Студопедия

КАТЕГОРИИ:


Архитектура-(3434)Астрономия-(809)Биология-(7483)Биотехнологии-(1457)Военное дело-(14632)Высокие технологии-(1363)География-(913)Геология-(1438)Государство-(451)Демография-(1065)Дом-(47672)Журналистика и СМИ-(912)Изобретательство-(14524)Иностранные языки-(4268)Информатика-(17799)Искусство-(1338)История-(13644)Компьютеры-(11121)Косметика-(55)Кулинария-(373)Культура-(8427)Лингвистика-(374)Литература-(1642)Маркетинг-(23702)Математика-(16968)Машиностроение-(1700)Медицина-(12668)Менеджмент-(24684)Механика-(15423)Науковедение-(506)Образование-(11852)Охрана труда-(3308)Педагогика-(5571)Полиграфия-(1312)Политика-(7869)Право-(5454)Приборостроение-(1369)Программирование-(2801)Производство-(97182)Промышленность-(8706)Психология-(18388)Религия-(3217)Связь-(10668)Сельское хозяйство-(299)Социология-(6455)Спорт-(42831)Строительство-(4793)Торговля-(5050)Транспорт-(2929)Туризм-(1568)Физика-(3942)Философия-(17015)Финансы-(26596)Химия-(22929)Экология-(12095)Экономика-(9961)Электроника-(8441)Электротехника-(4623)Энергетика-(12629)Юриспруденция-(1492)Ядерная техника-(1748)

Додавання швидкостей




Рисунок 15.2
Нехай система відліку O 1 x 1 y 1 z 1 –- нерухома, а система відліку Oxyz –- рухома. Рух точки відносно основної нерухомої системи відліку O 1 x 1 y 1 z 1 називається абсолютним. Рух точки відносно рухомої системи відліку Oxyz називається відносним. Переносним рухом точки називається рух, який вона здійснює разом із рухомою системою відліку, як точка, жорстко скріплена з цією системою в момент часу, що розглядається. Відносні швидкість і прискорення означають іи , переносні –- іи , а абсолютні –- і .

Рух рухомої системи відліку відносно нерухомої можна охарактеризувати швидкістю її поступального руху , наприклад, разом із точкою О, та вектором кутової швидкості її оберту обертання навколо О.

Теорема. Швидкість абсолютного руху точки дорівнює векторній сумі переносної і відносної швидкостей .

Доведення. Розглянемо рух точки . Розташування точки відносно нерухомої системи відліку визначається вектором , а відносно рухомої – вектором . Розташування точки відносно нерухомої системи відліку визначається вектором . Для любого будь – якого моменту часу виконується тотожність.

.

Продиференціюємо його за часом (обчислимо похідні в нерухомій системі відліку) і отримаємо

. (15.5)

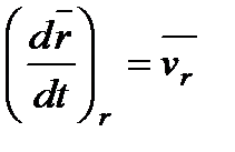
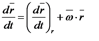
За визначенням, –- абсолютна швидкість точки , –- абсолютна швидкість точки . Для обчислення застосуємо формулу Бура. Маємо . Відносна похідна - є відносною швидкістю точки по відношеннюсно до нерухомої системи відліку, а –- кутова швидкість оберту обертання рухомої системи відліку.

Таким чином, з (15.5) отримуємо

. (15.6)

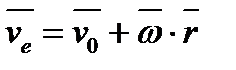
Швидкість

є швидкістю точки вільного твердого тіла, скріпленого з рухомою системою координат, з якою в даний момент співпадає збігається точка в русі тіла відносно нерухомої системи відліку. Це є переносна швидкість точки .

Кінцево отримуємо

, (15.7)

що і й потрібно було довести.




Поделиться с друзьями:


Дата добавления: 2014-12-16; Просмотров: 700; Нарушение авторских прав?; Мы поможем в написании вашей работы!


Нам важно ваше мнение! Был ли полезен опубликованный материал? Да | Нет



studopedia.su - Студопедия (2013 - 2026) год. Все материалы представленные на сайте исключительно с целью ознакомления читателями и не преследуют коммерческих целей или нарушение авторских прав! Последнее добавление




Генерация страницы за: 0.01 сек.