Культура-(8427)Лингвистика-(374)Литература-(1642)Маркетинг-(23702)Математика-(16968)Машиностроение-(1700)Медицина-(12668)Менеджмент-(24684)Механика-(15423)Науковедение-(506)Образование-(11852)Охрана труда-(3308)Педагогика-(5571)Полиграфия-(1312)Политика-(7869)Право-(5454)Приборостроение-(1369)Программирование-(2801)Производство-(97182)Промышленность-(8706)Психология-(18388)Религия-(3217)Связь-(10668)Сельское хозяйство-(299)Социология-(6455)Спорт-(42831)Строительство-(4793)Торговля-(5050)Транспорт-(2929)Туризм-(1568)Физика-(3942)Философия-(17015)Финансы-(26596)Химия-(22929)Экология-(12095)Экономика-(9961)Электроника-(8441)Электротехника-(4623)Энергетика-(12629)Юриспруденция-(1492)Ядерная техника-(1748)

Климатические районы




Значения?????????????

Наименование показателя Климатические районы
I, IV II, III
многоэтажная застройка одноэтажная застройка
Дальность подхода к остановочным пунктам, м      
Расстояние между остановочными пунктами, м      

 

На территории Российской Федерации расположены I, II и III климатические районы, IV климатический район находится в Закавказье, Крыму и Средней Азии (табл.). Климатические районы располагаются с севера на юг примерно: I - до 70° северной широты, II - до 60°, III - до 45°, IV- ниже 45°.

Таблица 28

Климатический район Среднемесячная температура воздуха в январе, °С Среднемесячная температура воздухав июле, °С
I -14 –ниже -28 от 0 до +21
II от -3 до -20 от +8 до +21
III от -5 до -20 от +21 до +27
IV от -12 до +6 от +21 выше +31

 

Показатели скорости характеризуют свойства пассажирских перевозок, обусловливающие продолжительность пребывания пасса­жира в поездке или полете. К показателям скорости в соответствии с ГОСТ Р 51004-96 относят:

- продолжительность поездки или полета, рейса;

- среднюю скорость движения транспортного средства;

- частоту остановок транспортного средства.

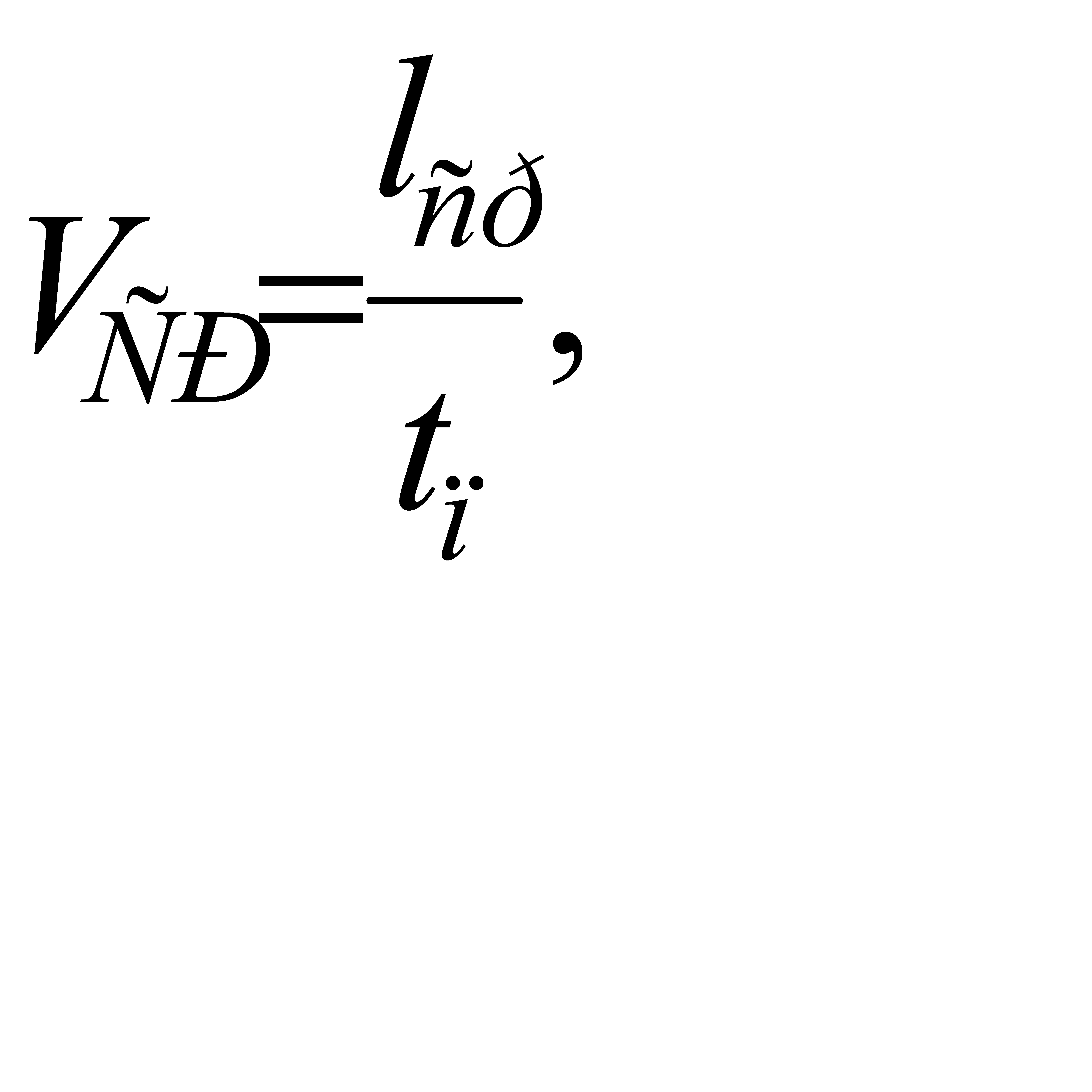
Средняя скорость перемещения пассажиров определяется по формуле:

