Студопедия

КАТЕГОРИИ:


Архитектура-(3434)Астрономия-(809)Биология-(7483)Биотехнологии-(1457)Военное дело-(14632)Высокие технологии-(1363)География-(913)Геология-(1438)Государство-(451)Демография-(1065)Дом-(47672)Журналистика и СМИ-(912)Изобретательство-(14524)Иностранные языки-(4268)Информатика-(17799)Искусство-(1338)История-(13644)Компьютеры-(11121)Косметика-(55)Кулинария-(373)Культура-(8427)Лингвистика-(374)Литература-(1642)Маркетинг-(23702)Математика-(16968)Машиностроение-(1700)Медицина-(12668)Менеджмент-(24684)Механика-(15423)Науковедение-(506)Образование-(11852)Охрана труда-(3308)Педагогика-(5571)Полиграфия-(1312)Политика-(7869)Право-(5454)Приборостроение-(1369)Программирование-(2801)Производство-(97182)Промышленность-(8706)Психология-(18388)Религия-(3217)Связь-(10668)Сельское хозяйство-(299)Социология-(6455)Спорт-(42831)Строительство-(4793)Торговля-(5050)Транспорт-(2929)Туризм-(1568)Физика-(3942)Философия-(17015)Финансы-(26596)Химия-(22929)Экология-(12095)Экономика-(9961)Электроника-(8441)Электротехника-(4623)Энергетика-(12629)Юриспруденция-(1492)Ядерная техника-(1748)

Список скорочень 3 страница




Таблиця 1.1

Показник Автоцентри Станції технічного обслуговування з кількістю робочих постів
ВАЗ АЗЛК              
Кількість:                  
комплексних об-                  
слуговувань авто-мобілів за рік, шт.                  
автомобілів, що можна продати, шт.          
Площа дільниці, га 3,47 2,50 0,83 1,10 1,46 2,62 3,41 7,51  
Корисна площа головної будівлі, м2               21 150  

На СТО з кількістю робочих постів понад 50 допускається виконання КР агрегатів. У проектах СТО з 15—25 постами заплановані дільниці самообслуговування, де власник може усунути незначні несправності. На всіх СТО здійснюється продаж запасних частин, а на СТО з кількістю робочих постів понад 25 виконується комплекс робіт передпродажної підготовки і продаж автомобілів.

За індивідуальними проектами будують СТО на 100—250 робочих постів (рис. 1.2). Такі станції використовують як головні центри розгалуженої мережі підприємств для обслуговування автомобілів. У зв'язку з цим на станціях поряд із ТО і ремонтом автомобілів передбачається організація і розробка нових, досконаліших методів і форм автосервісу, а також підготовка спеціалістів у галузі автотехобслуговування. На території СТО передбачений паливозаправний комплекс. Будівництво таких СТО дало змогу вибрати найбільш оптимальні архітектурно-планувальні рішення щодо місцевих умов кожного промислового центру з метою впровадження прогресивних методів ТО і ремонту автомобілів.

Для обслуговування автомобілів створені також пересувні станції технічного обслуговування (ПСТО) двопостові, що розташовані в автопоїзді і мають велику мобільність. На ПСТО виконується нескладний гарантійний ремонт і обслуговування, а коли потреби в цих операціях немає — дрібний післягарантійний ремонт. ПСТО використовують у дорожніх умовах і в місцях масового відпочинку населення.

У зв'язку з тим, що в останні роки в Україну завезено дуже багато іноземних легкових автомобілів і виникла потреба в їх обслуговуванні, по всій території країни організована ціла мережа СТО офіційних компаній-імпортерів за марками автомобілів: ACURA, AUDI, AVIA, BMW, BUICK, CADILLAC, CITROEN, CHEVROLET, CHRYSLER, DAEWOO, DAF, FIAT, FORD, GEO, HONDA, HYUNDAI, IVECO, KIA, LAND ROVER, LINCOLN, MAZDA, MERCEDES, MAN, MITSUBISHI, NISSAN, OLDSMOBILE, OPEL, PEUGEOT, PONTIAC, RENAULT, ROVER, SCANIA, SEAT, SKODA, SUZUKI, TOYOTA, VOLVO, VW та ін.

