Студопедия

КАТЕГОРИИ:


Архитектура-(3434)Астрономия-(809)Биология-(7483)Биотехнологии-(1457)Военное дело-(14632)Высокие технологии-(1363)География-(913)Геология-(1438)Государство-(451)Демография-(1065)Дом-(47672)Журналистика и СМИ-(912)Изобретательство-(14524)Иностранные языки-(4268)Информатика-(17799)Искусство-(1338)История-(13644)Компьютеры-(11121)Косметика-(55)Кулинария-(373)Культура-(8427)Лингвистика-(374)Литература-(1642)Маркетинг-(23702)Математика-(16968)Машиностроение-(1700)Медицина-(12668)Менеджмент-(24684)Механика-(15423)Науковедение-(506)Образование-(11852)Охрана труда-(3308)Педагогика-(5571)Полиграфия-(1312)Политика-(7869)Право-(5454)Приборостроение-(1369)Программирование-(2801)Производство-(97182)Промышленность-(8706)Психология-(18388)Религия-(3217)Связь-(10668)Сельское хозяйство-(299)Социология-(6455)Спорт-(42831)Строительство-(4793)Торговля-(5050)Транспорт-(2929)Туризм-(1568)Физика-(3942)Философия-(17015)Финансы-(26596)Химия-(22929)Экология-(12095)Экономика-(9961)Электроника-(8441)Электротехника-(4623)Энергетика-(12629)Юриспруденция-(1492)Ядерная техника-(1748)

Пример решения задачи №1




Для реактивного двухполюсника построить схему обратного двухполюсника и рассчитать его элементы. Схема реактивного двухполюсника приведена на рисунке 2.

Рис.2. Исходный реактивный двухполюсник.

Значения элементов двухполюсника:

 

 

Коэффициент перехода

Рассмотрим двухэлементные LC двухполюсники:

 

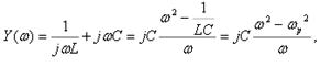
Рис.3. Последовательное соединение LC.

 

 

(1):


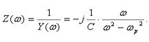
Сопротивление двухполюсника:

 

где,


- резонансная частота (резонанс напряжений)

Проводимость двухполюсника:

 

(2)
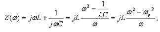
Параллельное соединение (рис.4):

 

Рис.4. Параллельное соединение LC.

 

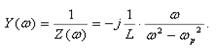
Проводимость двухполюсника:

 

где,

 

 

Сопротивление двухполюсника:

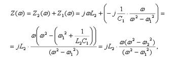
Найдем сопротивление исходного двухполюсника (рис.1):

 

где,

 

Сопротивление исходного двухполюсника:

 

(3)
где,

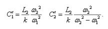
Рассчитаем значения элементов обратного двухполюсника.

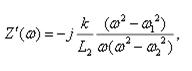
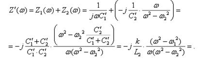
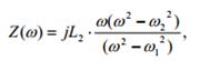
Для исходного двухполюсника с сопротивлением заданным формулой(3), сопротивление обратного двухполюсника будет:

(4):


где,

- постоянный множитель, зависящий от значений элементов схемы.

 

Существует четыре схемы реализации двухполюсника, заданного формулой (4), см. табл. 1. Выберем схему реализации (рис.5) разложением сопротивления Z'(ω) на простые дроби:

Рис.5. Схема реализации обратного двухполюсника.

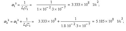
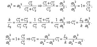
Найдем значения элементов обратного двухполюсника.

находим:

получим:

 

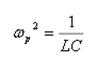
По формуле для резонансной частоты находим:

Вычисляем значения элементов обратного двухполюсника:

 

 

Сопротивление обратного двухполюсника:

 

где,

 

 

Параметры схемы (рис.4) обратного двухполюсника:

 

 

 

Задача №2

По заданному характеристическому уравнению определить устойчивость системы автоматического управления (САУ) по двум критериям: Гурвица и Михайлова. Характеристические уравнения САУ по вариантам представлены в таблице №4.

 

Таблица №4.

Вариант Характеристическое уравнение САУ
 
 
 
 
 
 
 
 
 
 
 
 
 
 
 
 
 
 
 
 
 
 
 
 
 

 

 




Поделиться с друзьями:


Дата добавления: 2014-12-10; Просмотров: 1178; Нарушение авторских прав?; Мы поможем в написании вашей работы!


Нам важно ваше мнение! Был ли полезен опубликованный материал? Да | Нет



studopedia.su - Студопедия (2013 - 2026) год. Все материалы представленные на сайте исключительно с целью ознакомления читателями и не преследуют коммерческих целей или нарушение авторских прав! Последнее добавление




Генерация страницы за: 0.008 сек.