Студопедия

КАТЕГОРИИ:


Архитектура-(3434)Астрономия-(809)Биология-(7483)Биотехнологии-(1457)Военное дело-(14632)Высокие технологии-(1363)География-(913)Геология-(1438)Государство-(451)Демография-(1065)Дом-(47672)Журналистика и СМИ-(912)Изобретательство-(14524)Иностранные языки-(4268)Информатика-(17799)Искусство-(1338)История-(13644)Компьютеры-(11121)Косметика-(55)Кулинария-(373)Культура-(8427)Лингвистика-(374)Литература-(1642)Маркетинг-(23702)Математика-(16968)Машиностроение-(1700)Медицина-(12668)Менеджмент-(24684)Механика-(15423)Науковедение-(506)Образование-(11852)Охрана труда-(3308)Педагогика-(5571)Полиграфия-(1312)Политика-(7869)Право-(5454)Приборостроение-(1369)Программирование-(2801)Производство-(97182)Промышленность-(8706)Психология-(18388)Религия-(3217)Связь-(10668)Сельское хозяйство-(299)Социология-(6455)Спорт-(42831)Строительство-(4793)Торговля-(5050)Транспорт-(2929)Туризм-(1568)Физика-(3942)Философия-(17015)Финансы-(26596)Химия-(22929)Экология-(12095)Экономика-(9961)Электроника-(8441)Электротехника-(4623)Энергетика-(12629)Юриспруденция-(1492)Ядерная техника-(1748)

Аналитический поиск смешанной стратегии и средней величины платежа (цены игры) в простых случаях




Замечания

При упрощении матрицы сохранились верхняя и нижняя цены игры

Точный результат решения задачи (читатель может восстановить процесс расчета самостоятельно на основе п. 2.5, подробное решение – в примере 6в, где вероятности применения Получателем его стратегий А 1 и А 2 обозначаются x 1 и x 2)

Значения вероятности применения стратегий Плательщика B 2 y2 опт (а затем и применения стратегий Плательщика B 1 y 1опт = 1 – y 2опт ) и цены игры
n = mопт, могут быть получены из системы уравнений

 

Ограничимся рассмотрением платежных матриц размера , не имеющих «седловой» точки. Такие матрицы довольно часто могут быть получены в результате последовательного упрощения разнообразных, более сложных задач, с помощью приемов, описанных выше.

И первый, и второй игроки (Получатель и Плательщик) при применении их смешанных стратегий должны достичь средней величины платежа n (причем a< n < b в серии многократных игр).

Смешанная стратегия Получателя состоит в применении его стратегии А 1 с вероятностью x 1 и стратегии А 2 с вероятностью x 2; смешанная стратегия Плательщика состоит в применении его стратегии В 1 с вероятностью y 1 и стратегии В 2 с вероятностью y 2. Эти вероятности являются искомыми величинами. Между собой они попарно связаны соотношениями x 1 + x 2 =1, y 1 + y 2 =1.

Предположим, что Плательщик достаточно много раз применяет свою стратегию В 1. Тогда для средней величины платежа должно выполняться равенство: n = a 11 x 1 + a 21 x 2, где a 11 и a 21 – элементы первого столбца платежной матрицы.

В качестве альтернативы примем, что Плательщик достаточно много раз применяет свою стратегию В 2. Тогда для средней величины платежа должно выполняться равенство: n = a 12 x 1 + a 22 x 2, где a 12 и a 22 – элементы второго столбца платежной матрицы.

С точки зрения Плательщика рассмотрим две взаимно альтернативные возможности, которые может предоставить ему Получатель: при условии применения Получателем стратегии А 1 средняя величина платежа должна составить n = a 11 y 1 + a 12 y 2, где a 11 и a 12 – элементы первой строки платежной матрицы; наконец, при условии применения Получателем стратегии А 2 средняя величина платежа должна составить n = a 21 y 1 + a 22 y 2 , где a 21 и a 22 – элементы второй строки платежной матрицы.

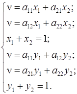
Из полученных равенств составим систему уравнений для нахождения всех искомых величин, вероятностей применения стратегий и цены игры

 

Полученная система уравнений почти всегда является совместной и вырожденной, что позволяет искать решения задачи для Получателя и Плательщика «по отдельности» (цена игры n должна совпасть)

 




Поделиться с друзьями:


Дата добавления: 2014-12-27; Просмотров: 673; Нарушение авторских прав?; Мы поможем в написании вашей работы!


Нам важно ваше мнение! Был ли полезен опубликованный материал? Да | Нет



studopedia.su - Студопедия (2013 - 2025) год. Все материалы представленные на сайте исключительно с целью ознакомления читателями и не преследуют коммерческих целей или нарушение авторских прав! Последнее добавление




Генерация страницы за: 0.011 сек.