Стоянки призначені для зберігання автомобілів (переважно індивідуальних власників), іноді здійснюють функції ТО автомобілів і постачання експлуатаційних матеріалів. Стоянки бувають домові, квартальні й районні, їх влаштовують у вигляді спеціальних будівель або відкритих площадок. Стоянки останнього типу будують також для тимчасового зберігання автомобілів у місцях великого скупчення їх і для розвантаження вулиць і площ міста (наприклад, біля стадіонів, вокзалів). До стоянок відносять також стаціонарні типи автоготелів (мотелі), що функціонують поблизу великих міст; літнього типу автотабори (кемпінги), дислоко­вані в місцях масового відпочинку населення на жвавих автотрасах.

Мотелі — готелі для автотуристів. У готелях такого типу автомобіль зберігаються безпосередньо поблизу власника. Тут береться до уваги і психологія автолюбителя, і зручності для нього (адже автомобіль часто є не тільки транспортним засобом, а й складом потрібних предметів, іноді навіть джерелом енергії).

Найпоширенішими є мотелі, розташовані в одноповерховій будівлі, всі номери якої мають зовнішні двері, а за ними під навісом або в боксах стоять автомобілі. Тому для мотелів характерне планування, що утворює великий периметр. Місткість мотелів — 12—18 автомобілів. Останнім часом намітилась тенденція будівництва мотелів більш ніж на 100 місць. Мотелі будують там, де можна добре відпочити (у мальовничих місцях, біля водоймищ тощо), подалі від великих міст, магістралей, промислових підприємств (рис. 1.3).

 


Рис. 1.2. Центр ТО автомобілів на 250 робочих постів:

1 — приміщення приймальні і продажу комісійних автомобілів; 2 — стоянка-склад нових автомобілів для продажу; 3 — торговельний зал; 4 — лінія миття; 5 — пости мащення; 6 — пости діагностування; 7 — лінії технічного обслуговування; 8 — пости ремонту; 9 — приміщення виробничих дільниць; 10 — склад запасних частин, агрегатів і матеріалів; 11 — технічні приміщення; 12 — пости і лінії фарбування автомобілів; 13 — пости кузовних робіт; 14 — пости миття автомобілів перед обслуговуванням; 15 — пости приймання автомобілів; 16 — зона видачі готових автомобілів; 17 — зона зберігання відремонтованих автомобілів; 18 — пости передпродажної підготовки автомобілів

 

 


Кемпінги і табори автомобілістів мають таке саме призначення, як і мотелі, але послуг тут надається значно більше. Місткість кемпінгів — 100—200 машино-місць.

 
 

Точніше визначити потрібну місткість стоянок автомобілів різних типів можна натурними спостереженнями за автомобілями, що прибувають на стоянку. Дослідження показують, що цей потік можна вважати пауссонівським, за якого ймовірність прибуття кількості автомобілів k на стоянку за проміжок часу t визначається формулою

де А,>0 — щільність потоку(кількість автомобілів, що прибувають, за проміжок часу t).

Автостоянка — система, що задовольняє попит на паркування транспортних засобів, можливості якої для задоволення цього попиту обмежені. Стоянку і процес паркування можна розглядати як систему масового обслуговування, де одне місце для паркування є каналом обслуговування, а автомобілі, що надходять на стоянку — вхідним потоком вимог. Кількість місць для стоянки в такій системі називають кількістю обслуговуючих каналів. Теорія масового обслуговування дає змогу кількісно оцінити можливість кожної вимоги надійти на обслуговування, тобто повнодоступність.

Рис. 1.3, Генеральний план автоготелю (мотелю) на 200 місць:

1 — будівля готелю; 2 — зона відпочинку; 3 — гараж; 4 — станція ТО автомобілів; 5 — котельня; 6 — площадка для зберігання автомобілів; 7 — заправна станція; 8 — стоянка автомобілів

Стоянка автомобілів — система масового обслуговування із втратами. Особливістю функціонування такої системи є те, що будь-яка вимога, що надійшла до системи в якийсь момент часу, відразу обслуговується або втрачається, якщо в момент її надходження всі обслуговуючі канали зайняті, тобто автомобіль, що прибув на стоянку, за відсутності вільного місця шукає стоянку в іншому місці, а ця стоянка зазнає втрат.

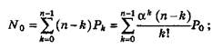
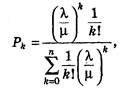
Оцінити функціонування такої системи дає змогу формула Ерланга, за якою ймовірність того, що обслуговуванням зайняті k каналів, дорівнює:

де λ, — щільність потоку заявок (інтенсивність прибуття автомобілів); μ, = 1/tобсл — параметр обслуговування; tобсл — середній термін обслуговування вимоги в системі (тривалість паркування); k — кількість каналів (кількість місць для стоянки).