 

(74)

 

где lср – средняя дальность поездки, км; tп – среднее время передвижения пассажиров, ч.

Скоростью сообщения является средняя скорость движения пассажиров. Она определяется отношением расстояния перевозок пассажиров ко времени накопления их в пути с момента окончания посадки до момента начала высадки.

 

; (75)

 

Общие затраты времени передвижения пассажира определяются по формуле:

 

(76)

 

где tподх – затраты времени на пешие подходы к ОП, посадку и отходы от ОП назначения до цели поездки, ч; tож – затраты времени на ожидание посадки в автобус, ч; tе – затраты времени на поездку в автобусе, ч; Кпер – коэффициент пересадочности.

Зависимость затрат времени на передвижение от численности города приведены на рис.

0 200 400 600 800 1000 1200
 
 
 
 
Численность населения, тыс. чел.
t, мин

 

 


Рис.. Зависимость затрат времени на передвижение

от численности населения города

 

Затраты времени на пешее передвижение к ОП для посадки в автобус в среднем равны времени пешего передвижения от ОП прибытия до цели поездки.

 

(77)

 

где δ – средняя плотность маршрутной сети, км/км2; Vп – скорость пешего передвижения, км/ч; lп – средняя длина перегона на маршруте, км.

Затраты времени на пешие передвижения пассажиров могут быть снижены обеспечением нормативной плотности маршрутной сети с учетом планировки и застройки городской территории, рациональное размещение ОП на маршрутах.

Затраты времени на ожидание посадки определяются по формуле:

 

(78)

 

где Ротк – вероятность отказа пассажиру в посадке в автобус из-за ограниченной вместимости последнего; J – плановый интервал движения автобусов, мин.; δ – среднеквадратическое отклонение от планового интервала движения, мин.

Отказы в посадке возникают, когда свободное число мест в автобусе меньше числа желающих сесть в автобус пассажиров.

Под вероятностью отказа пассажиру в посадке понимают относительное число пассажиров, не севших в автобус «физически», плюс сверхнормативное число пассажиров, которые хотя и сели в автобус, были приведены в недопустимые условия.

Затраты времени на проезд в подвижном составе определяют по формуле:

 

(79)

 

где - средняя маршрутная дальность поездки, км.

Нормативы затрат времени на передвижение представлены в таблице 29.

Таблица 29




Поделиться с друзьями:


Дата добавления: 2014-12-08; Просмотров: 644; Нарушение авторских прав?; Мы поможем в написании вашей работы!


Нам важно ваше мнение! Был ли полезен опубликованный материал? Да | Нет



studopedia.su - Студопедия (2013 - 2026) год. Все материалы представленные на сайте исключительно с целью ознакомления читателями и не преследуют коммерческих целей или нарушение авторских прав! Последнее добавление




Генерация страницы за: 0.012 сек.