Студопедия

КАТЕГОРИИ:


Архитектура-(3434)Астрономия-(809)Биология-(7483)Биотехнологии-(1457)Военное дело-(14632)Высокие технологии-(1363)География-(913)Геология-(1438)Государство-(451)Демография-(1065)Дом-(47672)Журналистика и СМИ-(912)Изобретательство-(14524)Иностранные языки-(4268)Информатика-(17799)Искусство-(1338)История-(13644)Компьютеры-(11121)Косметика-(55)Кулинария-(373)Культура-(8427)Лингвистика-(374)Литература-(1642)Маркетинг-(23702)Математика-(16968)Машиностроение-(1700)Медицина-(12668)Менеджмент-(24684)Механика-(15423)Науковедение-(506)Образование-(11852)Охрана труда-(3308)Педагогика-(5571)Полиграфия-(1312)Политика-(7869)Право-(5454)Приборостроение-(1369)Программирование-(2801)Производство-(97182)Промышленность-(8706)Психология-(18388)Религия-(3217)Связь-(10668)Сельское хозяйство-(299)Социология-(6455)Спорт-(42831)Строительство-(4793)Торговля-(5050)Транспорт-(2929)Туризм-(1568)Физика-(3942)Философия-(17015)Финансы-(26596)Химия-(22929)Экология-(12095)Экономика-(9961)Электроника-(8441)Электротехника-(4623)Энергетика-(12629)Юриспруденция-(1492)Ядерная техника-(1748)

Пределы




 

Задача 2. Вычислить предел числовой последовательности

Решение:

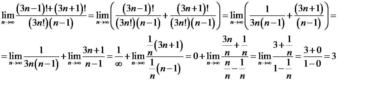
Задача 3. Вычислить предел числовой последовательности

Решение:

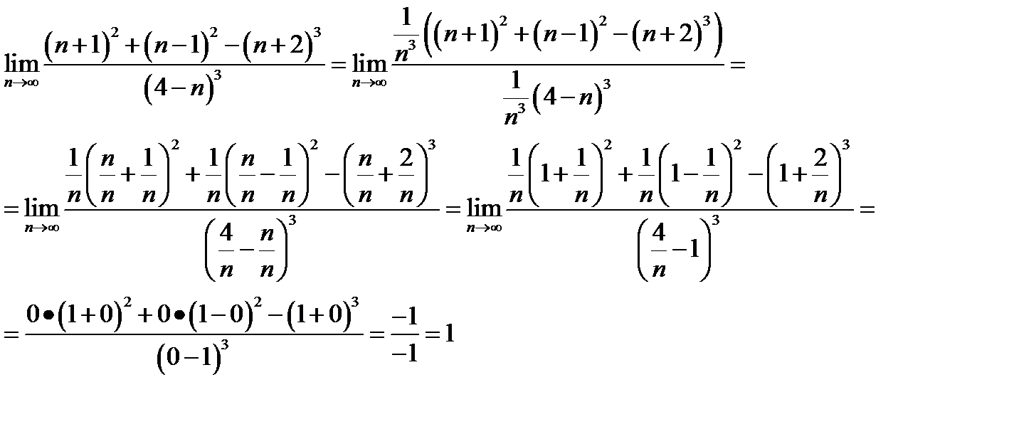
Задача 4. Вычислить предел числовой последовательности

Решение:

Задача 5. Вычислить предел числовой последовательности

Решение:

Задача 6. Вычислить предел числовой последовательности

Решение:

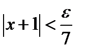
Задача 7. Доказать (найти ), что:

Решение:

Необходимо доказать, что при произвольном найдется такое , для которого будет выполняться неравенство:

, если выполнено .

При

или

Таким образом при произвольном неравенство будет выполнятся, если будет выполнятся неравенство , где .

Следовательно при предел функции существует и равен -6, а .

Задача 8. Доказать, что функция непрерывна в точке (найти ).

Решение:

Покажем, что при любом найдется такое , что при .

Следовательно

Т.е. неравенство выполняется при . Значит, функция непрерывна в точке и .

Задача 9. Вычислить предел функции

Решение:

Задача 10. Вычислить предел функции

Решение:

Задача 11. Вычислить предел функции

Решение:

Воспользуемся эквивалентностью бесконечно малых функций при : , . Отсюда

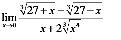
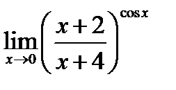
Задача 12. Вычислить предел функции

Решение:

Воспользуемся эквивалентностью бесконечно малых функций при : , . Отсюда

Задача 14. Вычислить предел функции

Решение:

Воспользуемся эквивалентностью бесконечно малых функций при : , . Отсюда

Задача 16. Вычислить предел функции

Решение:

Вычислим предел

Воспользуемся эквивалентностью бесконечно малых функций при : , . Отсюда

тогда

значит

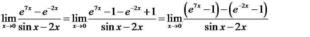
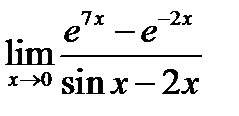
Задача 17. Вычислить предел функции

Решение:

 




Поделиться с друзьями:


Дата добавления: 2014-12-27; Просмотров: 903; Нарушение авторских прав?; Мы поможем в написании вашей работы!


Нам важно ваше мнение! Был ли полезен опубликованный материал? Да | Нет



studopedia.su - Студопедия (2013 - 2026) год. Все материалы представленные на сайте исключительно с целью ознакомления читателями и не преследуют коммерческих целей или нарушение авторских прав! Последнее добавление




Генерация страницы за: 0.009 сек.