При розрахунках дуже часто використовують параметр α = λ/μ. Формула Ерланга дає змогу визначити й окремі випадки:

— імовірність того, що всі обслуговуючі канали вільні:

— імовірність того, що всі обслуговуючі канали зайняті:

За формулою (3.1) визначають також імовірність відмовлення в обслуговуванні вимоги, що надійшла до системи.

На практиці часто визначають:

— середню кількість зайнятих обслуговуванням каналів:

— середню кількість каналів, вільних від обслуговування:

— коефіцієнт простою апаратів:

Приклад. Треба оцінити якість функціонування стоянки для 100 автомобілів (легкових), якщо відомо, що інтенсивність прибуття автомобілів 20 автомобілів за годину (λ = 20), а середня тривалість паркування — 12хв(t = 0,2 год).

Розв'язання. Використаємо рівняння Ерланга. Імовірність, що стоянка буде порожньою, становить:

Імовірність, що всі місця, будуть зайняті, дорівнює:

 
 

Середня кількість автомобілів на стоянці становить:

Стоянка функціонуватиме нормально.

Територію кемпінгу поділяють на такі зони: обслуговування людей; автомобілів; житлових причепів; наметів; автомобілів, у яких сплять туристи; туристичних автобусів та ін. З розвитком автомобілізації критерієм вибору місця і форми обслуговування дедалі більшою стає можливість зручно і дешево поставити автомобіль. Це одна з причин віддаляння від центру міста житлових районів, торговельних центрів. Дуже важлива умова життєздатності такого центру — достатня кількість зручних стоянок. У таких місцях доцільно обладнувати кінотеатри просто неба, паркові дороги, біля яких розташовувати придорожні кав'ярні та ін. Обладнані місця стоянки індивідуальних автомобілів, таким чином, можуть бути використані і людьми, які їдуть на громадському транспорті.

Автозаправні станції — спеціалізовані підприємства для заправки автомобілів паливно-мастильними матеріалами, повітрям, охолодною рідиною та ін. їх спеціалізують за родом автомобільного палива. На АЗС можуть продаватись автоексплуатаційні матеріали. Потужність АЗС визначається її пропускною здатністю, тобто кількістю автомобілезаправок за годину або добу, і залежить від типу та кількості паливороздавальних колонок (рис. 3.4). АЗС поділяють на міські (500—2000 заправок на добу) і придорожні (500—1000 заправок на добу). На АЗС на під'їзді до станції та на її території використовують надання ефективної візуальної інформації водієві про наявність палива і мастила, про обсяг послуг, що надаються АЗС. Застосовують дистанційне керування колонками з виносними заправними пістолетами.

Авторемонтні підприємства — це спеціалізовані підприємства, що здійснюють ремонт (відновлення) автомобільної техніки. На авторемонтних підприємствах створено умови для виконання трудомісткого ремонту (в основному КР) автомобільної техніки.

Рис. 1.4. Приклади генеральних планів АЗС:

а — міська АЗС на 200 заправок на добу; б — придорожня АЗС на 750 заправок на добу з послідовним розташуванням заправочних острівців; в і г — придорожні АЗС на 1000 заправок на добу з паралельним розташуванням заправочних острівців: 1 — будівля станції; 2 — підземні резервуари для палива; 3 — заправні острівці; 4 — площадка для заправляння мотоциклів і мопедів; 5 — естакада для заливання масла; 6 — очисні споруди; 7 — площадка для накопичення автомобілів

Контрольні запитання

1. Які види підприємств діють на транспорті?

2. На які типи поділяють підприємства автомобільного транспорту?

3. Як поділяють автообслуговуючі підприємства залежно від їх призначення?

 




Поделиться с друзьями:


Дата добавления: 2014-11-29; Просмотров: 557; Нарушение авторских прав?; Мы поможем в написании вашей работы!


Нам важно ваше мнение! Был ли полезен опубликованный материал? Да | Нет



studopedia.su - Студопедия (2013 - 2026) год. Все материалы представленные на сайте исключительно с целью ознакомления читателями и не преследуют коммерческих целей или нарушение авторских прав! Последнее добавление




Генерация страницы за: 0.014 сек.